印度尼西亚果子狸咖啡生产中罗布斯塔樱桃咖啡喂养果子狸排泄物的微生物群落。

IF 1.5 Q3 AGRICULTURE, DAIRY & ANIMAL SCIENCE
Journal of Advanced Veterinary and Animal Research Pub Date : 2025-06-02 eCollection Date: 2025-06-01 DOI:10.5455/javar.2025.l921
Sri Winarsih, Uswatun Hasanah, Lilis Nuraida, Nuri Andarwulan, Wisnu Ananta Kusuma
{"title":"印度尼西亚果子狸咖啡生产中罗布斯塔樱桃咖啡喂养果子狸排泄物的微生物群落。","authors":"Sri Winarsih, Uswatun Hasanah, Lilis Nuraida, Nuri Andarwulan, Wisnu Ananta Kusuma","doi":"10.5455/javar.2025.l921","DOIUrl":null,"url":null,"abstract":"<p><strong>Objectives: </strong>Kopi luwak (civet coffee) is produced through a fermentation process in the digestive system of civets. This study aims to investigate the diversity of microorganisms in Indonesian civet excreta fed with robusta coffee cherries.</p><p><strong>Materials and methods: </strong>Six excreta samples were collected from male and female Indonesian civets of three species: binturong (<i>Arctictis binturong</i>), Asian palm civet (<i>Paradoxurus hermaphroditus)</i>, and masked palm civet (<i>Paguma larvata).</i> Microbial diversity was analyzed using next-generation sequencing.</p><p><strong>Results: </strong>Based on alpha and beta diversity analysis, the microbial community in civet excreta differs. Microbes found in the excreta of male <i>P. hermaphroditus</i> (PH-M) were the most diverse. Microbes were identified in the bacterial and yeast domains. The relative abundance of bacteria was higher than yeast. The occurrence of non-pathogenic bacteria (50.76%-90.51%) was higher than pathogens (9.49%-41.24%). The dominant bacteria in the excreta of all civets were <i>Escherichia coli</i> (15.98%-54.68%). Although not dominant microorganisms, lactic acid bacteria (LAB) and yeast are present in civet excreta. The LAB present in the range from 0.16% to 32.14%, with the most abundant LAB being <i>Streptococcus pasteurianus</i>, <i>Weissella confusa</i>, and <i>W</i>. <i>cibaria.</i> Meanwhile, the identified yeasts were <i>Hanseniaspora opuntiae</i> and <i>H</i>. <i>uvarum</i>. Pathogenic bacteria, both spore-forming and non-spore-forming, were also present in civet excreta. The virulence factors and antimicrobial resistance gene cluster were detected.</p><p><strong>Conclusion: </strong>The microbial diversity of Indonesian civet excreta is influenced by species and sex. PH-M contains the most diverse microbes. The presence of foodborne pathogens in civet excreta may be carried over into the beans, and hence, further processing of the beans should assure the safety of the beans.</p>","PeriodicalId":14892,"journal":{"name":"Journal of Advanced Veterinary and Animal Research","volume":"12 2","pages":"565-581"},"PeriodicalIF":1.5000,"publicationDate":"2025-06-02","publicationTypes":"Journal Article","fieldsOfStudy":null,"isOpenAccess":false,"openAccessPdf":"https://www.ncbi.nlm.nih.gov/pmc/articles/PMC12506766/pdf/","citationCount":"0","resultStr":"{\"title\":\"Microbial community of civet excreta fed by robusta cherry coffee in Indonesian civet coffee production.\",\"authors\":\"Sri Winarsih, Uswatun Hasanah, Lilis Nuraida, Nuri Andarwulan, Wisnu Ananta Kusuma\",\"doi\":\"10.5455/javar.2025.l921\",\"DOIUrl\":null,\"url\":null,\"abstract\":\"<p><strong>Objectives: </strong>Kopi luwak (civet coffee) is produced through a fermentation process in the digestive system of civets. This study aims to investigate the diversity of microorganisms in Indonesian civet excreta fed with robusta coffee cherries.</p><p><strong>Materials and methods: </strong>Six excreta samples were collected from male and female Indonesian civets of three species: binturong (<i>Arctictis binturong</i>), Asian palm civet (<i>Paradoxurus hermaphroditus)</i>, and masked palm civet (<i>Paguma larvata).</i> Microbial diversity was analyzed using next-generation sequencing.</p><p><strong>Results: </strong>Based on alpha and beta diversity analysis, the microbial community in civet excreta differs. Microbes found in the excreta of male <i>P. hermaphroditus</i> (PH-M) were the most diverse. Microbes were identified in the bacterial and yeast domains. The relative abundance of bacteria was higher than yeast. The occurrence of non-pathogenic bacteria (50.76%-90.51%) was higher than pathogens (9.49%-41.24%). The dominant bacteria in the excreta of all civets were <i>Escherichia coli</i> (15.98%-54.68%). Although not dominant microorganisms, lactic acid bacteria (LAB) and yeast are present in civet excreta. The LAB present in the range from 0.16% to 32.14%, with the most abundant LAB being <i>Streptococcus pasteurianus</i>, <i>Weissella confusa</i>, and <i>W</i>. <i>cibaria.</i> Meanwhile, the identified yeasts were <i>Hanseniaspora opuntiae</i> and <i>H</i>. <i>uvarum</i>. Pathogenic bacteria, both spore-forming and non-spore-forming, were also present in civet excreta. The virulence factors and antimicrobial resistance gene cluster were detected.</p><p><strong>Conclusion: </strong>The microbial diversity of Indonesian civet excreta is influenced by species and sex. PH-M contains the most diverse microbes. The presence of foodborne pathogens in civet excreta may be carried over into the beans, and hence, further processing of the beans should assure the safety of the beans.</p>\",\"PeriodicalId\":14892,\"journal\":{\"name\":\"Journal of Advanced Veterinary and Animal Research\",\"volume\":\"12 2\",\"pages\":\"565-581\"},\"PeriodicalIF\":1.5000,\"publicationDate\":\"2025-06-02\",\"publicationTypes\":\"Journal Article\",\"fieldsOfStudy\":null,\"isOpenAccess\":false,\"openAccessPdf\":\"https://www.ncbi.nlm.nih.gov/pmc/articles/PMC12506766/pdf/\",\"citationCount\":\"0\",\"resultStr\":null,\"platform\":\"Semanticscholar\",\"paperid\":null,\"PeriodicalName\":\"Journal of Advanced Veterinary and Animal Research\",\"FirstCategoryId\":\"1085\",\"ListUrlMain\":\"https://doi.org/10.5455/javar.2025.l921\",\"RegionNum\":0,\"RegionCategory\":null,\"ArticlePicture\":[],\"TitleCN\":null,\"AbstractTextCN\":null,\"PMCID\":null,\"EPubDate\":\"2025/6/1 0:00:00\",\"PubModel\":\"eCollection\",\"JCR\":\"Q3\",\"JCRName\":\"AGRICULTURE, DAIRY & ANIMAL SCIENCE\",\"Score\":null,\"Total\":0}","platform":"Semanticscholar","paperid":null,"PeriodicalName":"Journal of Advanced Veterinary and Animal Research","FirstCategoryId":"1085","ListUrlMain":"https://doi.org/10.5455/javar.2025.l921","RegionNum":0,"RegionCategory":null,"ArticlePicture":[],"TitleCN":null,"AbstractTextCN":null,"PMCID":null,"EPubDate":"2025/6/1 0:00:00","PubModel":"eCollection","JCR":"Q3","JCRName":"AGRICULTURE, DAIRY & ANIMAL SCIENCE","Score":null,"Total":0}
引用次数: 0

摘要

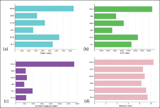
目的:麝香猫咖啡(麝香猫咖啡)是通过在麝香猫的消化系统发酵过程生产的。本研究旨在探讨罗布斯塔咖啡樱桃喂养印尼果子狸排泄物中微生物的多样性。材料与方法:收集了熊狸(Arctictis binturong)、亚洲棕榈果子狸(Paradoxurus hermaphroditus)和果子狸(Paguma larvata) 3种雄性和雌性印度尼西亚果子狸的6份排泄物样本。利用新一代测序技术分析微生物多样性。结果:基于α和β多样性分析,果子狸排泄物中微生物群落存在差异。雄性雌雄同体(P. hermaphroditus, PH-M)排泄物中发现的微生物种类最多。在细菌和酵母结构域中鉴定出微生物。细菌的相对丰度高于酵母。非致病菌发生率(50.76% ~ 90.51%)高于致病菌发生率(9.49% ~ 41.24%)。所有果子狸粪便中的优势菌均为大肠杆菌(15.98% ~ 54.68%)。虽然不是优势微生物,乳酸菌(LAB)和酵母存在于果子狸排泄物中。LAB含量在0.16% ~ 32.14%之间,其中以巴氏链球菌(Streptococcus pasteuranus)、魏氏菌(Weissella confusa)和西巴利瓦氏菌(W. cibaria)含量最多。同时,鉴定出的酵母菌为机会酵母菌(Hanseniaspora opuntiae)和uvarum。致病细菌,孢子形成和非孢子形成,也存在于果子狸排泄物。检测毒力因子和耐药基因簇。结论:麝香猫粪便微生物多样性受物种和性别的影响。PH-M含有最多样化的微生物。果子狸粪便中存在的食源性病原体可能会进入豆类,因此,对豆类进行进一步加工应确保豆类的安全。
本文章由计算机程序翻译,如有差异,请以英文原文为准。

Microbial community of civet excreta fed by robusta cherry coffee in Indonesian civet coffee production.

Microbial community of civet excreta fed by robusta cherry coffee in Indonesian civet coffee production.

Microbial community of civet excreta fed by robusta cherry coffee in Indonesian civet coffee production.

Microbial community of civet excreta fed by robusta cherry coffee in Indonesian civet coffee production.

Objectives: Kopi luwak (civet coffee) is produced through a fermentation process in the digestive system of civets. This study aims to investigate the diversity of microorganisms in Indonesian civet excreta fed with robusta coffee cherries.

Materials and methods: Six excreta samples were collected from male and female Indonesian civets of three species: binturong (Arctictis binturong), Asian palm civet (Paradoxurus hermaphroditus), and masked palm civet (Paguma larvata). Microbial diversity was analyzed using next-generation sequencing.

Results: Based on alpha and beta diversity analysis, the microbial community in civet excreta differs. Microbes found in the excreta of male P. hermaphroditus (PH-M) were the most diverse. Microbes were identified in the bacterial and yeast domains. The relative abundance of bacteria was higher than yeast. The occurrence of non-pathogenic bacteria (50.76%-90.51%) was higher than pathogens (9.49%-41.24%). The dominant bacteria in the excreta of all civets were Escherichia coli (15.98%-54.68%). Although not dominant microorganisms, lactic acid bacteria (LAB) and yeast are present in civet excreta. The LAB present in the range from 0.16% to 32.14%, with the most abundant LAB being Streptococcus pasteurianus, Weissella confusa, and W. cibaria. Meanwhile, the identified yeasts were Hanseniaspora opuntiae and H. uvarum. Pathogenic bacteria, both spore-forming and non-spore-forming, were also present in civet excreta. The virulence factors and antimicrobial resistance gene cluster were detected.

Conclusion: The microbial diversity of Indonesian civet excreta is influenced by species and sex. PH-M contains the most diverse microbes. The presence of foodborne pathogens in civet excreta may be carried over into the beans, and hence, further processing of the beans should assure the safety of the beans.

求助全文
通过发布文献求助,成功后即可免费获取论文全文。 去求助
来源期刊
CiteScore
2.70
自引率
7.10%
发文量
41
审稿时长
6 weeks
期刊介绍: Journal of Advanced Veterinary and Animal Research (JAVAR) - is an open access, international, peer-reviewed, quarterly, highly-indexed scientific journal publishing original research findings and reviews on all aspects of veterinary and animal sciences. Basic and applied researches on- - Anatomy & histology - Animal health economics - Animal nutrition - Animal reproduction - Animal science - Antimicrobial resistance (AMR) - Biochemistry - Biotechnology - Dairy science - Epidemiology - Food hygiene and technology - Genetics and breeding - Immunology - Microbiology - Parasitology - Pathology - Pharmacology & toxicology - Physiology - Poultry science - Preventive veterinary medicine - Public health - Surgery & obstetrics - Veterinary extension studies - Wildlife & aquatic medicine - Zoo animal medicine.
×
引用
GB/T 7714-2015
复制
MLA
复制
APA
复制
导出至
BibTeX EndNote RefMan NoteFirst NoteExpress
×
提示
您的信息不完整,为了账户安全,请先补充。
现在去补充
×
提示
您因"违规操作"
具体请查看互助需知
我知道了
×
提示
确定
请完成安全验证×
copy
已复制链接
快去分享给好友吧!
我知道了
右上角分享
点击右上角分享
0
联系我们:info@booksci.cn Book学术提供免费学术资源搜索服务,方便国内外学者检索中英文文献。致力于提供最便捷和优质的服务体验。 Copyright © 2023 布克学术 All rights reserved.
京ICP备2023020795号-1
ghs 京公网安备 11010802042870号
Book学术文献互助
Book学术文献互助群
群 号:604180095
Book学术官方微信