早期生活暴露与成年期血液恶性肿瘤风险:一项队列研究、荟萃分析和孟德尔随机化分析。

IF 3.4 2区 医学 Q2 ONCOLOGY
Yuelin Guo, Jing Zheng, Hongli Huang, Lili Pan, Haomin Yang
{"title":"早期生活暴露与成年期血液恶性肿瘤风险:一项队列研究、荟萃分析和孟德尔随机化分析。","authors":"Yuelin Guo, Jing Zheng, Hongli Huang, Lili Pan, Haomin Yang","doi":"10.1186/s12885-025-14780-y","DOIUrl":null,"url":null,"abstract":"","PeriodicalId":9131,"journal":{"name":"BMC Cancer","volume":"25 1","pages":"1532"},"PeriodicalIF":3.4000,"publicationDate":"2025-10-08","publicationTypes":"Journal Article","fieldsOfStudy":null,"isOpenAccess":false,"openAccessPdf":"https://www.ncbi.nlm.nih.gov/pmc/articles/PMC12506295/pdf/","citationCount":"0","resultStr":"{\"title\":\"Early-life exposures and risk of hematological malignancies in adulthood: a cohort study, meta-analysis and Mendelian randomization analysis.\",\"authors\":\"Yuelin Guo, Jing Zheng, Hongli Huang, Lili Pan, Haomin Yang\",\"doi\":\"10.1186/s12885-025-14780-y\",\"DOIUrl\":null,\"url\":null,\"abstract\":\"\",\"PeriodicalId\":9131,\"journal\":{\"name\":\"BMC Cancer\",\"volume\":\"25 1\",\"pages\":\"1532\"},\"PeriodicalIF\":3.4000,\"publicationDate\":\"2025-10-08\",\"publicationTypes\":\"Journal Article\",\"fieldsOfStudy\":null,\"isOpenAccess\":false,\"openAccessPdf\":\"https://www.ncbi.nlm.nih.gov/pmc/articles/PMC12506295/pdf/\",\"citationCount\":\"0\",\"resultStr\":null,\"platform\":\"Semanticscholar\",\"paperid\":null,\"PeriodicalName\":\"BMC Cancer\",\"FirstCategoryId\":\"3\",\"ListUrlMain\":\"https://doi.org/10.1186/s12885-025-14780-y\",\"RegionNum\":2,\"RegionCategory\":\"医学\",\"ArticlePicture\":[],\"TitleCN\":null,\"AbstractTextCN\":null,\"PMCID\":null,\"EPubDate\":\"\",\"PubModel\":\"\",\"JCR\":\"Q2\",\"JCRName\":\"ONCOLOGY\",\"Score\":null,\"Total\":0}","platform":"Semanticscholar","paperid":null,"PeriodicalName":"BMC Cancer","FirstCategoryId":"3","ListUrlMain":"https://doi.org/10.1186/s12885-025-14780-y","RegionNum":2,"RegionCategory":"医学","ArticlePicture":[],"TitleCN":null,"AbstractTextCN":null,"PMCID":null,"EPubDate":"","PubModel":"","JCR":"Q2","JCRName":"ONCOLOGY","Score":null,"Total":0}
引用次数: 0

摘要

本文章由计算机程序翻译,如有差异,请以英文原文为准。

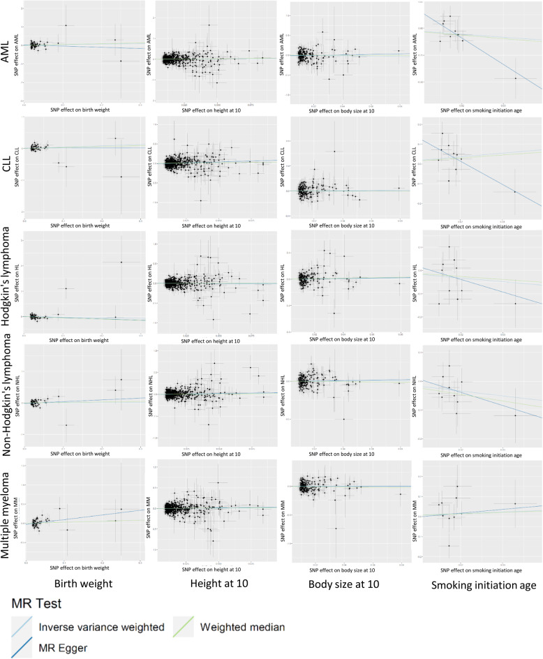
Early-life exposures and risk of hematological malignancies in adulthood: a cohort study, meta-analysis and Mendelian randomization analysis.

Early-life exposures and risk of hematological malignancies in adulthood: a cohort study, meta-analysis and Mendelian randomization analysis.

Early-life exposures and risk of hematological malignancies in adulthood: a cohort study, meta-analysis and Mendelian randomization analysis.
求助全文
通过发布文献求助,成功后即可免费获取论文全文。 去求助
来源期刊
BMC Cancer
BMC Cancer 医学-肿瘤学
CiteScore
6.00
自引率
2.60%
发文量
1204
审稿时长
6.8 months
期刊介绍: BMC Cancer is an open access, peer-reviewed journal that considers articles on all aspects of cancer research, including the pathophysiology, prevention, diagnosis and treatment of cancers. The journal welcomes submissions concerning molecular and cellular biology, genetics, epidemiology, and clinical trials.
×
引用
GB/T 7714-2015
复制
MLA
复制
APA
复制
导出至
BibTeX EndNote RefMan NoteFirst NoteExpress
×
提示
您的信息不完整,为了账户安全,请先补充。
现在去补充
×
提示
您因"违规操作"
具体请查看互助需知
我知道了
×
提示
确定
请完成安全验证×
copy
已复制链接
快去分享给好友吧!
我知道了
右上角分享
点击右上角分享
0
联系我们:info@booksci.cn Book学术提供免费学术资源搜索服务,方便国内外学者检索中英文文献。致力于提供最便捷和优质的服务体验。 Copyright © 2023 布克学术 All rights reserved.
京ICP备2023020795号-1
ghs 京公网安备 11010802042870号
Book学术文献互助
Book学术文献互助群
群 号:604180095
Book学术官方微信