疑似鼻炎性脑膜炎患者脑脊液中 D-乳酸盐和促炎细胞因子(TNF-α、IL-6、IL-8 和 IL-17)水平的诊断价值。

IF 1.9 4区 医学 Q2 MEDICINE, GENERAL & INTERNAL
Singapore medical journal Pub Date : 2024-08-01 Epub Date: 2021-10-03 DOI:10.11622/smedj.2021123
Sibel Yorulmaz Goktas, Arzu Yılmaztepe Oral, Emel Yılmaz, Emin Halis Akalın, Furkan Guvenc, Guven Ozkaya, Hasan Kocaeli, Seref Dogan, Selcuk Yılmazlar, Haluk Barbaros Oral
{"title":"疑似鼻炎性脑膜炎患者脑脊液中 D-乳酸盐和促炎细胞因子(TNF-α、IL-6、IL-8 和 IL-17)水平的诊断价值。","authors":"Sibel Yorulmaz Goktas, Arzu Yılmaztepe Oral, Emel Yılmaz, Emin Halis Akalın, Furkan Guvenc, Guven Ozkaya, Hasan Kocaeli, Seref Dogan, Selcuk Yılmazlar, Haluk Barbaros Oral","doi":"10.11622/smedj.2021123","DOIUrl":null,"url":null,"abstract":"<p><strong>Introduction: </strong>This study aimed to determine the diagnostic value of interleukin (IL)-6, IL-8, IL-17, tumour necrosis factor-alpha (TNF-α) and D-lactate levels in the cerebrospinal fluid (CSF) of nosocomial meningitis patients.</p><p><strong>Methods: </strong>The CSF levels of cytokines and D-lactate were compared across 29 episodes of nosocomial meningitis, 38 episodes of pleocytosis (without meningitis) and 54 control subjects.</p><p><strong>Results: </strong>The CSF levels of IL-6, IL-8, and D-lactate were higher in the group with nosocomial meningitis compared to the control group and the group with pleocytosis without meningitis ( P < 0.05). For IL-6 levels (threshold: >440 pg/mL), the sensitivity and specificity were 55.17% and 94.74%, respectively. For IL-8 levels (threshold: >1,249 pg/mL), the sensitivity and specificity were 44.83% and 84.21%, respectively. In patients with nosocomial meningitis, when the threshold of D-lactate levels was >1.05 μmol/mL, the sensitivity and specificity were 75.86% and 63.16%, respectively. In pleocytosis (without meningitis) CSF samples and in nosocomial meningitis CSF samples, the highest area under the receiver operating characteristic curve (AUC) was calculated for triple combination model of IL-6, IL-8 and D-lactate levels (AUC 0.801, P < 0.001) and double combination model of IL-6 and IL-8 (AUC 0.790, P < 0.001).</p><p><strong>Conclusion: </strong>Our study findings suggest that IL-6, IL-8 and D-lactate levels could be diagnostic markers for nosocomial meningitis.</p>","PeriodicalId":21752,"journal":{"name":"Singapore medical journal","volume":" ","pages":"430-437"},"PeriodicalIF":1.9000,"publicationDate":"2024-08-01","publicationTypes":"Journal Article","fieldsOfStudy":null,"isOpenAccess":false,"openAccessPdf":"https://www.ncbi.nlm.nih.gov/pmc/articles/PMC11382820/pdf/","citationCount":"0","resultStr":"{\"title\":\"Diagnostic value of cerebrospinal fluid levels of D-lactate, tumour necrosis factor-alpha and interleukin-6, -8, and -17 in suspected nosocomial meningitis.\",\"authors\":\"Sibel Yorulmaz Goktas, Arzu Yılmaztepe Oral, Emel Yılmaz, Emin Halis Akalın, Furkan Guvenc, Guven Ozkaya, Hasan Kocaeli, Seref Dogan, Selcuk Yılmazlar, Haluk Barbaros Oral\",\"doi\":\"10.11622/smedj.2021123\",\"DOIUrl\":null,\"url\":null,\"abstract\":\"<p><strong>Introduction: </strong>This study aimed to determine the diagnostic value of interleukin (IL)-6, IL-8, IL-17, tumour necrosis factor-alpha (TNF-α) and D-lactate levels in the cerebrospinal fluid (CSF) of nosocomial meningitis patients.</p><p><strong>Methods: </strong>The CSF levels of cytokines and D-lactate were compared across 29 episodes of nosocomial meningitis, 38 episodes of pleocytosis (without meningitis) and 54 control subjects.</p><p><strong>Results: </strong>The CSF levels of IL-6, IL-8, and D-lactate were higher in the group with nosocomial meningitis compared to the control group and the group with pleocytosis without meningitis ( P < 0.05). For IL-6 levels (threshold: >440 pg/mL), the sensitivity and specificity were 55.17% and 94.74%, respectively. For IL-8 levels (threshold: >1,249 pg/mL), the sensitivity and specificity were 44.83% and 84.21%, respectively. In patients with nosocomial meningitis, when the threshold of D-lactate levels was >1.05 μmol/mL, the sensitivity and specificity were 75.86% and 63.16%, respectively. In pleocytosis (without meningitis) CSF samples and in nosocomial meningitis CSF samples, the highest area under the receiver operating characteristic curve (AUC) was calculated for triple combination model of IL-6, IL-8 and D-lactate levels (AUC 0.801, P < 0.001) and double combination model of IL-6 and IL-8 (AUC 0.790, P < 0.001).</p><p><strong>Conclusion: </strong>Our study findings suggest that IL-6, IL-8 and D-lactate levels could be diagnostic markers for nosocomial meningitis.</p>\",\"PeriodicalId\":21752,\"journal\":{\"name\":\"Singapore medical journal\",\"volume\":\" \",\"pages\":\"430-437\"},\"PeriodicalIF\":1.9000,\"publicationDate\":\"2024-08-01\",\"publicationTypes\":\"Journal Article\",\"fieldsOfStudy\":null,\"isOpenAccess\":false,\"openAccessPdf\":\"https://www.ncbi.nlm.nih.gov/pmc/articles/PMC11382820/pdf/\",\"citationCount\":\"0\",\"resultStr\":null,\"platform\":\"Semanticscholar\",\"paperid\":null,\"PeriodicalName\":\"Singapore medical journal\",\"FirstCategoryId\":\"3\",\"ListUrlMain\":\"https://doi.org/10.11622/smedj.2021123\",\"RegionNum\":4,\"RegionCategory\":\"医学\",\"ArticlePicture\":[],\"TitleCN\":null,\"AbstractTextCN\":null,\"PMCID\":null,\"EPubDate\":\"2021/10/3 0:00:00\",\"PubModel\":\"Epub\",\"JCR\":\"Q2\",\"JCRName\":\"MEDICINE, GENERAL & INTERNAL\",\"Score\":null,\"Total\":0}","platform":"Semanticscholar","paperid":null,"PeriodicalName":"Singapore medical journal","FirstCategoryId":"3","ListUrlMain":"https://doi.org/10.11622/smedj.2021123","RegionNum":4,"RegionCategory":"医学","ArticlePicture":[],"TitleCN":null,"AbstractTextCN":null,"PMCID":null,"EPubDate":"2021/10/3 0:00:00","PubModel":"Epub","JCR":"Q2","JCRName":"MEDICINE, GENERAL & INTERNAL","Score":null,"Total":0}
引用次数: 0

摘要

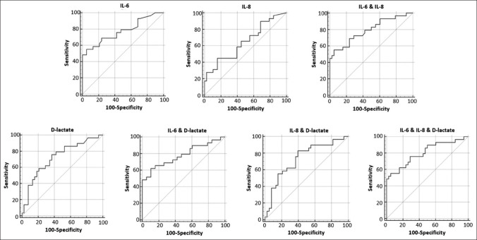
研究简介本研究旨在确定脑脊液(CSF)中的 IL-6、IL-8、IL-17、TNF-α 和 D-乳酸盐水平在诊断鼻腔感染性脑膜炎中的价值:方法:比较了29例被诊断为鼻腔感染性脑膜炎患者、38例有胸水但无脑膜炎患者和54例对照组患者脑脊液中细胞因子和D-乳酸盐的水平:IL-6、IL-8 和 D-乳酸盐的 CSF 水平在鼻疽性脑膜炎组高于对照组和有胸水但无脑膜炎组(p 440 pg/mL,敏感性和特异性分别为 55.17% 和 94.74%)。对于 IL-8 水平,当阈值大于 1249 pg/mL 时,敏感性和特异性分别为 44.83% 和 84.21%。在非细菌性脑膜炎患者中,当 D-乳酸水平的阈值大于 1.05µmol/mL 时,敏感性和特异性分别为 75.86% 和 63.16%。在无脑膜炎的多细胞脑脊液样本和确诊为非特异性脑膜炎的脑脊液样本中,IL-6、IL-8 和 D-乳酸盐水平的三重组合模型计算出的 AUC 最高(AUC=0.801,pConclusion):在我们的研究中,我们得出结论:IL-6、IL-8 和 D-乳酸盐水平可作为诊断鼻疽性脑膜炎的标志物。
本文章由计算机程序翻译,如有差异,请以英文原文为准。

Diagnostic value of cerebrospinal fluid levels of D-lactate, tumour necrosis factor-alpha and interleukin-6, -8, and -17 in suspected nosocomial meningitis.

Diagnostic value of cerebrospinal fluid levels of D-lactate, tumour necrosis factor-alpha and interleukin-6, -8, and -17 in suspected nosocomial meningitis.

Introduction: This study aimed to determine the diagnostic value of interleukin (IL)-6, IL-8, IL-17, tumour necrosis factor-alpha (TNF-α) and D-lactate levels in the cerebrospinal fluid (CSF) of nosocomial meningitis patients.

Methods: The CSF levels of cytokines and D-lactate were compared across 29 episodes of nosocomial meningitis, 38 episodes of pleocytosis (without meningitis) and 54 control subjects.

Results: The CSF levels of IL-6, IL-8, and D-lactate were higher in the group with nosocomial meningitis compared to the control group and the group with pleocytosis without meningitis ( P < 0.05). For IL-6 levels (threshold: >440 pg/mL), the sensitivity and specificity were 55.17% and 94.74%, respectively. For IL-8 levels (threshold: >1,249 pg/mL), the sensitivity and specificity were 44.83% and 84.21%, respectively. In patients with nosocomial meningitis, when the threshold of D-lactate levels was >1.05 μmol/mL, the sensitivity and specificity were 75.86% and 63.16%, respectively. In pleocytosis (without meningitis) CSF samples and in nosocomial meningitis CSF samples, the highest area under the receiver operating characteristic curve (AUC) was calculated for triple combination model of IL-6, IL-8 and D-lactate levels (AUC 0.801, P < 0.001) and double combination model of IL-6 and IL-8 (AUC 0.790, P < 0.001).

Conclusion: Our study findings suggest that IL-6, IL-8 and D-lactate levels could be diagnostic markers for nosocomial meningitis.

求助全文
通过发布文献求助,成功后即可免费获取论文全文。 去求助
来源期刊
Singapore medical journal
Singapore medical journal MEDICINE, GENERAL & INTERNAL-
CiteScore
3.40
自引率
3.70%
发文量
149
审稿时长
3-6 weeks
期刊介绍: The Singapore Medical Journal (SMJ) is the monthly publication of Singapore Medical Association (SMA). The Journal aims to advance medical practice and clinical research by publishing high-quality articles that add to the clinical knowledge of physicians in Singapore and worldwide. SMJ is a general medical journal that focuses on all aspects of human health. The Journal publishes commissioned reviews, commentaries and editorials, original research, a small number of outstanding case reports, continuing medical education articles (ECG Series, Clinics in Diagnostic Imaging, Pictorial Essays, Practice Integration & Life-long Learning [PILL] Series), and short communications in the form of letters to the editor.
×
引用
GB/T 7714-2015
复制
MLA
复制
APA
复制
导出至
BibTeX EndNote RefMan NoteFirst NoteExpress
×
提示
您的信息不完整,为了账户安全,请先补充。
现在去补充
×
提示
您因"违规操作"
具体请查看互助需知
我知道了
×
提示
确定
请完成安全验证×
copy
已复制链接
快去分享给好友吧!
我知道了
右上角分享
点击右上角分享
0
联系我们:info@booksci.cn Book学术提供免费学术资源搜索服务,方便国内外学者检索中英文文献。致力于提供最便捷和优质的服务体验。 Copyright © 2023 布克学术 All rights reserved.
京ICP备2023020795号-1
ghs 京公网安备 11010802042870号
Book学术文献互助
Book学术文献互助群
群 号:604180095
Book学术官方微信