日光照射日记和红细胞生成原生卟啉影响问卷(EPIQ)的验证。

IF 3.5 2区 医学 Q2 GENETICS & HEREDITY
Hetanshi Naik, Susan D Mathias, Michelle P Turner, Megan O'Grady, Chelsea Norregaard, Hilary H Colwell, William Savage, Melanie Chin
{"title":"日光照射日记和红细胞生成原生卟啉影响问卷(EPIQ)的验证。","authors":"Hetanshi Naik, Susan D Mathias, Michelle P Turner, Megan O'Grady, Chelsea Norregaard, Hilary H Colwell, William Savage, Melanie Chin","doi":"10.1186/s13023-025-04012-8","DOIUrl":null,"url":null,"abstract":"<p><strong>Background: </strong>Erythropoietic protoporphyria (EPP) and X-linked protoporphyria (XLP) are rare disorders that can negatively affect one's health-related quality of life (HRQoL) because of pain from phototoxic reactions and the avoidance of sun exposure that is recommended. There is a need for reliable and valid patient-reported outcome measures (PROMs) that address all aspects of EPP/XLP, including symptoms and impacts. Our objective was to assess 2 recently developed PROMs, the Sunlight Exposure Diary and the EPP Impact Questionnaire (EPIQ), to determine their factor structure and explore their psychometric properties.</p><p><strong>Results: </strong>During a clinical trial conducted from January 2023 to August 2024 evaluating an oral therapy to improve sunlight tolerance in adults, participants with EPP or XLP completed the Sunlight Exposure Diary, the EPIQ, and other PROMs (PROMIS-57 v2.1, PROMIS Short Form v2.0 - Social Isolation, and PROMIS-Neuropathic Pain Quality v2.0 scales), at multiple time points via electronic data capture. Data from all treatment groups were combined for analysis. 65 participants with a baseline and at least 1 follow-up assessment on the EPIQ were included (mean age = 45, 51% male, whole-blood metal-free PPIX levels = 9335.5 µg/L). Exploratory Factor Analysis identified 1 underlying factor in the Sunlight Exposure Diary (\"Tingling/Itching\") and 3 in the EPIQ (\"Duration of Full Reaction,\" \"Overall Change,\" and \"Overall Severity and Impact\"). The factor from the Sunlight Exposure Diary showed less consistent performance. A single item from the Sunlight Exposure Diary was also evaluated (the Daily Daylight Tolerance Over 2-Week Interval). The 3 factors from the EPIQ demonstrated acceptable to strong psychometric properties in terms of reliability (internal consistency, test-retest), validity (construct, known groups), and responsiveness. Ranges for meaningful change, using anchor- and distribution-based approaches, were established.</p><p><strong>Conclusions: </strong>These PROMS address the need for EPP/XLP-specific measures that assess the duration, severity, and impact of early warning symptoms and full phototoxic reactions, and capture impacts of EPP and XLP on well-being and HRQoL. Results suggest that the PROMs are reliable and valid, supporting their use in future research and relevant for assessing the experiences of individuals with EPP or XLP.</p>","PeriodicalId":19651,"journal":{"name":"Orphanet Journal of Rare Diseases","volume":"20 1","pages":"492"},"PeriodicalIF":3.5000,"publicationDate":"2025-09-30","publicationTypes":"Journal Article","fieldsOfStudy":null,"isOpenAccess":false,"openAccessPdf":"https://www.ncbi.nlm.nih.gov/pmc/articles/PMC12486579/pdf/","citationCount":"0","resultStr":"{\"title\":\"Validation of the sunlight exposure diary and the erythropoietic protoporphyria impact questionnaire (EPIQ).\",\"authors\":\"Hetanshi Naik, Susan D Mathias, Michelle P Turner, Megan O'Grady, Chelsea Norregaard, Hilary H Colwell, William Savage, Melanie Chin\",\"doi\":\"10.1186/s13023-025-04012-8\",\"DOIUrl\":null,\"url\":null,\"abstract\":\"<p><strong>Background: </strong>Erythropoietic protoporphyria (EPP) and X-linked protoporphyria (XLP) are rare disorders that can negatively affect one's health-related quality of life (HRQoL) because of pain from phototoxic reactions and the avoidance of sun exposure that is recommended. There is a need for reliable and valid patient-reported outcome measures (PROMs) that address all aspects of EPP/XLP, including symptoms and impacts. Our objective was to assess 2 recently developed PROMs, the Sunlight Exposure Diary and the EPP Impact Questionnaire (EPIQ), to determine their factor structure and explore their psychometric properties.</p><p><strong>Results: </strong>During a clinical trial conducted from January 2023 to August 2024 evaluating an oral therapy to improve sunlight tolerance in adults, participants with EPP or XLP completed the Sunlight Exposure Diary, the EPIQ, and other PROMs (PROMIS-57 v2.1, PROMIS Short Form v2.0 - Social Isolation, and PROMIS-Neuropathic Pain Quality v2.0 scales), at multiple time points via electronic data capture. Data from all treatment groups were combined for analysis. 65 participants with a baseline and at least 1 follow-up assessment on the EPIQ were included (mean age = 45, 51% male, whole-blood metal-free PPIX levels = 9335.5 µg/L). Exploratory Factor Analysis identified 1 underlying factor in the Sunlight Exposure Diary (\\\"Tingling/Itching\\\") and 3 in the EPIQ (\\\"Duration of Full Reaction,\\\" \\\"Overall Change,\\\" and \\\"Overall Severity and Impact\\\"). The factor from the Sunlight Exposure Diary showed less consistent performance. A single item from the Sunlight Exposure Diary was also evaluated (the Daily Daylight Tolerance Over 2-Week Interval). The 3 factors from the EPIQ demonstrated acceptable to strong psychometric properties in terms of reliability (internal consistency, test-retest), validity (construct, known groups), and responsiveness. Ranges for meaningful change, using anchor- and distribution-based approaches, were established.</p><p><strong>Conclusions: </strong>These PROMS address the need for EPP/XLP-specific measures that assess the duration, severity, and impact of early warning symptoms and full phototoxic reactions, and capture impacts of EPP and XLP on well-being and HRQoL. Results suggest that the PROMs are reliable and valid, supporting their use in future research and relevant for assessing the experiences of individuals with EPP or XLP.</p>\",\"PeriodicalId\":19651,\"journal\":{\"name\":\"Orphanet Journal of Rare Diseases\",\"volume\":\"20 1\",\"pages\":\"492\"},\"PeriodicalIF\":3.5000,\"publicationDate\":\"2025-09-30\",\"publicationTypes\":\"Journal Article\",\"fieldsOfStudy\":null,\"isOpenAccess\":false,\"openAccessPdf\":\"https://www.ncbi.nlm.nih.gov/pmc/articles/PMC12486579/pdf/\",\"citationCount\":\"0\",\"resultStr\":null,\"platform\":\"Semanticscholar\",\"paperid\":null,\"PeriodicalName\":\"Orphanet Journal of Rare Diseases\",\"FirstCategoryId\":\"3\",\"ListUrlMain\":\"https://doi.org/10.1186/s13023-025-04012-8\",\"RegionNum\":2,\"RegionCategory\":\"医学\",\"ArticlePicture\":[],\"TitleCN\":null,\"AbstractTextCN\":null,\"PMCID\":null,\"EPubDate\":\"\",\"PubModel\":\"\",\"JCR\":\"Q2\",\"JCRName\":\"GENETICS & HEREDITY\",\"Score\":null,\"Total\":0}","platform":"Semanticscholar","paperid":null,"PeriodicalName":"Orphanet Journal of Rare Diseases","FirstCategoryId":"3","ListUrlMain":"https://doi.org/10.1186/s13023-025-04012-8","RegionNum":2,"RegionCategory":"医学","ArticlePicture":[],"TitleCN":null,"AbstractTextCN":null,"PMCID":null,"EPubDate":"","PubModel":"","JCR":"Q2","JCRName":"GENETICS & HEREDITY","Score":null,"Total":0}
引用次数: 0

摘要

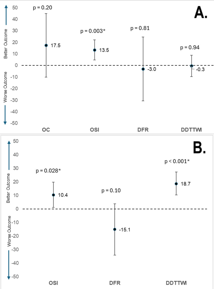
背景:红细胞生成性原生卟啉症(EPP)和x连锁原生卟啉症(XLP)是一种罕见的疾病,由于光毒性反应引起的疼痛和建议避免阳光照射,可对健康相关生活质量(HRQoL)产生负面影响。需要可靠和有效的患者报告结果测量(PROMs),以解决EPP/XLP的所有方面,包括症状和影响。我们的目的是评估最近开发的两种PROMs,阳光暴露日记和EPP影响问卷(EPIQ),以确定其因素结构并探索其心理测量特性。结果:在2023年1月至2024年8月进行的一项临床试验中,通过电子数据采集,EPP或XLP患者在多个时间点完成了阳光暴露日记、EPIQ和其他PROMs (promise -57 v2.1、PROMIS Short Form v2.0 - Social Isolation和promise - neuropathic Pain Quality v2.0量表)。所有治疗组的数据合并分析。纳入了65名基线和至少1次EPIQ随访评估的参与者(平均年龄= 45岁,51%为男性,全血无金属PPIX水平= 9335.5µg/L)。探索性因素分析确定了阳光暴露日记中的1个潜在因素(“刺痛/瘙痒”)和EPIQ中的3个潜在因素(“完全反应持续时间”、“总体变化”和“总体严重程度和影响”)。来自阳光照射日记的因素显示出不太一致的表现。还评估了日光暴露日记中的一项(两周间隔内的每日日光耐受性)。EPIQ的3个因素在信度(内部一致性、重测)、效度(构念、已知群体)和反应性方面表现出较强的心理测量特性。使用基于锚点和分布的方法,建立了有意义的变化范围。结论:这些PROMS解决了EPP/XLP特异性措施的需求,以评估早期预警症状和全光毒性反应的持续时间、严重程度和影响,并捕获EPP和XLP对健康和HRQoL的影响。结果表明,PROMs是可靠和有效的,支持它们在未来的研究中使用,并与评估EPP或XLP患者的体验相关。
本文章由计算机程序翻译,如有差异,请以英文原文为准。

Validation of the sunlight exposure diary and the erythropoietic protoporphyria impact questionnaire (EPIQ).

Validation of the sunlight exposure diary and the erythropoietic protoporphyria impact questionnaire (EPIQ).

Background: Erythropoietic protoporphyria (EPP) and X-linked protoporphyria (XLP) are rare disorders that can negatively affect one's health-related quality of life (HRQoL) because of pain from phototoxic reactions and the avoidance of sun exposure that is recommended. There is a need for reliable and valid patient-reported outcome measures (PROMs) that address all aspects of EPP/XLP, including symptoms and impacts. Our objective was to assess 2 recently developed PROMs, the Sunlight Exposure Diary and the EPP Impact Questionnaire (EPIQ), to determine their factor structure and explore their psychometric properties.

Results: During a clinical trial conducted from January 2023 to August 2024 evaluating an oral therapy to improve sunlight tolerance in adults, participants with EPP or XLP completed the Sunlight Exposure Diary, the EPIQ, and other PROMs (PROMIS-57 v2.1, PROMIS Short Form v2.0 - Social Isolation, and PROMIS-Neuropathic Pain Quality v2.0 scales), at multiple time points via electronic data capture. Data from all treatment groups were combined for analysis. 65 participants with a baseline and at least 1 follow-up assessment on the EPIQ were included (mean age = 45, 51% male, whole-blood metal-free PPIX levels = 9335.5 µg/L). Exploratory Factor Analysis identified 1 underlying factor in the Sunlight Exposure Diary ("Tingling/Itching") and 3 in the EPIQ ("Duration of Full Reaction," "Overall Change," and "Overall Severity and Impact"). The factor from the Sunlight Exposure Diary showed less consistent performance. A single item from the Sunlight Exposure Diary was also evaluated (the Daily Daylight Tolerance Over 2-Week Interval). The 3 factors from the EPIQ demonstrated acceptable to strong psychometric properties in terms of reliability (internal consistency, test-retest), validity (construct, known groups), and responsiveness. Ranges for meaningful change, using anchor- and distribution-based approaches, were established.

Conclusions: These PROMS address the need for EPP/XLP-specific measures that assess the duration, severity, and impact of early warning symptoms and full phototoxic reactions, and capture impacts of EPP and XLP on well-being and HRQoL. Results suggest that the PROMs are reliable and valid, supporting their use in future research and relevant for assessing the experiences of individuals with EPP or XLP.

求助全文
通过发布文献求助,成功后即可免费获取论文全文。 去求助
来源期刊
Orphanet Journal of Rare Diseases
Orphanet Journal of Rare Diseases 医学-医学:研究与实验
CiteScore
6.30
自引率
8.10%
发文量
418
审稿时长
4-8 weeks
期刊介绍: Orphanet Journal of Rare Diseases is an open access, peer-reviewed journal that encompasses all aspects of rare diseases and orphan drugs. The journal publishes high-quality reviews on specific rare diseases. In addition, the journal may consider articles on clinical trial outcome reports, either positive or negative, and articles on public health issues in the field of rare diseases and orphan drugs. The journal does not accept case reports.
×
引用
GB/T 7714-2015
复制
MLA
复制
APA
复制
导出至
BibTeX EndNote RefMan NoteFirst NoteExpress
×
提示
您的信息不完整,为了账户安全,请先补充。
现在去补充
×
提示
您因"违规操作"
具体请查看互助需知
我知道了
×
提示
确定
请完成安全验证×
copy
已复制链接
快去分享给好友吧!
我知道了
右上角分享
点击右上角分享
0
联系我们:info@booksci.cn Book学术提供免费学术资源搜索服务,方便国内外学者检索中英文文献。致力于提供最便捷和优质的服务体验。 Copyright © 2023 布克学术 All rights reserved.
京ICP备2023020795号-1
ghs 京公网安备 11010802042870号
Book学术文献互助
Book学术文献互助群
群 号:604180095
Book学术官方微信