韩国人口甲状腺激素测试参考区间的建立:使用直接选择技术。

IF 3.3 3区 医学 Q1 MEDICINE, GENERAL & INTERNAL
Jong Do Seo, Eun-Jung Cho, Changhee Ha, Hyung-Doo Park, Shinae Yu, Woochang Lee, Sollip Kim, Yeo-Min Yun
{"title":"韩国人口甲状腺激素测试参考区间的建立:使用直接选择技术。","authors":"Jong Do Seo, Eun-Jung Cho, Changhee Ha, Hyung-Doo Park, Shinae Yu, Woochang Lee, Sollip Kim, Yeo-Min Yun","doi":"10.3390/diagnostics15192510","DOIUrl":null,"url":null,"abstract":"<p><p><b>Background/Objectives</b>: Thyroid-stimulating hormone (TSH), free thyroxine (FT4), and total triiodothyronine (TT3) are biomarkers for evaluating thyroid function. Although hormone levels are affected by many biological and environmental factors, most laboratories use manufacturer-provided reference intervals (RIs) without considering these factors. Thus, in this study we assessed RIs for TSH, FT4, and TT3 in a Korean population, using a direct selection technique. <b>Methods</b>: Serum samples from patients without a history of thyroid disease, medication, family history, or antibody-positive test results were collected after a review of medical records. TSH, FT4, and TT3 levels were measured using the Cobas e801 analyzer (Roche Diagnostics GmbH, Mannheim, Germany) with dedicated reagents. RIs were then established using a non-parametric method, using values at the 2.5th and 97.5th percentiles as reference limits, which were then verified in a validation cohort. <b>Results</b>: A total of 618 subjects were enrolled in this study. Because the distribution of reference values for the four subgroups divided by sex and age (65 years) showed insignificant differences, combined RIs were determined, with the established RIs being 0.38-5.46 mIU/L for TSH, 12.28-22.40 pmol/L for FT4, and 0.94-2.32 nmol/L for TT3. When compared to manufacturer-claimed RIs, the Korean RI for TSH showed higher upper limits, while that for TT3 showed lower upper limits. Additionally, when newly established RIs were applied to the validation cohort, the rate of test-positive results decreased significantly. <b>Conclusions</b>: Significant differences in RIs for TSH and TT3 in the Korean population, compared to manufacturer-claimed values, highlight the need for population-specific RIs. Thus, interpreting the results for the Korean population requires caution, and Korean population-based RIs are necessary.</p>","PeriodicalId":11225,"journal":{"name":"Diagnostics","volume":"15 19","pages":""},"PeriodicalIF":3.3000,"publicationDate":"2025-10-02","publicationTypes":"Journal Article","fieldsOfStudy":null,"isOpenAccess":false,"openAccessPdf":"https://www.ncbi.nlm.nih.gov/pmc/articles/PMC12523787/pdf/","citationCount":"0","resultStr":"{\"title\":\"The Establishment of Reference Intervals for Thyroid Hormone Tests in the Korean Population: Using a Direct Selection Technique.\",\"authors\":\"Jong Do Seo, Eun-Jung Cho, Changhee Ha, Hyung-Doo Park, Shinae Yu, Woochang Lee, Sollip Kim, Yeo-Min Yun\",\"doi\":\"10.3390/diagnostics15192510\",\"DOIUrl\":null,\"url\":null,\"abstract\":\"<p><p><b>Background/Objectives</b>: Thyroid-stimulating hormone (TSH), free thyroxine (FT4), and total triiodothyronine (TT3) are biomarkers for evaluating thyroid function. Although hormone levels are affected by many biological and environmental factors, most laboratories use manufacturer-provided reference intervals (RIs) without considering these factors. Thus, in this study we assessed RIs for TSH, FT4, and TT3 in a Korean population, using a direct selection technique. <b>Methods</b>: Serum samples from patients without a history of thyroid disease, medication, family history, or antibody-positive test results were collected after a review of medical records. TSH, FT4, and TT3 levels were measured using the Cobas e801 analyzer (Roche Diagnostics GmbH, Mannheim, Germany) with dedicated reagents. RIs were then established using a non-parametric method, using values at the 2.5th and 97.5th percentiles as reference limits, which were then verified in a validation cohort. <b>Results</b>: A total of 618 subjects were enrolled in this study. Because the distribution of reference values for the four subgroups divided by sex and age (65 years) showed insignificant differences, combined RIs were determined, with the established RIs being 0.38-5.46 mIU/L for TSH, 12.28-22.40 pmol/L for FT4, and 0.94-2.32 nmol/L for TT3. When compared to manufacturer-claimed RIs, the Korean RI for TSH showed higher upper limits, while that for TT3 showed lower upper limits. Additionally, when newly established RIs were applied to the validation cohort, the rate of test-positive results decreased significantly. <b>Conclusions</b>: Significant differences in RIs for TSH and TT3 in the Korean population, compared to manufacturer-claimed values, highlight the need for population-specific RIs. Thus, interpreting the results for the Korean population requires caution, and Korean population-based RIs are necessary.</p>\",\"PeriodicalId\":11225,\"journal\":{\"name\":\"Diagnostics\",\"volume\":\"15 19\",\"pages\":\"\"},\"PeriodicalIF\":3.3000,\"publicationDate\":\"2025-10-02\",\"publicationTypes\":\"Journal Article\",\"fieldsOfStudy\":null,\"isOpenAccess\":false,\"openAccessPdf\":\"https://www.ncbi.nlm.nih.gov/pmc/articles/PMC12523787/pdf/\",\"citationCount\":\"0\",\"resultStr\":null,\"platform\":\"Semanticscholar\",\"paperid\":null,\"PeriodicalName\":\"Diagnostics\",\"FirstCategoryId\":\"3\",\"ListUrlMain\":\"https://doi.org/10.3390/diagnostics15192510\",\"RegionNum\":3,\"RegionCategory\":\"医学\",\"ArticlePicture\":[],\"TitleCN\":null,\"AbstractTextCN\":null,\"PMCID\":null,\"EPubDate\":\"\",\"PubModel\":\"\",\"JCR\":\"Q1\",\"JCRName\":\"MEDICINE, GENERAL & INTERNAL\",\"Score\":null,\"Total\":0}","platform":"Semanticscholar","paperid":null,"PeriodicalName":"Diagnostics","FirstCategoryId":"3","ListUrlMain":"https://doi.org/10.3390/diagnostics15192510","RegionNum":3,"RegionCategory":"医学","ArticlePicture":[],"TitleCN":null,"AbstractTextCN":null,"PMCID":null,"EPubDate":"","PubModel":"","JCR":"Q1","JCRName":"MEDICINE, GENERAL & INTERNAL","Score":null,"Total":0}
引用次数: 0

摘要

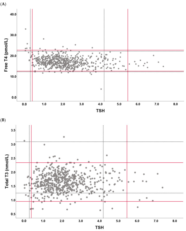
背景/目的:促甲状腺激素(TSH)、游离甲状腺素(FT4)和总三碘甲状腺原氨酸(TT3)是评估甲状腺功能的生物标志物。虽然激素水平受到许多生物和环境因素的影响,但大多数实验室使用制造商提供的参考区间(RIs)而不考虑这些因素。因此,在本研究中,我们使用直接选择技术评估了韩国人群中TSH、FT4和TT3的RIs。方法:对无甲状腺病史、无用药史、无家族史、无抗体阳性检测结果的患者,在查阅病历后采集血清样本。使用Cobas e801分析仪(Roche Diagnostics GmbH, Mannheim, Germany)和专用试剂检测TSH、FT4和TT3水平。然后使用非参数方法建立RIs,使用2.5和97.5%的值作为参考限,然后在验证队列中进行验证。结果:本研究共纳入618名受试者。由于4个亚组按性别和年龄(65岁)划分的参考值分布差异不显著,故确定联合RIs, TSH建立的RIs为0.38 ~ 5.46 mimol /L, FT4建立的RIs为12.28 ~ 22.40 pmol/L, TT3建立的RIs为0.94 ~ 2.32 nmol/L。与制造商声称的RI相比,韩国TSH的RI显示出更高的上限,而TT3的RI显示出更低的上限。此外,当新建立的RIs应用于验证队列时,检测阳性结果的比率显着下降。结论:与制造商声称的值相比,韩国人群中TSH和TT3的RIs显着差异,突出了针对人群的RIs的需求。因此,解释韩国人口的结果需要谨慎,以韩国人口为基础的RIs是必要的。
本文章由计算机程序翻译,如有差异,请以英文原文为准。

The Establishment of Reference Intervals for Thyroid Hormone Tests in the Korean Population: Using a Direct Selection Technique.

The Establishment of Reference Intervals for Thyroid Hormone Tests in the Korean Population: Using a Direct Selection Technique.

The Establishment of Reference Intervals for Thyroid Hormone Tests in the Korean Population: Using a Direct Selection Technique.

The Establishment of Reference Intervals for Thyroid Hormone Tests in the Korean Population: Using a Direct Selection Technique.

Background/Objectives: Thyroid-stimulating hormone (TSH), free thyroxine (FT4), and total triiodothyronine (TT3) are biomarkers for evaluating thyroid function. Although hormone levels are affected by many biological and environmental factors, most laboratories use manufacturer-provided reference intervals (RIs) without considering these factors. Thus, in this study we assessed RIs for TSH, FT4, and TT3 in a Korean population, using a direct selection technique. Methods: Serum samples from patients without a history of thyroid disease, medication, family history, or antibody-positive test results were collected after a review of medical records. TSH, FT4, and TT3 levels were measured using the Cobas e801 analyzer (Roche Diagnostics GmbH, Mannheim, Germany) with dedicated reagents. RIs were then established using a non-parametric method, using values at the 2.5th and 97.5th percentiles as reference limits, which were then verified in a validation cohort. Results: A total of 618 subjects were enrolled in this study. Because the distribution of reference values for the four subgroups divided by sex and age (65 years) showed insignificant differences, combined RIs were determined, with the established RIs being 0.38-5.46 mIU/L for TSH, 12.28-22.40 pmol/L for FT4, and 0.94-2.32 nmol/L for TT3. When compared to manufacturer-claimed RIs, the Korean RI for TSH showed higher upper limits, while that for TT3 showed lower upper limits. Additionally, when newly established RIs were applied to the validation cohort, the rate of test-positive results decreased significantly. Conclusions: Significant differences in RIs for TSH and TT3 in the Korean population, compared to manufacturer-claimed values, highlight the need for population-specific RIs. Thus, interpreting the results for the Korean population requires caution, and Korean population-based RIs are necessary.

求助全文
通过发布文献求助,成功后即可免费获取论文全文。 去求助
来源期刊
Diagnostics
Diagnostics Biochemistry, Genetics and Molecular Biology-Clinical Biochemistry
CiteScore
4.70
自引率
8.30%
发文量
2699
审稿时长
19.64 days
期刊介绍: Diagnostics (ISSN 2075-4418) is an international scholarly open access journal on medical diagnostics. It publishes original research articles, reviews, communications and short notes on the research and development of medical diagnostics. There is no restriction on the length of the papers. Our aim is to encourage scientists to publish their experimental and theoretical research in as much detail as possible. Full experimental and/or methodological details must be provided for research articles.
×
引用
GB/T 7714-2015
复制
MLA
复制
APA
复制
导出至
BibTeX EndNote RefMan NoteFirst NoteExpress
×
提示
您的信息不完整,为了账户安全,请先补充。
现在去补充
×
提示
您因"违规操作"
具体请查看互助需知
我知道了
×
提示
确定
请完成安全验证×
copy
已复制链接
快去分享给好友吧!
我知道了
右上角分享
点击右上角分享
0
联系我们:info@booksci.cn Book学术提供免费学术资源搜索服务,方便国内外学者检索中英文文献。致力于提供最便捷和优质的服务体验。 Copyright © 2023 布克学术 All rights reserved.
京ICP备2023020795号-1
ghs 京公网安备 11010802042870号
Book学术文献互助
Book学术文献互助群
群 号:604180095
Book学术官方微信