肝硬化机械通气患者拔管失败的发生率和结局:一项前瞻性多中心研究的事后分析。

IF 5.5 1区 医学 Q1 CRITICAL CARE MEDICINE
Yassir Aarab, Joris Pensier, Fanny Garnier, Clement Monet, Ines Lakbar, Gerald Chanques, Audrey de Jong, Mathieu Capdevila, Samir Jaber
{"title":"肝硬化机械通气患者拔管失败的发生率和结局:一项前瞻性多中心研究的事后分析。","authors":"Yassir Aarab, Joris Pensier, Fanny Garnier, Clement Monet, Ines Lakbar, Gerald Chanques, Audrey de Jong, Mathieu Capdevila, Samir Jaber","doi":"10.1186/s13613-025-01576-3","DOIUrl":null,"url":null,"abstract":"<p><strong>Background: </strong>Patients with comorbidities who are liberated from invasive mechanical ventilation could be at risk of extubation failure in the intensive care unit (ICU). Incidence and associated outcomes of reintubation in patients with cirrhosis have been poorly studied. We aimed to evaluate the incidence, causes and mortality of reintubation in patients with cirrhosis.</p><p><strong>Methods: </strong>We conducted a post hoc analysis of the French prospective multicenter observational trial (FREE-REA) evaluating the incidence and risk factors of extubation failure in 26 ICUs. The primary outcome was the incidence of extubation failure defined as the need for reintubation within 7 days after extubation. Secondary outcomes were the incidence of reintubation at 48 h, the causes and risk factors of extubation failure, ICU length of stay and in-hospital mortality. We compared patients with cirrhosis and patients without cirrhosis.</p><p><strong>Results: </strong>Of the 1,443 analyzed patients, 165 (11%) had cirrhosis. The incidence of reintubation within 7 days was 21% (34/165) in patients with cirrhosis and 13% (167/1278) in patients without cirrhosis (p < 0.01). Reintubation at 48 h was not significantly different between patients with cirrhosis and patients without cirrhosis (9% versus 10%, p = 0.55). Admission for shock was identified as the only independent risk factor for extubation failure in multivariate analysis [OR 3.24, 95% CI (1.24-8.44), p = 0.02]. In patients with extubation failure, ICU length of stay was significantly longer in patients with cirrhosis compared to those without (28 ± 25 versus 18 ± 12 days, p < 0.01); In-hospital mortality was higher in extubation failure patients with cirrhosis in comparison to patients without cirrhosis without reaching significance (16/34 (47%) versus 51/167 (31%), p = 0.06).</p><p><strong>Conclusion: </strong>Extubation failure was significantly higher in patients with cirrhosis compared to patients without cirrhosis. A trend for higher in-hospital mortality was observed in reintubatedpatients with cirrhosis. Neurologic failure was the main cause for reintubation at 48 h in patients with cirrhosis.</p><p><strong>Clinical trials: </strong>The study was registered on clinicaltrials.gov (identifier no. NCT02450669). Registered 01/12/2013.</p>","PeriodicalId":7966,"journal":{"name":"Annals of Intensive Care","volume":"15 1","pages":"160"},"PeriodicalIF":5.5000,"publicationDate":"2025-10-16","publicationTypes":"Journal Article","fieldsOfStudy":null,"isOpenAccess":false,"openAccessPdf":"https://www.ncbi.nlm.nih.gov/pmc/articles/PMC12532547/pdf/","citationCount":"0","resultStr":"{\"title\":\"Incidence and outcomes of extubation failure in mechanically ventilated patients with cirrhosis: a post-hoc analysis of a prospective multicenter study.\",\"authors\":\"Yassir Aarab, Joris Pensier, Fanny Garnier, Clement Monet, Ines Lakbar, Gerald Chanques, Audrey de Jong, Mathieu Capdevila, Samir Jaber\",\"doi\":\"10.1186/s13613-025-01576-3\",\"DOIUrl\":null,\"url\":null,\"abstract\":\"<p><strong>Background: </strong>Patients with comorbidities who are liberated from invasive mechanical ventilation could be at risk of extubation failure in the intensive care unit (ICU). Incidence and associated outcomes of reintubation in patients with cirrhosis have been poorly studied. We aimed to evaluate the incidence, causes and mortality of reintubation in patients with cirrhosis.</p><p><strong>Methods: </strong>We conducted a post hoc analysis of the French prospective multicenter observational trial (FREE-REA) evaluating the incidence and risk factors of extubation failure in 26 ICUs. The primary outcome was the incidence of extubation failure defined as the need for reintubation within 7 days after extubation. Secondary outcomes were the incidence of reintubation at 48 h, the causes and risk factors of extubation failure, ICU length of stay and in-hospital mortality. We compared patients with cirrhosis and patients without cirrhosis.</p><p><strong>Results: </strong>Of the 1,443 analyzed patients, 165 (11%) had cirrhosis. The incidence of reintubation within 7 days was 21% (34/165) in patients with cirrhosis and 13% (167/1278) in patients without cirrhosis (p < 0.01). Reintubation at 48 h was not significantly different between patients with cirrhosis and patients without cirrhosis (9% versus 10%, p = 0.55). Admission for shock was identified as the only independent risk factor for extubation failure in multivariate analysis [OR 3.24, 95% CI (1.24-8.44), p = 0.02]. In patients with extubation failure, ICU length of stay was significantly longer in patients with cirrhosis compared to those without (28 ± 25 versus 18 ± 12 days, p < 0.01); In-hospital mortality was higher in extubation failure patients with cirrhosis in comparison to patients without cirrhosis without reaching significance (16/34 (47%) versus 51/167 (31%), p = 0.06).</p><p><strong>Conclusion: </strong>Extubation failure was significantly higher in patients with cirrhosis compared to patients without cirrhosis. A trend for higher in-hospital mortality was observed in reintubatedpatients with cirrhosis. Neurologic failure was the main cause for reintubation at 48 h in patients with cirrhosis.</p><p><strong>Clinical trials: </strong>The study was registered on clinicaltrials.gov (identifier no. NCT02450669). Registered 01/12/2013.</p>\",\"PeriodicalId\":7966,\"journal\":{\"name\":\"Annals of Intensive Care\",\"volume\":\"15 1\",\"pages\":\"160\"},\"PeriodicalIF\":5.5000,\"publicationDate\":\"2025-10-16\",\"publicationTypes\":\"Journal Article\",\"fieldsOfStudy\":null,\"isOpenAccess\":false,\"openAccessPdf\":\"https://www.ncbi.nlm.nih.gov/pmc/articles/PMC12532547/pdf/\",\"citationCount\":\"0\",\"resultStr\":null,\"platform\":\"Semanticscholar\",\"paperid\":null,\"PeriodicalName\":\"Annals of Intensive Care\",\"FirstCategoryId\":\"3\",\"ListUrlMain\":\"https://doi.org/10.1186/s13613-025-01576-3\",\"RegionNum\":1,\"RegionCategory\":\"医学\",\"ArticlePicture\":[],\"TitleCN\":null,\"AbstractTextCN\":null,\"PMCID\":null,\"EPubDate\":\"\",\"PubModel\":\"\",\"JCR\":\"Q1\",\"JCRName\":\"CRITICAL CARE MEDICINE\",\"Score\":null,\"Total\":0}","platform":"Semanticscholar","paperid":null,"PeriodicalName":"Annals of Intensive Care","FirstCategoryId":"3","ListUrlMain":"https://doi.org/10.1186/s13613-025-01576-3","RegionNum":1,"RegionCategory":"医学","ArticlePicture":[],"TitleCN":null,"AbstractTextCN":null,"PMCID":null,"EPubDate":"","PubModel":"","JCR":"Q1","JCRName":"CRITICAL CARE MEDICINE","Score":null,"Total":0}
引用次数: 0

摘要

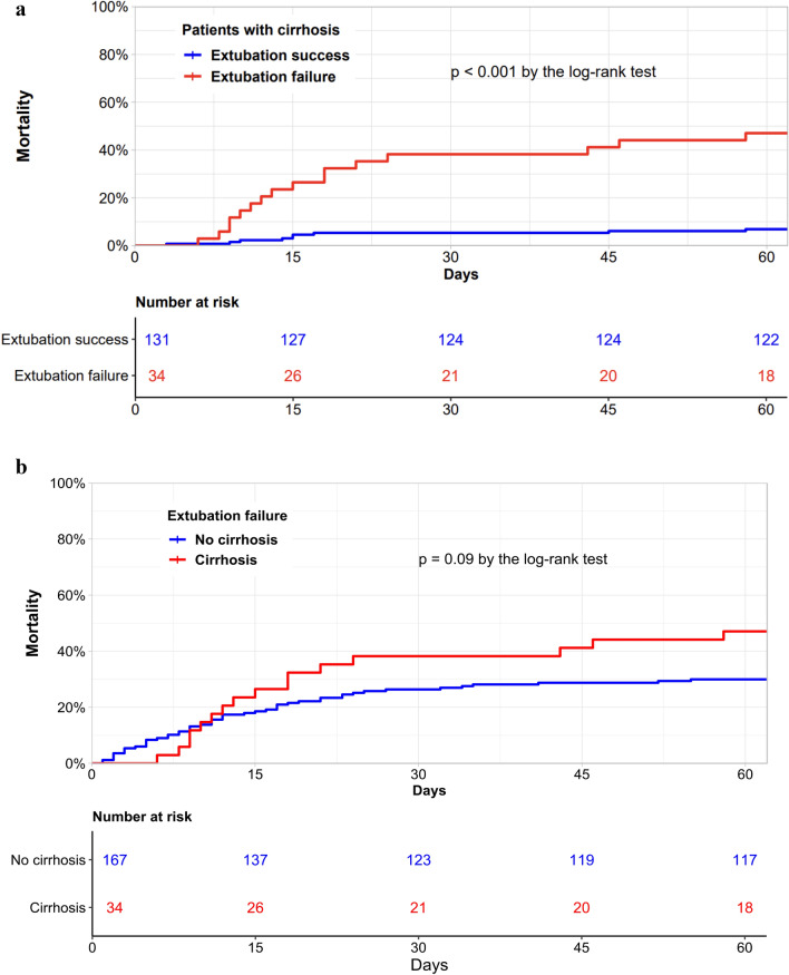
背景:在重症监护病房(ICU)中脱离有创机械通气的合并症患者可能存在拔管失败的风险。肝硬化患者再插管的发生率和相关结果的研究很少。我们的目的是评估肝硬化患者再插管的发生率、原因和死亡率。方法:我们对法国前瞻性多中心观察性试验(FREE-REA)进行事后分析,评估26例icu拔管失败的发生率和危险因素。主要结局是拔管失败的发生率,定义为拔管后7天内需要重新插管。次要结局为48 h再插管发生率、拔管失败的原因及危险因素、ICU住院时间和住院死亡率。我们比较了肝硬化患者和非肝硬化患者。结果:在分析的1443例患者中,165例(11%)有肝硬化。肝硬化患者7天内再次插管的发生率为21%(34/165),无肝硬化患者为13% (167/1278)(p结论:肝硬化患者拔管失败明显高于无肝硬化患者。在重新插管的肝硬化患者中观察到较高的住院死亡率趋势。肝硬化患者48小时再插管的主要原因是神经功能衰竭。临床试验:该研究已在clinicaltrials.gov上注册(识别码:NCT02450669)。01/12/2013注册。
本文章由计算机程序翻译,如有差异,请以英文原文为准。

Incidence and outcomes of extubation failure in mechanically ventilated patients with cirrhosis: a post-hoc analysis of a prospective multicenter study.

Incidence and outcomes of extubation failure in mechanically ventilated patients with cirrhosis: a post-hoc analysis of a prospective multicenter study.

Incidence and outcomes of extubation failure in mechanically ventilated patients with cirrhosis: a post-hoc analysis of a prospective multicenter study.

Background: Patients with comorbidities who are liberated from invasive mechanical ventilation could be at risk of extubation failure in the intensive care unit (ICU). Incidence and associated outcomes of reintubation in patients with cirrhosis have been poorly studied. We aimed to evaluate the incidence, causes and mortality of reintubation in patients with cirrhosis.

Methods: We conducted a post hoc analysis of the French prospective multicenter observational trial (FREE-REA) evaluating the incidence and risk factors of extubation failure in 26 ICUs. The primary outcome was the incidence of extubation failure defined as the need for reintubation within 7 days after extubation. Secondary outcomes were the incidence of reintubation at 48 h, the causes and risk factors of extubation failure, ICU length of stay and in-hospital mortality. We compared patients with cirrhosis and patients without cirrhosis.

Results: Of the 1,443 analyzed patients, 165 (11%) had cirrhosis. The incidence of reintubation within 7 days was 21% (34/165) in patients with cirrhosis and 13% (167/1278) in patients without cirrhosis (p < 0.01). Reintubation at 48 h was not significantly different between patients with cirrhosis and patients without cirrhosis (9% versus 10%, p = 0.55). Admission for shock was identified as the only independent risk factor for extubation failure in multivariate analysis [OR 3.24, 95% CI (1.24-8.44), p = 0.02]. In patients with extubation failure, ICU length of stay was significantly longer in patients with cirrhosis compared to those without (28 ± 25 versus 18 ± 12 days, p < 0.01); In-hospital mortality was higher in extubation failure patients with cirrhosis in comparison to patients without cirrhosis without reaching significance (16/34 (47%) versus 51/167 (31%), p = 0.06).

Conclusion: Extubation failure was significantly higher in patients with cirrhosis compared to patients without cirrhosis. A trend for higher in-hospital mortality was observed in reintubatedpatients with cirrhosis. Neurologic failure was the main cause for reintubation at 48 h in patients with cirrhosis.

Clinical trials: The study was registered on clinicaltrials.gov (identifier no. NCT02450669). Registered 01/12/2013.

求助全文
通过发布文献求助,成功后即可免费获取论文全文。 去求助
来源期刊
Annals of Intensive Care
Annals of Intensive Care CRITICAL CARE MEDICINE-
CiteScore
14.20
自引率
3.70%
发文量
107
审稿时长
13 weeks
期刊介绍: Annals of Intensive Care is an online peer-reviewed journal that publishes high-quality review articles and original research papers in the field of intensive care medicine. It targets critical care providers including attending physicians, fellows, residents, nurses, and physiotherapists, who aim to enhance their knowledge and provide optimal care for their patients. The journal's articles are included in various prestigious databases such as CAS, Current contents, DOAJ, Embase, Journal Citation Reports/Science Edition, OCLC, PubMed, PubMed Central, Science Citation Index Expanded, SCOPUS, and Summon by Serial Solutions.
×
引用
GB/T 7714-2015
复制
MLA
复制
APA
复制
导出至
BibTeX EndNote RefMan NoteFirst NoteExpress
×
提示
您的信息不完整,为了账户安全,请先补充。
现在去补充
×
提示
您因"违规操作"
具体请查看互助需知
我知道了
×
提示
确定
请完成安全验证×
copy
已复制链接
快去分享给好友吧!
我知道了
右上角分享
点击右上角分享
0
联系我们:info@booksci.cn Book学术提供免费学术资源搜索服务,方便国内外学者检索中英文文献。致力于提供最便捷和优质的服务体验。 Copyright © 2023 布克学术 All rights reserved.
京ICP备2023020795号-1
ghs 京公网安备 11010802042870号
Book学术文献互助
Book学术文献互助群
群 号:604180095
Book学术官方微信