不同类型经颅磁刺激线圈对磷酸化阈值的影响及其与运动皮层兴奋性的关系。

IF 2.3 4区 医学 Q3 NEUROSCIENCES
Halit Fidancı, Halil Can Alaydın, Cemre Cöddü, İrem Yakıcı, Zülfikar Arlıer
{"title":"不同类型经颅磁刺激线圈对磷酸化阈值的影响及其与运动皮层兴奋性的关系。","authors":"Halit Fidancı, Halil Can Alaydın, Cemre Cöddü, İrem Yakıcı, Zülfikar Arlıer","doi":"10.1186/s12868-025-00977-1","DOIUrl":null,"url":null,"abstract":"","PeriodicalId":9031,"journal":{"name":"BMC Neuroscience","volume":"26 1","pages":"62"},"PeriodicalIF":2.3000,"publicationDate":"2025-10-16","publicationTypes":"Journal Article","fieldsOfStudy":null,"isOpenAccess":false,"openAccessPdf":"https://www.ncbi.nlm.nih.gov/pmc/articles/PMC12532860/pdf/","citationCount":"0","resultStr":"{\"title\":\"Effects of different transcranial magnetic stimulation coil types on phosphene thresholds and their association with motor cortex excitability.\",\"authors\":\"Halit Fidancı, Halil Can Alaydın, Cemre Cöddü, İrem Yakıcı, Zülfikar Arlıer\",\"doi\":\"10.1186/s12868-025-00977-1\",\"DOIUrl\":null,\"url\":null,\"abstract\":\"\",\"PeriodicalId\":9031,\"journal\":{\"name\":\"BMC Neuroscience\",\"volume\":\"26 1\",\"pages\":\"62\"},\"PeriodicalIF\":2.3000,\"publicationDate\":\"2025-10-16\",\"publicationTypes\":\"Journal Article\",\"fieldsOfStudy\":null,\"isOpenAccess\":false,\"openAccessPdf\":\"https://www.ncbi.nlm.nih.gov/pmc/articles/PMC12532860/pdf/\",\"citationCount\":\"0\",\"resultStr\":null,\"platform\":\"Semanticscholar\",\"paperid\":null,\"PeriodicalName\":\"BMC Neuroscience\",\"FirstCategoryId\":\"3\",\"ListUrlMain\":\"https://doi.org/10.1186/s12868-025-00977-1\",\"RegionNum\":4,\"RegionCategory\":\"医学\",\"ArticlePicture\":[],\"TitleCN\":null,\"AbstractTextCN\":null,\"PMCID\":null,\"EPubDate\":\"\",\"PubModel\":\"\",\"JCR\":\"Q3\",\"JCRName\":\"NEUROSCIENCES\",\"Score\":null,\"Total\":0}","platform":"Semanticscholar","paperid":null,"PeriodicalName":"BMC Neuroscience","FirstCategoryId":"3","ListUrlMain":"https://doi.org/10.1186/s12868-025-00977-1","RegionNum":4,"RegionCategory":"医学","ArticlePicture":[],"TitleCN":null,"AbstractTextCN":null,"PMCID":null,"EPubDate":"","PubModel":"","JCR":"Q3","JCRName":"NEUROSCIENCES","Score":null,"Total":0}
引用次数: 0

摘要

本文章由计算机程序翻译,如有差异,请以英文原文为准。

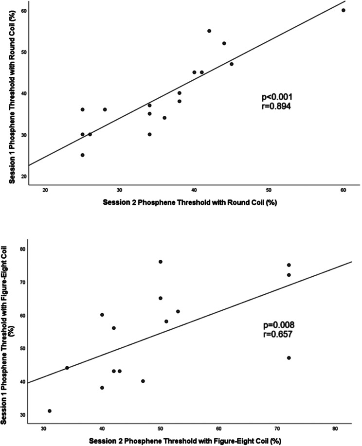
Effects of different transcranial magnetic stimulation coil types on phosphene thresholds and their association with motor cortex excitability.

Effects of different transcranial magnetic stimulation coil types on phosphene thresholds and their association with motor cortex excitability.

Effects of different transcranial magnetic stimulation coil types on phosphene thresholds and their association with motor cortex excitability.

Effects of different transcranial magnetic stimulation coil types on phosphene thresholds and their association with motor cortex excitability.
求助全文
通过发布文献求助,成功后即可免费获取论文全文。 去求助
来源期刊
BMC Neuroscience
BMC Neuroscience 医学-神经科学
CiteScore
3.90
自引率
0.00%
发文量
64
审稿时长
16 months
期刊介绍: BMC Neuroscience is an open access, peer-reviewed journal that considers articles on all aspects of neuroscience, welcoming studies that provide insight into the molecular, cellular, developmental, genetic and genomic, systems, network, cognitive and behavioral aspects of nervous system function in both health and disease. Both experimental and theoretical studies are within scope, as are studies that describe methodological approaches to monitoring or manipulating nervous system function.
×
引用
GB/T 7714-2015
复制
MLA
复制
APA
复制
导出至
BibTeX EndNote RefMan NoteFirst NoteExpress
×
提示
您的信息不完整,为了账户安全,请先补充。
现在去补充
×
提示
您因"违规操作"
具体请查看互助需知
我知道了
×
提示
确定
请完成安全验证×
copy
已复制链接
快去分享给好友吧!
我知道了
右上角分享
点击右上角分享
0
联系我们:info@booksci.cn Book学术提供免费学术资源搜索服务,方便国内外学者检索中英文文献。致力于提供最便捷和优质的服务体验。 Copyright © 2023 布克学术 All rights reserved.
京ICP备2023020795号-1
ghs 京公网安备 11010802042870号
Book学术文献互助
Book学术文献互助群
群 号:604180095
Book学术官方微信