根据健康新加坡人的冠状动脉钙化评分提高弗雷明汉风险评分对心肌梗死风险的预测能力。

IF 1.9 4区 医学 Q2 MEDICINE, GENERAL & INTERNAL
Singapore medical journal Pub Date : 2024-02-01 Epub Date: 2021-10-11 DOI:10.11622/smedj.2021151
Ching Yee Ivory Yeo, John Carson Jr Allen, Weiting Huang, Wei Ying Tan, Siew Ching Kong, Khung Keong Yeo
{"title":"根据健康新加坡人的冠状动脉钙化评分提高弗雷明汉风险评分对心肌梗死风险的预测能力。","authors":"Ching Yee Ivory Yeo, John Carson Jr Allen, Weiting Huang, Wei Ying Tan, Siew Ching Kong, Khung Keong Yeo","doi":"10.11622/smedj.2021151","DOIUrl":null,"url":null,"abstract":"<p><strong>Introduction: </strong>Cardiovascular disease was the top cause of deaths and disability in Singapore in 2018, contributing extensively to the local healthcare burden. Primary prevention identifies at-risk individuals for the swift implementation of preventive measures. This has been traditionally done using the Singapore-adapted Framingham Risk Score (SG FRS). However, its most recent recalibration was more than a decade ago. Recent changes in patient demographics and risk factors have undermined the accuracy of SG FRS, and the rising popularity of wearable health metrics has led to new data types with the potential to improve risk prediction.</p><p><strong>Methods: </strong>In healthy Singaporeans enrolled in SingHEART study (absence of any clinical outcomes), we investigated improvements in SG FRS to predict myocardial infarction risk based on high/low classification of the Agatston score (surrogate outcome). Logistic regression, receiver operating characteristic and net reclassification index (NRI) analyses were conducted.</p><p><strong>Results: </strong>We demonstrated a significant improvement in the area under curve (AUC) of SG FRS (AUC = 0.641) after recalibration and incorporation of additional variables (fasting blood glucose and wearable-derived activity levels) (AUC = 0.774) ( P < 0.001). SG FRS++ significantly increases accuracy in risk prediction (NRI = 0.219, P = 0.00254).</p><p><strong>Conclusion: </strong>Existing Singapore cardiovascular disease risk prediction guidelines should be updated to improve risk prediction accuracy. Recalibrating existing risk functions and utilising wearable metrics that provide a large pool of objective health data can improve existing risk prediction tools. Lastly, activity levels and prediabetic state are important factors for coronary heart disease risk stratification, especially in low-risk individuals.</p>","PeriodicalId":21752,"journal":{"name":"Singapore medical journal","volume":" ","pages":"74-83"},"PeriodicalIF":1.9000,"publicationDate":"2024-02-01","publicationTypes":"Journal Article","fieldsOfStudy":null,"isOpenAccess":false,"openAccessPdf":"https://www.ncbi.nlm.nih.gov/pmc/articles/PMC10942132/pdf/","citationCount":"0","resultStr":"{\"title\":\"Improving the predictive capability of Framingham Risk Score for the risk of myocardial infarction based on coronary artery calcium score in healthy Singaporeans.\",\"authors\":\"Ching Yee Ivory Yeo, John Carson Jr Allen, Weiting Huang, Wei Ying Tan, Siew Ching Kong, Khung Keong Yeo\",\"doi\":\"10.11622/smedj.2021151\",\"DOIUrl\":null,\"url\":null,\"abstract\":\"<p><strong>Introduction: </strong>Cardiovascular disease was the top cause of deaths and disability in Singapore in 2018, contributing extensively to the local healthcare burden. Primary prevention identifies at-risk individuals for the swift implementation of preventive measures. This has been traditionally done using the Singapore-adapted Framingham Risk Score (SG FRS). However, its most recent recalibration was more than a decade ago. Recent changes in patient demographics and risk factors have undermined the accuracy of SG FRS, and the rising popularity of wearable health metrics has led to new data types with the potential to improve risk prediction.</p><p><strong>Methods: </strong>In healthy Singaporeans enrolled in SingHEART study (absence of any clinical outcomes), we investigated improvements in SG FRS to predict myocardial infarction risk based on high/low classification of the Agatston score (surrogate outcome). Logistic regression, receiver operating characteristic and net reclassification index (NRI) analyses were conducted.</p><p><strong>Results: </strong>We demonstrated a significant improvement in the area under curve (AUC) of SG FRS (AUC = 0.641) after recalibration and incorporation of additional variables (fasting blood glucose and wearable-derived activity levels) (AUC = 0.774) ( P < 0.001). SG FRS++ significantly increases accuracy in risk prediction (NRI = 0.219, P = 0.00254).</p><p><strong>Conclusion: </strong>Existing Singapore cardiovascular disease risk prediction guidelines should be updated to improve risk prediction accuracy. Recalibrating existing risk functions and utilising wearable metrics that provide a large pool of objective health data can improve existing risk prediction tools. Lastly, activity levels and prediabetic state are important factors for coronary heart disease risk stratification, especially in low-risk individuals.</p>\",\"PeriodicalId\":21752,\"journal\":{\"name\":\"Singapore medical journal\",\"volume\":\" \",\"pages\":\"74-83\"},\"PeriodicalIF\":1.9000,\"publicationDate\":\"2024-02-01\",\"publicationTypes\":\"Journal Article\",\"fieldsOfStudy\":null,\"isOpenAccess\":false,\"openAccessPdf\":\"https://www.ncbi.nlm.nih.gov/pmc/articles/PMC10942132/pdf/\",\"citationCount\":\"0\",\"resultStr\":null,\"platform\":\"Semanticscholar\",\"paperid\":null,\"PeriodicalName\":\"Singapore medical journal\",\"FirstCategoryId\":\"3\",\"ListUrlMain\":\"https://doi.org/10.11622/smedj.2021151\",\"RegionNum\":4,\"RegionCategory\":\"医学\",\"ArticlePicture\":[],\"TitleCN\":null,\"AbstractTextCN\":null,\"PMCID\":null,\"EPubDate\":\"2021/10/11 0:00:00\",\"PubModel\":\"Epub\",\"JCR\":\"Q2\",\"JCRName\":\"MEDICINE, GENERAL & INTERNAL\",\"Score\":null,\"Total\":0}","platform":"Semanticscholar","paperid":null,"PeriodicalName":"Singapore medical journal","FirstCategoryId":"3","ListUrlMain":"https://doi.org/10.11622/smedj.2021151","RegionNum":4,"RegionCategory":"医学","ArticlePicture":[],"TitleCN":null,"AbstractTextCN":null,"PMCID":null,"EPubDate":"2021/10/11 0:00:00","PubModel":"Epub","JCR":"Q2","JCRName":"MEDICINE, GENERAL & INTERNAL","Score":null,"Total":0}
引用次数: 0

摘要

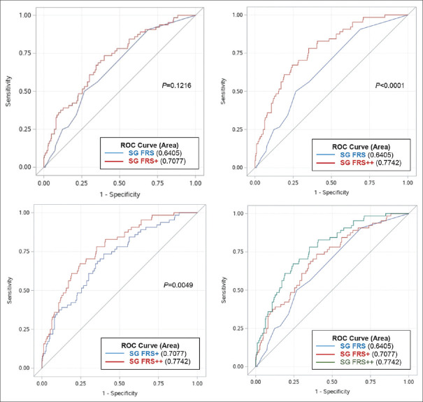
导言:2018 年,心血管疾病是导致新加坡人死亡和残疾的首要原因,广泛加重了当地的医疗负担。初级预防可识别高危人群,以便迅速实施预防措施。传统上,这项工作是通过新加坡改编的弗雷明汉风险评分(SG FRS)来完成的。不过,最近一次重新校准是在十多年前。最近,患者人口统计学和风险因素的变化削弱了 SG FRS 的准确性,而可穿戴健康指标的日益普及带来了新的数据类型,有可能改善风险预测:方法:在参加 SingHEART 研究(无任何临床结果)的健康新加坡人中,我们调查了 SG FRS 在根据 Agatston 评分(替代结果)的高/低分类预测心肌梗死风险方面的改进情况。我们进行了逻辑回归、接收者操作特征和净重分类指数(NRI)分析:结果:在重新校准并纳入附加变量(空腹血糖和可穿戴活动水平)(AUC = 0.774)后,我们发现 SG FRS 的曲线下面积(AUC)有了明显改善(AUC = 0.641)(P < 0.001)。SG FRS++ 能明显提高风险预测的准确性(NRI = 0.219,P = 0.00254):结论:现有的新加坡心血管疾病风险预测指南应予以更新,以提高风险预测的准确性。重新校准现有的风险函数并利用可提供大量客观健康数据的可穿戴指标,可以改善现有的风险预测工具。最后,活动水平和糖尿病前期状态是冠心病风险分层的重要因素,尤其是对低风险人群而言。
本文章由计算机程序翻译,如有差异,请以英文原文为准。

Improving the predictive capability of Framingham Risk Score for the risk of myocardial infarction based on coronary artery calcium score in healthy Singaporeans.

Improving the predictive capability of Framingham Risk Score for the risk of myocardial infarction based on coronary artery calcium score in healthy Singaporeans.

Improving the predictive capability of Framingham Risk Score for the risk of myocardial infarction based on coronary artery calcium score in healthy Singaporeans.

Improving the predictive capability of Framingham Risk Score for the risk of myocardial infarction based on coronary artery calcium score in healthy Singaporeans.

Introduction: Cardiovascular disease was the top cause of deaths and disability in Singapore in 2018, contributing extensively to the local healthcare burden. Primary prevention identifies at-risk individuals for the swift implementation of preventive measures. This has been traditionally done using the Singapore-adapted Framingham Risk Score (SG FRS). However, its most recent recalibration was more than a decade ago. Recent changes in patient demographics and risk factors have undermined the accuracy of SG FRS, and the rising popularity of wearable health metrics has led to new data types with the potential to improve risk prediction.

Methods: In healthy Singaporeans enrolled in SingHEART study (absence of any clinical outcomes), we investigated improvements in SG FRS to predict myocardial infarction risk based on high/low classification of the Agatston score (surrogate outcome). Logistic regression, receiver operating characteristic and net reclassification index (NRI) analyses were conducted.

Results: We demonstrated a significant improvement in the area under curve (AUC) of SG FRS (AUC = 0.641) after recalibration and incorporation of additional variables (fasting blood glucose and wearable-derived activity levels) (AUC = 0.774) ( P < 0.001). SG FRS++ significantly increases accuracy in risk prediction (NRI = 0.219, P = 0.00254).

Conclusion: Existing Singapore cardiovascular disease risk prediction guidelines should be updated to improve risk prediction accuracy. Recalibrating existing risk functions and utilising wearable metrics that provide a large pool of objective health data can improve existing risk prediction tools. Lastly, activity levels and prediabetic state are important factors for coronary heart disease risk stratification, especially in low-risk individuals.

求助全文
通过发布文献求助,成功后即可免费获取论文全文。 去求助
来源期刊
Singapore medical journal
Singapore medical journal MEDICINE, GENERAL & INTERNAL-
CiteScore
3.40
自引率
3.70%
发文量
149
审稿时长
3-6 weeks
期刊介绍: The Singapore Medical Journal (SMJ) is the monthly publication of Singapore Medical Association (SMA). The Journal aims to advance medical practice and clinical research by publishing high-quality articles that add to the clinical knowledge of physicians in Singapore and worldwide. SMJ is a general medical journal that focuses on all aspects of human health. The Journal publishes commissioned reviews, commentaries and editorials, original research, a small number of outstanding case reports, continuing medical education articles (ECG Series, Clinics in Diagnostic Imaging, Pictorial Essays, Practice Integration & Life-long Learning [PILL] Series), and short communications in the form of letters to the editor.
×
引用
GB/T 7714-2015
复制
MLA
复制
APA
复制
导出至
BibTeX EndNote RefMan NoteFirst NoteExpress
×
提示
您的信息不完整,为了账户安全,请先补充。
现在去补充
×
提示
您因"违规操作"
具体请查看互助需知
我知道了
×
提示
确定
请完成安全验证×
copy
已复制链接
快去分享给好友吧!
我知道了
右上角分享
点击右上角分享
0
联系我们:info@booksci.cn Book学术提供免费学术资源搜索服务,方便国内外学者检索中英文文献。致力于提供最便捷和优质的服务体验。 Copyright © 2023 布克学术 All rights reserved.
京ICP备2023020795号-1
ghs 京公网安备 11010802042870号
Book学术文献互助
Book学术文献互助群
群 号:604180095
Book学术官方微信