一种新型抗炎香豆素。

Yasser Abdelaal Selim, Nabil Hassan Ouf
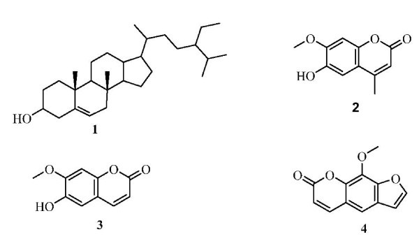
{"title":"一种新型抗炎香豆素。","authors":"Yasser Abdelaal Selim,&nbsp;Nabil Hassan Ouf","doi":"10.1186/2191-2858-2-1","DOIUrl":null,"url":null,"abstract":"<p><p> Investigation of the aerial parts of the Egyptian medicinal plant Ammi majus L. led to isolation of new coumarin, 6-hydroxy-7-methoxy-4 methyl coumarin (2) and 6-hydroxy-7-methoxy coumarin (3); this is the first time they have been isolated from this plant. The structures of the compounds (2 &3) were elucidated by spectroscopic data interpretation and showed anti-inflammatory and anti-viral activity. GRAPHICAL An efficient, one-new coumarin (2) was isolated from the aerial parts of the A. Majus L. was evaluated for their anti-viral and anti-inflammatory activities.</p>","PeriodicalId":19639,"journal":{"name":"Organic and Medicinal Chemistry Letters","volume":"2 1","pages":"1"},"PeriodicalIF":0.0000,"publicationDate":"2012-01-12","publicationTypes":"Journal Article","fieldsOfStudy":null,"isOpenAccess":false,"openAccessPdf":"https://sci-hub-pdf.com/10.1186/2191-2858-2-1","citationCount":"84","resultStr":"{\"title\":\"Anti-inflammatory new coumarin from the Ammi majus L.\",\"authors\":\"Yasser Abdelaal Selim,&nbsp;Nabil Hassan Ouf\",\"doi\":\"10.1186/2191-2858-2-1\",\"DOIUrl\":null,\"url\":null,\"abstract\":\"<p><p> Investigation of the aerial parts of the Egyptian medicinal plant Ammi majus L. led to isolation of new coumarin, 6-hydroxy-7-methoxy-4 methyl coumarin (2) and 6-hydroxy-7-methoxy coumarin (3); this is the first time they have been isolated from this plant. The structures of the compounds (2 &3) were elucidated by spectroscopic data interpretation and showed anti-inflammatory and anti-viral activity. GRAPHICAL An efficient, one-new coumarin (2) was isolated from the aerial parts of the A. Majus L. was evaluated for their anti-viral and anti-inflammatory activities.</p>\",\"PeriodicalId\":19639,\"journal\":{\"name\":\"Organic and Medicinal Chemistry Letters\",\"volume\":\"2 1\",\"pages\":\"1\"},\"PeriodicalIF\":0.0000,\"publicationDate\":\"2012-01-12\",\"publicationTypes\":\"Journal Article\",\"fieldsOfStudy\":null,\"isOpenAccess\":false,\"openAccessPdf\":\"https://sci-hub-pdf.com/10.1186/2191-2858-2-1\",\"citationCount\":\"84\",\"resultStr\":null,\"platform\":\"Semanticscholar\",\"paperid\":null,\"PeriodicalName\":\"Organic and Medicinal Chemistry Letters\",\"FirstCategoryId\":\"1085\",\"ListUrlMain\":\"https://doi.org/10.1186/2191-2858-2-1\",\"RegionNum\":0,\"RegionCategory\":null,\"ArticlePicture\":[],\"TitleCN\":null,\"AbstractTextCN\":null,\"PMCID\":null,\"EPubDate\":\"\",\"PubModel\":\"\",\"JCR\":\"\",\"JCRName\":\"\",\"Score\":null,\"Total\":0}","platform":"Semanticscholar","paperid":null,"PeriodicalName":"Organic and Medicinal Chemistry Letters","FirstCategoryId":"1085","ListUrlMain":"https://doi.org/10.1186/2191-2858-2-1","RegionNum":0,"RegionCategory":null,"ArticlePicture":[],"TitleCN":null,"AbstractTextCN":null,"PMCID":null,"EPubDate":"","PubModel":"","JCR":"","JCRName":"","Score":null,"Total":0}
引用次数: 84

摘要

对埃及药用植物Ammi majus L.的地上部分进行调查,分离到新的香豆素、6-羟基-7-甲氧基-4甲基香豆素(2)和6-羟基-7-甲氧基香豆素(3);这是第一次从这种植物中分离出它们。化合物(2和3)的结构通过光谱数据解释被阐明,并显示出抗炎和抗病毒活性。图:从黄花蒿的空中部位分离到一种高效的新香豆素(2),并对其抗病毒和抗炎活性进行了评价。
本文章由计算机程序翻译,如有差异,请以英文原文为准。

Anti-inflammatory new coumarin from the Ammi majus L.

Anti-inflammatory new coumarin from the Ammi majus L.

Investigation of the aerial parts of the Egyptian medicinal plant Ammi majus L. led to isolation of new coumarin, 6-hydroxy-7-methoxy-4 methyl coumarin (2) and 6-hydroxy-7-methoxy coumarin (3); this is the first time they have been isolated from this plant. The structures of the compounds (2 &3) were elucidated by spectroscopic data interpretation and showed anti-inflammatory and anti-viral activity. GRAPHICAL An efficient, one-new coumarin (2) was isolated from the aerial parts of the A. Majus L. was evaluated for their anti-viral and anti-inflammatory activities.

求助全文
通过发布文献求助,成功后即可免费获取论文全文。 去求助
来源期刊
自引率
0.00%
发文量
0
×
引用
GB/T 7714-2015
复制
MLA
复制
APA
复制
导出至
BibTeX EndNote RefMan NoteFirst NoteExpress
×
提示
您的信息不完整,为了账户安全,请先补充。
现在去补充
×
提示
您因"违规操作"
具体请查看互助需知
我知道了
×
提示
确定
请完成安全验证×
copy
已复制链接
快去分享给好友吧!
我知道了
右上角分享
点击右上角分享
0
联系我们:info@booksci.cn Book学术提供免费学术资源搜索服务,方便国内外学者检索中英文文献。致力于提供最便捷和优质的服务体验。 Copyright © 2023 布克学术 All rights reserved.
京ICP备2023020795号-1
ghs 京公网安备 11010802042870号
Book学术文献互助
Book学术文献互助群
群 号:604180095
Book学术官方微信