在IVF/ICSI治疗中,高抗勒氏激素水平可能不能反映临床妊娠率的可能性。

IF 1.9
Tie-Cheng Sun, Shan-Jie Zhou, Ling-Li Song, Jian-Hua Li, Xi Chen, Li Tian
{"title":"在IVF/ICSI治疗中,高抗<s:1>勒氏激素水平可能不能反映临床妊娠率的可能性。","authors":"Tie-Cheng Sun,&nbsp;Shan-Jie Zhou,&nbsp;Ling-Li Song,&nbsp;Jian-Hua Li,&nbsp;Xi Chen,&nbsp;Li Tian","doi":"10.5935/1518-0557.20200094","DOIUrl":null,"url":null,"abstract":"<p><strong>Objective: </strong>To investigate if high anti-Müllerian hormone (AMH) concentration is a useful tool to predict the outcome of assisted reproductive treatment.</p><p><strong>Methods: </strong>Retrospective cohort study involving 520 patients who underwent IVF/ICSI procedures in a university hospital. We measured the serum AMH level on day 3 of the menstrual cycle. Based on AMH levels, we divided the patients into three groups as follows: low (<25th percentile) AMH group, average (25th to 75th percentile) AMH group and high (>75th percentile) AMH group. We recorded the fertilization rate (FR), the number of oocytes retrieved, the number of good quality embryos (GQEs) and the clinical pregnancy rate (CPR).</p><p><strong>Results: </strong>There was no difference between the three AMH groups in terms of maternal age, body mass index (BMI), follicle-stimulating hormone (FSH), estradiol (E2), luteinizing hormone (LH) and testosterone (T) in the IVF/ICSI cycles. The women in the high serum AMH group had a higher number of retrieved oocytes than those in the low or average AMH groups (p < 0.01) in the IVF/ICSI cycles. Compared with the low or average AMH groups, the women with high AMH levels had a higher number of good quality embryos (GQEs) in the IVF/ICSI cycles (p < 0.01). However, high AMH women had no significantly higher clinical pregnancy rate (CPR) compared to the women in the low or average AMH groups. In addition, for the prediction of CPR, the AMH levels alone were not an independent predictor of CPR for IVF and ICSI cycles in the ROC curve analysis.</p><p><strong>Conclusions: </strong>High anti-Müllerian hormone levels are an independent predictor of the number of retrieved oocytes and good quality embryos (GQEs), but might not reflect the likelihood of higher clinical pregnancy rates (CPR) in IVF/ICSI treatment.</p>","PeriodicalId":520656,"journal":{"name":"JBRA assisted reproduction","volume":" ","pages":"266-271"},"PeriodicalIF":1.9000,"publicationDate":"2021-04-27","publicationTypes":"Journal Article","fieldsOfStudy":null,"isOpenAccess":false,"openAccessPdf":"https://www.ncbi.nlm.nih.gov/pmc/articles/PMC8083848/pdf/","citationCount":"3","resultStr":"{\"title\":\"High anti-Müllerian hormone levels might not reflect the likelihood of clinical pregnancy rate in IVF/ICSI treatment.\",\"authors\":\"Tie-Cheng Sun,&nbsp;Shan-Jie Zhou,&nbsp;Ling-Li Song,&nbsp;Jian-Hua Li,&nbsp;Xi Chen,&nbsp;Li Tian\",\"doi\":\"10.5935/1518-0557.20200094\",\"DOIUrl\":null,\"url\":null,\"abstract\":\"<p><strong>Objective: </strong>To investigate if high anti-Müllerian hormone (AMH) concentration is a useful tool to predict the outcome of assisted reproductive treatment.</p><p><strong>Methods: </strong>Retrospective cohort study involving 520 patients who underwent IVF/ICSI procedures in a university hospital. We measured the serum AMH level on day 3 of the menstrual cycle. Based on AMH levels, we divided the patients into three groups as follows: low (<25th percentile) AMH group, average (25th to 75th percentile) AMH group and high (>75th percentile) AMH group. We recorded the fertilization rate (FR), the number of oocytes retrieved, the number of good quality embryos (GQEs) and the clinical pregnancy rate (CPR).</p><p><strong>Results: </strong>There was no difference between the three AMH groups in terms of maternal age, body mass index (BMI), follicle-stimulating hormone (FSH), estradiol (E2), luteinizing hormone (LH) and testosterone (T) in the IVF/ICSI cycles. The women in the high serum AMH group had a higher number of retrieved oocytes than those in the low or average AMH groups (p < 0.01) in the IVF/ICSI cycles. Compared with the low or average AMH groups, the women with high AMH levels had a higher number of good quality embryos (GQEs) in the IVF/ICSI cycles (p < 0.01). However, high AMH women had no significantly higher clinical pregnancy rate (CPR) compared to the women in the low or average AMH groups. In addition, for the prediction of CPR, the AMH levels alone were not an independent predictor of CPR for IVF and ICSI cycles in the ROC curve analysis.</p><p><strong>Conclusions: </strong>High anti-Müllerian hormone levels are an independent predictor of the number of retrieved oocytes and good quality embryos (GQEs), but might not reflect the likelihood of higher clinical pregnancy rates (CPR) in IVF/ICSI treatment.</p>\",\"PeriodicalId\":520656,\"journal\":{\"name\":\"JBRA assisted reproduction\",\"volume\":\" \",\"pages\":\"266-271\"},\"PeriodicalIF\":1.9000,\"publicationDate\":\"2021-04-27\",\"publicationTypes\":\"Journal Article\",\"fieldsOfStudy\":null,\"isOpenAccess\":false,\"openAccessPdf\":\"https://www.ncbi.nlm.nih.gov/pmc/articles/PMC8083848/pdf/\",\"citationCount\":\"3\",\"resultStr\":null,\"platform\":\"Semanticscholar\",\"paperid\":null,\"PeriodicalName\":\"JBRA assisted reproduction\",\"FirstCategoryId\":\"1085\",\"ListUrlMain\":\"https://doi.org/10.5935/1518-0557.20200094\",\"RegionNum\":0,\"RegionCategory\":null,\"ArticlePicture\":[],\"TitleCN\":null,\"AbstractTextCN\":null,\"PMCID\":null,\"EPubDate\":\"\",\"PubModel\":\"\",\"JCR\":\"\",\"JCRName\":\"\",\"Score\":null,\"Total\":0}","platform":"Semanticscholar","paperid":null,"PeriodicalName":"JBRA assisted reproduction","FirstCategoryId":"1085","ListUrlMain":"https://doi.org/10.5935/1518-0557.20200094","RegionNum":0,"RegionCategory":null,"ArticlePicture":[],"TitleCN":null,"AbstractTextCN":null,"PMCID":null,"EPubDate":"","PubModel":"","JCR":"","JCRName":"","Score":null,"Total":0}
引用次数: 3

摘要

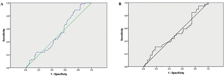
目的:探讨高抗勒氏杆菌激素(AMH)浓度是否可作为预测辅助生殖治疗效果的有效指标。方法:回顾性队列研究,涉及520例在某大学医院接受IVF/ICSI手术的患者。在月经周期第3天测定血清AMH水平。根据AMH水平,我们将患者分为三组:低(75百分位)AMH组。记录受精率(FR)、取卵数、优质胚胎数(GQEs)和临床妊娠率(CPR)。结果:三个AMH组在IVF/ICSI周期中,母亲年龄、体重指数(BMI)、促卵泡激素(FSH)、雌二醇(E2)、促黄体生成素(LH)和睾酮(T)均无差异。在IVF/ICSI周期中,高血清AMH组妇女的回收卵母细胞数量高于低血清AMH组和平均血清AMH组(p < 0.01)。与AMH水平低或平均组相比,AMH水平高的妇女在IVF/ICSI周期中有更多的优质胚胎(GQEs) (p < 0.01)。然而,与低AMH组或平均AMH组的妇女相比,高AMH妇女的临床妊娠率(CPR)没有显著提高。此外,对于CPR的预测,在ROC曲线分析中,仅AMH水平不是IVF和ICSI周期CPR的独立预测因子。结论:高抗勒氏激素水平是获得卵母细胞数量和优质胚胎(GQEs)的独立预测因子,但可能不能反映体外受精/ICSI治疗中较高临床妊娠率(CPR)的可能性。
本文章由计算机程序翻译,如有差异,请以英文原文为准。

High anti-Müllerian hormone levels might not reflect the likelihood of clinical pregnancy rate in IVF/ICSI treatment.

High anti-Müllerian hormone levels might not reflect the likelihood of clinical pregnancy rate in IVF/ICSI treatment.

High anti-Müllerian hormone levels might not reflect the likelihood of clinical pregnancy rate in IVF/ICSI treatment.

Objective: To investigate if high anti-Müllerian hormone (AMH) concentration is a useful tool to predict the outcome of assisted reproductive treatment.

Methods: Retrospective cohort study involving 520 patients who underwent IVF/ICSI procedures in a university hospital. We measured the serum AMH level on day 3 of the menstrual cycle. Based on AMH levels, we divided the patients into three groups as follows: low (<25th percentile) AMH group, average (25th to 75th percentile) AMH group and high (>75th percentile) AMH group. We recorded the fertilization rate (FR), the number of oocytes retrieved, the number of good quality embryos (GQEs) and the clinical pregnancy rate (CPR).

Results: There was no difference between the three AMH groups in terms of maternal age, body mass index (BMI), follicle-stimulating hormone (FSH), estradiol (E2), luteinizing hormone (LH) and testosterone (T) in the IVF/ICSI cycles. The women in the high serum AMH group had a higher number of retrieved oocytes than those in the low or average AMH groups (p < 0.01) in the IVF/ICSI cycles. Compared with the low or average AMH groups, the women with high AMH levels had a higher number of good quality embryos (GQEs) in the IVF/ICSI cycles (p < 0.01). However, high AMH women had no significantly higher clinical pregnancy rate (CPR) compared to the women in the low or average AMH groups. In addition, for the prediction of CPR, the AMH levels alone were not an independent predictor of CPR for IVF and ICSI cycles in the ROC curve analysis.

Conclusions: High anti-Müllerian hormone levels are an independent predictor of the number of retrieved oocytes and good quality embryos (GQEs), but might not reflect the likelihood of higher clinical pregnancy rates (CPR) in IVF/ICSI treatment.

求助全文
通过发布文献求助,成功后即可免费获取论文全文。 去求助
来源期刊
自引率
0.00%
发文量
0
×
引用
GB/T 7714-2015
复制
MLA
复制
APA
复制
导出至
BibTeX EndNote RefMan NoteFirst NoteExpress
×
提示
您的信息不完整,为了账户安全,请先补充。
现在去补充
×
提示
您因"违规操作"
具体请查看互助需知
我知道了
×
提示
确定
请完成安全验证×
copy
已复制链接
快去分享给好友吧!
我知道了
右上角分享
点击右上角分享
0
联系我们:info@booksci.cn Book学术提供免费学术资源搜索服务,方便国内外学者检索中英文文献。致力于提供最便捷和优质的服务体验。 Copyright © 2023 布克学术 All rights reserved.
京ICP备2023020795号-1
ghs 京公网安备 11010802042870号
Book学术文献互助
Book学术文献互助群
群 号:604180095
Book学术官方微信