特发性和感染引发的特发性炎性肌病相关间质性肺病急性加重的临床特征和预后:初步研究

IF 3.3 3区 医学 Q1 MEDICINE, GENERAL & INTERNAL
Jingping Zhang, Kai Yang, Lingfei Mo, Liyu He, Jiayin Tong, He Hei, Yuting Zhang, Yadan Sheng, Blessed Kondowe, Chenwang Jin
{"title":"特发性和感染引发的特发性炎性肌病相关间质性肺病急性加重的临床特征和预后:初步研究","authors":"Jingping Zhang, Kai Yang, Lingfei Mo, Liyu He, Jiayin Tong, He Hei, Yuting Zhang, Yadan Sheng, Blessed Kondowe, Chenwang Jin","doi":"10.3390/diagnostics15192516","DOIUrl":null,"url":null,"abstract":"<p><p><b>Background</b>: Acute exacerbation (AE) of idiopathic inflammatory myopathy-associated interstitial lung disease (IIM-ILD) is fatal. Infection is one of the most important triggers of the AE of IIM-ILD. We evaluated the clinical features and prognosis of idiopathic (I-AE) and infection-triggered (iT-AE) acute exacerbation in IIM-ILD patients. <b>Methods</b>: We retrospectively reviewed 278 consecutive patients with IIM admitted to our hospital between January 2014 and December 2020. Among them, 69 patients experienced AE of IIM-ILD, including 34 with I-AE and 35 with iT-AE. Clinical features and short- and long-term outcomes were analyzed in this preliminary study. <b>Results</b>: Compared with I-AE, patients with iT-AE presented with lower hemoglobin and PaO<sub>2</sub>/FiO<sub>2</sub> ratios but higher pulse, body temperature, white blood cell count, neutrophil percentage (NEU), C-reactive protein, erythrocyte sedimentation rates, lactate dehydrogenase, and hydroxybutyrate dehydrogenase levels. They also had more extensive ground-glass opacities (GGOs) on high-resolution computed tomography (all <i>p</i> < 0.05). Mortality was significantly higher in iT-AE than that in I-AE at 30 days (28.6% vs. 5.9%), 90 days (34.3% vs. 14.9%), and 1 year (54.3% vs. 17.6%; log-rank test, <i>p</i> = 0.002). Multivariate logistic regression showed that the combination of NEU and GGO extent could help discriminate iT-AE from I-AE (area under the receiver operating characteristic curve: 0.812; 95% confidence interval: 0.711-0.913; sensitivity: 71.4%, specificity: 73.5%, accuracy: 72.5%). <b>Conclusion</b>: This study found that iT-AE patients exhibited more severe hyperinflammation and markedly worse survival than I-AE patients. Combining NEU and GGO extent may assist in differentiating AE subtypes. Larger prospective studies are required to validate these findings.</p>","PeriodicalId":11225,"journal":{"name":"Diagnostics","volume":"15 19","pages":""},"PeriodicalIF":3.3000,"publicationDate":"2025-10-03","publicationTypes":"Journal Article","fieldsOfStudy":null,"isOpenAccess":false,"openAccessPdf":"https://www.ncbi.nlm.nih.gov/pmc/articles/PMC12523335/pdf/","citationCount":"0","resultStr":"{\"title\":\"The Clinical Features and Prognosis of Idiopathic and Infection-Triggered Acute Exacerbation of Idiopathic Inflammatory Myopathy-Associated Interstitial Lung Disease: A Preliminary Study.\",\"authors\":\"Jingping Zhang, Kai Yang, Lingfei Mo, Liyu He, Jiayin Tong, He Hei, Yuting Zhang, Yadan Sheng, Blessed Kondowe, Chenwang Jin\",\"doi\":\"10.3390/diagnostics15192516\",\"DOIUrl\":null,\"url\":null,\"abstract\":\"<p><p><b>Background</b>: Acute exacerbation (AE) of idiopathic inflammatory myopathy-associated interstitial lung disease (IIM-ILD) is fatal. Infection is one of the most important triggers of the AE of IIM-ILD. We evaluated the clinical features and prognosis of idiopathic (I-AE) and infection-triggered (iT-AE) acute exacerbation in IIM-ILD patients. <b>Methods</b>: We retrospectively reviewed 278 consecutive patients with IIM admitted to our hospital between January 2014 and December 2020. Among them, 69 patients experienced AE of IIM-ILD, including 34 with I-AE and 35 with iT-AE. Clinical features and short- and long-term outcomes were analyzed in this preliminary study. <b>Results</b>: Compared with I-AE, patients with iT-AE presented with lower hemoglobin and PaO<sub>2</sub>/FiO<sub>2</sub> ratios but higher pulse, body temperature, white blood cell count, neutrophil percentage (NEU), C-reactive protein, erythrocyte sedimentation rates, lactate dehydrogenase, and hydroxybutyrate dehydrogenase levels. They also had more extensive ground-glass opacities (GGOs) on high-resolution computed tomography (all <i>p</i> < 0.05). Mortality was significantly higher in iT-AE than that in I-AE at 30 days (28.6% vs. 5.9%), 90 days (34.3% vs. 14.9%), and 1 year (54.3% vs. 17.6%; log-rank test, <i>p</i> = 0.002). Multivariate logistic regression showed that the combination of NEU and GGO extent could help discriminate iT-AE from I-AE (area under the receiver operating characteristic curve: 0.812; 95% confidence interval: 0.711-0.913; sensitivity: 71.4%, specificity: 73.5%, accuracy: 72.5%). <b>Conclusion</b>: This study found that iT-AE patients exhibited more severe hyperinflammation and markedly worse survival than I-AE patients. Combining NEU and GGO extent may assist in differentiating AE subtypes. Larger prospective studies are required to validate these findings.</p>\",\"PeriodicalId\":11225,\"journal\":{\"name\":\"Diagnostics\",\"volume\":\"15 19\",\"pages\":\"\"},\"PeriodicalIF\":3.3000,\"publicationDate\":\"2025-10-03\",\"publicationTypes\":\"Journal Article\",\"fieldsOfStudy\":null,\"isOpenAccess\":false,\"openAccessPdf\":\"https://www.ncbi.nlm.nih.gov/pmc/articles/PMC12523335/pdf/\",\"citationCount\":\"0\",\"resultStr\":null,\"platform\":\"Semanticscholar\",\"paperid\":null,\"PeriodicalName\":\"Diagnostics\",\"FirstCategoryId\":\"3\",\"ListUrlMain\":\"https://doi.org/10.3390/diagnostics15192516\",\"RegionNum\":3,\"RegionCategory\":\"医学\",\"ArticlePicture\":[],\"TitleCN\":null,\"AbstractTextCN\":null,\"PMCID\":null,\"EPubDate\":\"\",\"PubModel\":\"\",\"JCR\":\"Q1\",\"JCRName\":\"MEDICINE, GENERAL & INTERNAL\",\"Score\":null,\"Total\":0}","platform":"Semanticscholar","paperid":null,"PeriodicalName":"Diagnostics","FirstCategoryId":"3","ListUrlMain":"https://doi.org/10.3390/diagnostics15192516","RegionNum":3,"RegionCategory":"医学","ArticlePicture":[],"TitleCN":null,"AbstractTextCN":null,"PMCID":null,"EPubDate":"","PubModel":"","JCR":"Q1","JCRName":"MEDICINE, GENERAL & INTERNAL","Score":null,"Total":0}
引用次数: 0

摘要

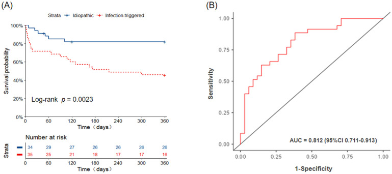
背景:特发性炎性肌病相关间质性肺疾病(IIM-ILD)的急性加重(AE)是致命的。感染是IIM-ILD AE最重要的触发因素之一。我们评估了IIM-ILD患者的特发性(I-AE)和感染引发(iT-AE)急性加重的临床特征和预后。方法:回顾性分析2014年1月至2020年12月在我院连续收治的278例IIM患者。其中IIM-ILD发生AE 69例,其中I-AE 34例,iT-AE 35例。在这项初步研究中分析了临床特征和短期和长期结果。结果:与I-AE相比,iT-AE患者的血红蛋白和PaO2/FiO2比值较低,但脉搏、体温、白细胞计数、中性粒细胞百分比(NEU)、c反应蛋白、红细胞沉降率、乳酸脱氢酶、羟丁酸脱氢酶水平较高。他们在高分辨率计算机断层扫描上也有更广泛的毛玻璃混浊(GGOs)(均p < 0.05)。iT-AE的死亡率在30天(28.6%比5.9%)、90天(34.3%比14.9%)和1年(54.3%比17.6%;log-rank检验,p = 0.002)时显著高于I-AE。多因素logistic回归分析结果显示,NEU和GGO程度的结合有助于区分iT-AE和I-AE(受试者工作特征曲线下面积:0.812;95%可信区间:0.711-0.913;敏感性:71.4%,特异性:73.5%,准确性:72.5%)。结论:本研究发现,与I-AE患者相比,iT-AE患者表现出更严重的过度炎症,生存期明显差。结合NEU和GGO程度可能有助于区分AE亚型。需要更大规模的前瞻性研究来验证这些发现。
本文章由计算机程序翻译,如有差异,请以英文原文为准。

The Clinical Features and Prognosis of Idiopathic and Infection-Triggered Acute Exacerbation of Idiopathic Inflammatory Myopathy-Associated Interstitial Lung Disease: A Preliminary Study.

The Clinical Features and Prognosis of Idiopathic and Infection-Triggered Acute Exacerbation of Idiopathic Inflammatory Myopathy-Associated Interstitial Lung Disease: A Preliminary Study.

The Clinical Features and Prognosis of Idiopathic and Infection-Triggered Acute Exacerbation of Idiopathic Inflammatory Myopathy-Associated Interstitial Lung Disease: A Preliminary Study.

The Clinical Features and Prognosis of Idiopathic and Infection-Triggered Acute Exacerbation of Idiopathic Inflammatory Myopathy-Associated Interstitial Lung Disease: A Preliminary Study.

Background: Acute exacerbation (AE) of idiopathic inflammatory myopathy-associated interstitial lung disease (IIM-ILD) is fatal. Infection is one of the most important triggers of the AE of IIM-ILD. We evaluated the clinical features and prognosis of idiopathic (I-AE) and infection-triggered (iT-AE) acute exacerbation in IIM-ILD patients. Methods: We retrospectively reviewed 278 consecutive patients with IIM admitted to our hospital between January 2014 and December 2020. Among them, 69 patients experienced AE of IIM-ILD, including 34 with I-AE and 35 with iT-AE. Clinical features and short- and long-term outcomes were analyzed in this preliminary study. Results: Compared with I-AE, patients with iT-AE presented with lower hemoglobin and PaO2/FiO2 ratios but higher pulse, body temperature, white blood cell count, neutrophil percentage (NEU), C-reactive protein, erythrocyte sedimentation rates, lactate dehydrogenase, and hydroxybutyrate dehydrogenase levels. They also had more extensive ground-glass opacities (GGOs) on high-resolution computed tomography (all p < 0.05). Mortality was significantly higher in iT-AE than that in I-AE at 30 days (28.6% vs. 5.9%), 90 days (34.3% vs. 14.9%), and 1 year (54.3% vs. 17.6%; log-rank test, p = 0.002). Multivariate logistic regression showed that the combination of NEU and GGO extent could help discriminate iT-AE from I-AE (area under the receiver operating characteristic curve: 0.812; 95% confidence interval: 0.711-0.913; sensitivity: 71.4%, specificity: 73.5%, accuracy: 72.5%). Conclusion: This study found that iT-AE patients exhibited more severe hyperinflammation and markedly worse survival than I-AE patients. Combining NEU and GGO extent may assist in differentiating AE subtypes. Larger prospective studies are required to validate these findings.

求助全文
通过发布文献求助,成功后即可免费获取论文全文。 去求助
来源期刊
Diagnostics
Diagnostics Biochemistry, Genetics and Molecular Biology-Clinical Biochemistry
CiteScore
4.70
自引率
8.30%
发文量
2699
审稿时长
19.64 days
期刊介绍: Diagnostics (ISSN 2075-4418) is an international scholarly open access journal on medical diagnostics. It publishes original research articles, reviews, communications and short notes on the research and development of medical diagnostics. There is no restriction on the length of the papers. Our aim is to encourage scientists to publish their experimental and theoretical research in as much detail as possible. Full experimental and/or methodological details must be provided for research articles.
×
引用
GB/T 7714-2015
复制
MLA
复制
APA
复制
导出至
BibTeX EndNote RefMan NoteFirst NoteExpress
×
提示
您的信息不完整,为了账户安全,请先补充。
现在去补充
×
提示
您因"违规操作"
具体请查看互助需知
我知道了
×
提示
确定
请完成安全验证×
copy
已复制链接
快去分享给好友吧!
我知道了
右上角分享
点击右上角分享
0
联系我们:info@booksci.cn Book学术提供免费学术资源搜索服务,方便国内外学者检索中英文文献。致力于提供最便捷和优质的服务体验。 Copyright © 2023 布克学术 All rights reserved.
京ICP备2023020795号-1
ghs 京公网安备 11010802042870号
Book学术文献互助
Book学术文献互助群
群 号:604180095
Book学术官方微信