乙型肝炎和丙型肝炎病毒感染的流行情况:国家医疗保健政策和地方临床实践的影响。

IF 2 Q3 MEDICINE, RESEARCH & EXPERIMENTAL
Veeravan Lekskulchai
{"title":"乙型肝炎和丙型肝炎病毒感染的流行情况:国家医疗保健政策和地方临床实践的影响。","authors":"Veeravan Lekskulchai","doi":"","DOIUrl":null,"url":null,"abstract":"<p><p>BACKGROUND Because reliable epidemiological data are necessary to eliminate hepatitis B and C virus (HBV and HCV) infections, factors influencing their prevalence should be determined. This study aimed to disclose practical issues that affect the prevalence of these viral infections. MATERIAL AND METHODS All medical records with laboratory findings during 2016 to 2018 were reviewed, and all relevant data were extracted. All HBV and HCV infections were followed within these 3 years and investigated in detail. RESULTS The total number of records was 103 197, with a male to female ratio of 1: 1.4. Hepatitis B surface antigen (HBsAg) was tested in 12 934 cases, with a male to female ratio of 1: 2.6. Anti-HCV antibody (anti-HCV Ab) testing was done in 475 cases (53% male). The seroprevalence of HBV and HCV was 5.2% and 4.4%, respectively. Chronic HBV and HCV infections and their life-threatening complication, liver cancer, were highly detected in men aged 41-60 years. CONCLUSIONS HBsAg was highly screened in women owing to the nationwide implementation of the universal HBsAg screening in pregnant women to prevent vertical transmission. Screening for anti-HCV Ab was neglected, probably due to lack of vaccine and high costs of anti-HCV drugs, which most people in low- to middle-income countries generally cannot afford. Local practices under national health care policies and limited budget and resources can cause underestimation of the prevalence of the HBV and HCV infections and persistent transmission of these viruses owing to unidentified cases.</p>","PeriodicalId":18491,"journal":{"name":"Medical Science Monitor Basic Research","volume":"27 ","pages":"e933692"},"PeriodicalIF":2.0000,"publicationDate":"2021-11-01","publicationTypes":"Journal Article","fieldsOfStudy":null,"isOpenAccess":false,"openAccessPdf":"https://www.ncbi.nlm.nih.gov/pmc/articles/PMC8570046/pdf/","citationCount":"0","resultStr":"{\"title\":\"Prevalence of Hepatitis B and C Virus Infections: Influence of National Health Care Policies and Local Clinical Practices.\",\"authors\":\"Veeravan Lekskulchai\",\"doi\":\"\",\"DOIUrl\":null,\"url\":null,\"abstract\":\"<p><p>BACKGROUND Because reliable epidemiological data are necessary to eliminate hepatitis B and C virus (HBV and HCV) infections, factors influencing their prevalence should be determined. This study aimed to disclose practical issues that affect the prevalence of these viral infections. MATERIAL AND METHODS All medical records with laboratory findings during 2016 to 2018 were reviewed, and all relevant data were extracted. All HBV and HCV infections were followed within these 3 years and investigated in detail. RESULTS The total number of records was 103 197, with a male to female ratio of 1: 1.4. Hepatitis B surface antigen (HBsAg) was tested in 12 934 cases, with a male to female ratio of 1: 2.6. Anti-HCV antibody (anti-HCV Ab) testing was done in 475 cases (53% male). The seroprevalence of HBV and HCV was 5.2% and 4.4%, respectively. Chronic HBV and HCV infections and their life-threatening complication, liver cancer, were highly detected in men aged 41-60 years. CONCLUSIONS HBsAg was highly screened in women owing to the nationwide implementation of the universal HBsAg screening in pregnant women to prevent vertical transmission. Screening for anti-HCV Ab was neglected, probably due to lack of vaccine and high costs of anti-HCV drugs, which most people in low- to middle-income countries generally cannot afford. Local practices under national health care policies and limited budget and resources can cause underestimation of the prevalence of the HBV and HCV infections and persistent transmission of these viruses owing to unidentified cases.</p>\",\"PeriodicalId\":18491,\"journal\":{\"name\":\"Medical Science Monitor Basic Research\",\"volume\":\"27 \",\"pages\":\"e933692\"},\"PeriodicalIF\":2.0000,\"publicationDate\":\"2021-11-01\",\"publicationTypes\":\"Journal Article\",\"fieldsOfStudy\":null,\"isOpenAccess\":false,\"openAccessPdf\":\"https://www.ncbi.nlm.nih.gov/pmc/articles/PMC8570046/pdf/\",\"citationCount\":\"0\",\"resultStr\":null,\"platform\":\"Semanticscholar\",\"paperid\":null,\"PeriodicalName\":\"Medical Science Monitor Basic Research\",\"FirstCategoryId\":\"1085\",\"ListUrlMain\":\"\",\"RegionNum\":0,\"RegionCategory\":null,\"ArticlePicture\":[],\"TitleCN\":null,\"AbstractTextCN\":null,\"PMCID\":null,\"EPubDate\":\"\",\"PubModel\":\"\",\"JCR\":\"Q3\",\"JCRName\":\"MEDICINE, RESEARCH & EXPERIMENTAL\",\"Score\":null,\"Total\":0}","platform":"Semanticscholar","paperid":null,"PeriodicalName":"Medical Science Monitor Basic Research","FirstCategoryId":"1085","ListUrlMain":"","RegionNum":0,"RegionCategory":null,"ArticlePicture":[],"TitleCN":null,"AbstractTextCN":null,"PMCID":null,"EPubDate":"","PubModel":"","JCR":"Q3","JCRName":"MEDICINE, RESEARCH & EXPERIMENTAL","Score":null,"Total":0}
引用次数: 0

摘要

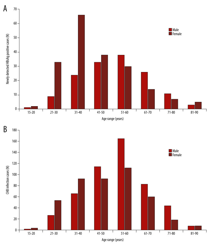
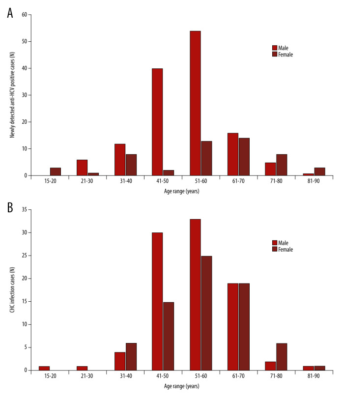
背景由于消除乙型肝炎病毒和丙型肝炎病毒(HBV 和 HCV)感染需要可靠的流行病学数据,因此应确定影响其流行率的因素。本研究旨在揭示影响这些病毒感染流行的实际问题。材料与方法 回顾了 2016 年至 2018 年期间所有有实验室检查结果的病历,并提取了所有相关数据。对这 3 年内所有 HBV 和 HCV 感染病例进行随访和详细调查。结果 病历总数为 103 197 份,男女比例为 1:1.4。乙型肝炎表面抗原(HBsAg)检测结果为 12 934 例,男女比例为 1:2.6。对 475 个病例(53% 为男性)进行了抗-HCV 抗体(anti-HCV Ab)检测。HBV 和 HCV 的血清阳性率分别为 5.2% 和 4.4%。慢性 HBV 和 HCV 感染及其危及生命的并发症--肝癌在 41-60 岁的男性中检出率很高。结论 由于在全国范围内普及了孕妇 HBsAg 筛查,以防止垂直传播,因此妇女的 HBsAg 筛查率很高。而抗-HCV Ab 的筛查却被忽视了,这可能是由于缺乏疫苗和抗-HCV 药物价格昂贵,而中低收入国家的大多数人一般都负担不起。国家医疗保健政策下的地方性做法以及有限的预算和资源可能会导致对 HBV 和 HCV 感染率的低估,并由于未发现病例而造成这些病毒的持续传播。
本文章由计算机程序翻译,如有差异,请以英文原文为准。

Prevalence of Hepatitis B and C Virus Infections: Influence of National Health Care Policies and Local Clinical Practices.

Prevalence of Hepatitis B and C Virus Infections: Influence of National Health Care Policies and Local Clinical Practices.

Prevalence of Hepatitis B and C Virus Infections: Influence of National Health Care Policies and Local Clinical Practices.

Prevalence of Hepatitis B and C Virus Infections: Influence of National Health Care Policies and Local Clinical Practices.

BACKGROUND Because reliable epidemiological data are necessary to eliminate hepatitis B and C virus (HBV and HCV) infections, factors influencing their prevalence should be determined. This study aimed to disclose practical issues that affect the prevalence of these viral infections. MATERIAL AND METHODS All medical records with laboratory findings during 2016 to 2018 were reviewed, and all relevant data were extracted. All HBV and HCV infections were followed within these 3 years and investigated in detail. RESULTS The total number of records was 103 197, with a male to female ratio of 1: 1.4. Hepatitis B surface antigen (HBsAg) was tested in 12 934 cases, with a male to female ratio of 1: 2.6. Anti-HCV antibody (anti-HCV Ab) testing was done in 475 cases (53% male). The seroprevalence of HBV and HCV was 5.2% and 4.4%, respectively. Chronic HBV and HCV infections and their life-threatening complication, liver cancer, were highly detected in men aged 41-60 years. CONCLUSIONS HBsAg was highly screened in women owing to the nationwide implementation of the universal HBsAg screening in pregnant women to prevent vertical transmission. Screening for anti-HCV Ab was neglected, probably due to lack of vaccine and high costs of anti-HCV drugs, which most people in low- to middle-income countries generally cannot afford. Local practices under national health care policies and limited budget and resources can cause underestimation of the prevalence of the HBV and HCV infections and persistent transmission of these viruses owing to unidentified cases.

求助全文
通过发布文献求助,成功后即可免费获取论文全文。 去求助
来源期刊
Medical Science Monitor Basic Research
Medical Science Monitor Basic Research MEDICINE, RESEARCH & EXPERIMENTAL-
CiteScore
6.00
自引率
0.00%
发文量
16
×
引用
GB/T 7714-2015
复制
MLA
复制
APA
复制
导出至
BibTeX EndNote RefMan NoteFirst NoteExpress
×
提示
您的信息不完整,为了账户安全,请先补充。
现在去补充
×
提示
您因"违规操作"
具体请查看互助需知
我知道了
×
提示
确定
请完成安全验证×
copy
已复制链接
快去分享给好友吧!
我知道了
右上角分享
点击右上角分享
0
联系我们:info@booksci.cn Book学术提供免费学术资源搜索服务,方便国内外学者检索中英文文献。致力于提供最便捷和优质的服务体验。 Copyright © 2023 布克学术 All rights reserved.
京ICP备2023020795号-1
ghs 京公网安备 11010802042870号
Book学术文献互助
Book学术文献互助群
群 号:604180095
Book学术官方微信