SGLT2抑制剂对蒽环类和/或曲妥珠单抗治疗后早期乳腺癌老年糖尿病妇女的心脏保护作用

IF 4.2 2区 医学 Q2 ONCOLOGY
Therapeutic Advances in Medical Oncology Pub Date : 2025-09-23 eCollection Date: 2025-01-01 DOI:10.1177/17588359251378245
Yi-Shao Liu, Jamie C Barner, Kenneth A Lawson, Yan Liu, Chanhyun Park
{"title":"SGLT2抑制剂对蒽环类和/或曲妥珠单抗治疗后早期乳腺癌老年糖尿病妇女的心脏保护作用","authors":"Yi-Shao Liu, Jamie C Barner, Kenneth A Lawson, Yan Liu, Chanhyun Park","doi":"10.1177/17588359251378245","DOIUrl":null,"url":null,"abstract":"<p><strong>Background: </strong>Real-world evidence on protective effects of sodium-glucose cotransporter-2 inhibitors (SGLT2i) against anthracycline- or trastuzumab-induced cardiotoxicity in patients with breast cancer is limited.</p><p><strong>Objectives: </strong>To examine the cardioprotective benefits of SGLT2i in older women with early-stage breast cancer (EBC) following anthracycline- and/or trastuzumab-based therapies.</p><p><strong>Design: </strong>This was a retrospective cohort study using the 2011-2019 SEER-Medicare database.</p><p><strong>Methods: </strong>We identified women aged over 65.5 years and diagnosed with stage I-III BC who received anthracycline and/or trastuzumab and subsequently initiated antidiabetic medications. Propensity scores were used to match one new-user episode of SGLT2i with four new-user episodes of other antidiabetic medications (OAMs). The primary outcome was a composite endpoint consisting of heart failure (HF), stroke, myocardial infarction, and arrhythmia. Secondary outcomes included hospitalization due to HF (HHF) and incident HF or cardiomyopathy (CM). Cause-specific hazard ratios (csHR) between SGLT2i and OAMs groups were assessed for each outcome, with all-cause death treated as a competing event.</p><p><strong>Results: </strong>From 1195 women examined, 1777 new-user episodes were identified. After 1:4 matching, there were 131 episodes in the SGLT2i group and 469 in the OAM group. Covariates were well-balanced between groups. No statistically significant differences were observed in the composite cardiovascular (csHR = 0.71; 95% confidence interval (CI): 0.44-1.15; <i>p</i> = 0.24), HHF (csHR = 0.92; 95% CI: 0.10-8.27; <i>p</i> = 0.94), or incident HF/CM (csHR = 0.77; 95% CI: 0.45-1.34; <i>p</i> = 0.36) outcomes. Results were consistent across individual SGLT2i and clinical subgroups, including those with/without established cardiovascular diseases and those exposed to various cardiotoxic cancer treatments.</p><p><strong>Conclusion: </strong>No significant differences in cardiovascular risks were found between women with EBC who initiated SGLT2i versus OAMs after anthracycline or trastuzumab treatments, which might be due to the limited sample size. Further investigation through clinical trials is necessary to confirm the cardioprotective potential of SGLT2i among patients with EBC.</p>","PeriodicalId":23053,"journal":{"name":"Therapeutic Advances in Medical Oncology","volume":"17 ","pages":"17588359251378245"},"PeriodicalIF":4.2000,"publicationDate":"2025-09-23","publicationTypes":"Journal Article","fieldsOfStudy":null,"isOpenAccess":false,"openAccessPdf":"https://www.ncbi.nlm.nih.gov/pmc/articles/PMC12461033/pdf/","citationCount":"0","resultStr":"{\"title\":\"Cardioprotective effectiveness of SGLT2 inhibitors in older diabetic women with early-stage breast cancer following anthracycline- and/or trastuzumab-based treatment.\",\"authors\":\"Yi-Shao Liu, Jamie C Barner, Kenneth A Lawson, Yan Liu, Chanhyun Park\",\"doi\":\"10.1177/17588359251378245\",\"DOIUrl\":null,\"url\":null,\"abstract\":\"<p><strong>Background: </strong>Real-world evidence on protective effects of sodium-glucose cotransporter-2 inhibitors (SGLT2i) against anthracycline- or trastuzumab-induced cardiotoxicity in patients with breast cancer is limited.</p><p><strong>Objectives: </strong>To examine the cardioprotective benefits of SGLT2i in older women with early-stage breast cancer (EBC) following anthracycline- and/or trastuzumab-based therapies.</p><p><strong>Design: </strong>This was a retrospective cohort study using the 2011-2019 SEER-Medicare database.</p><p><strong>Methods: </strong>We identified women aged over 65.5 years and diagnosed with stage I-III BC who received anthracycline and/or trastuzumab and subsequently initiated antidiabetic medications. Propensity scores were used to match one new-user episode of SGLT2i with four new-user episodes of other antidiabetic medications (OAMs). The primary outcome was a composite endpoint consisting of heart failure (HF), stroke, myocardial infarction, and arrhythmia. Secondary outcomes included hospitalization due to HF (HHF) and incident HF or cardiomyopathy (CM). Cause-specific hazard ratios (csHR) between SGLT2i and OAMs groups were assessed for each outcome, with all-cause death treated as a competing event.</p><p><strong>Results: </strong>From 1195 women examined, 1777 new-user episodes were identified. After 1:4 matching, there were 131 episodes in the SGLT2i group and 469 in the OAM group. Covariates were well-balanced between groups. No statistically significant differences were observed in the composite cardiovascular (csHR = 0.71; 95% confidence interval (CI): 0.44-1.15; <i>p</i> = 0.24), HHF (csHR = 0.92; 95% CI: 0.10-8.27; <i>p</i> = 0.94), or incident HF/CM (csHR = 0.77; 95% CI: 0.45-1.34; <i>p</i> = 0.36) outcomes. Results were consistent across individual SGLT2i and clinical subgroups, including those with/without established cardiovascular diseases and those exposed to various cardiotoxic cancer treatments.</p><p><strong>Conclusion: </strong>No significant differences in cardiovascular risks were found between women with EBC who initiated SGLT2i versus OAMs after anthracycline or trastuzumab treatments, which might be due to the limited sample size. Further investigation through clinical trials is necessary to confirm the cardioprotective potential of SGLT2i among patients with EBC.</p>\",\"PeriodicalId\":23053,\"journal\":{\"name\":\"Therapeutic Advances in Medical Oncology\",\"volume\":\"17 \",\"pages\":\"17588359251378245\"},\"PeriodicalIF\":4.2000,\"publicationDate\":\"2025-09-23\",\"publicationTypes\":\"Journal Article\",\"fieldsOfStudy\":null,\"isOpenAccess\":false,\"openAccessPdf\":\"https://www.ncbi.nlm.nih.gov/pmc/articles/PMC12461033/pdf/\",\"citationCount\":\"0\",\"resultStr\":null,\"platform\":\"Semanticscholar\",\"paperid\":null,\"PeriodicalName\":\"Therapeutic Advances in Medical Oncology\",\"FirstCategoryId\":\"3\",\"ListUrlMain\":\"https://doi.org/10.1177/17588359251378245\",\"RegionNum\":2,\"RegionCategory\":\"医学\",\"ArticlePicture\":[],\"TitleCN\":null,\"AbstractTextCN\":null,\"PMCID\":null,\"EPubDate\":\"2025/1/1 0:00:00\",\"PubModel\":\"eCollection\",\"JCR\":\"Q2\",\"JCRName\":\"ONCOLOGY\",\"Score\":null,\"Total\":0}","platform":"Semanticscholar","paperid":null,"PeriodicalName":"Therapeutic Advances in Medical Oncology","FirstCategoryId":"3","ListUrlMain":"https://doi.org/10.1177/17588359251378245","RegionNum":2,"RegionCategory":"医学","ArticlePicture":[],"TitleCN":null,"AbstractTextCN":null,"PMCID":null,"EPubDate":"2025/1/1 0:00:00","PubModel":"eCollection","JCR":"Q2","JCRName":"ONCOLOGY","Score":null,"Total":0}
引用次数: 0

摘要

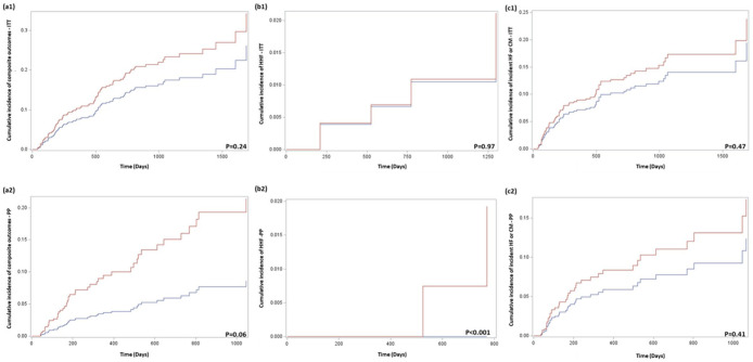
背景:关于钠-葡萄糖共转运蛋白-2抑制剂(SGLT2i)对蒽环类或曲妥珠单抗诱导的乳腺癌患者心脏毒性的保护作用的实际证据有限。目的:研究SGLT2i在蒽环类和/或曲妥珠单抗治疗后早期乳腺癌(EBC)老年妇女中的心脏保护作用。设计:这是一项使用2011-2019年SEER-Medicare数据库的回顾性队列研究。方法:我们确定了年龄超过65.5岁并被诊断为I-III期BC的女性,她们接受了蒽环类药物和/或曲妥珠单抗,随后开始使用降糖药物。倾向评分用于匹配一个新使用者的SGLT2i发作与四个新使用者的其他抗糖尿病药物(OAMs)发作。主要终点是一个复合终点,包括心力衰竭(HF)、中风、心肌梗死和心律失常。次要结局包括因心衰(HHF)和突发心衰或心肌病(CM)住院。评估SGLT2i组和OAMs组之间的每种结果的病因特异性风险比(csHR),并将全因死亡视为竞争事件。结果:在1195名接受调查的女性中,发现了1777例新用户发作。1:4配对后,SGLT2i组有131例,OAM组有469例。组间协变量平衡良好。两组综合心血管疾病无统计学差异(csHR = 0.71, 95%可信区间(CI): 0.44-1.15;p = 0.24),超高频(csHR = 0.92; 95%的置信区间:0.10—-8.27;p = 0.94),或事件高频/ CM (csHR = 0.77; 95%的置信区间:0.45—-1.34;p = 0.36)的结果。结果在个体SGLT2i和临床亚组中是一致的,包括那些有/没有确定的心血管疾病和那些暴露于各种心脏毒性癌症治疗的人。结论:在蒽环类药物或曲妥珠单抗治疗后启动SGLT2i和OAMs的EBC女性之间,心血管风险没有显着差异,这可能是由于样本量有限。需要通过进一步的临床试验来证实SGLT2i对EBC患者的心脏保护潜力。
本文章由计算机程序翻译,如有差异,请以英文原文为准。

Cardioprotective effectiveness of SGLT2 inhibitors in older diabetic women with early-stage breast cancer following anthracycline- and/or trastuzumab-based treatment.

Cardioprotective effectiveness of SGLT2 inhibitors in older diabetic women with early-stage breast cancer following anthracycline- and/or trastuzumab-based treatment.

Cardioprotective effectiveness of SGLT2 inhibitors in older diabetic women with early-stage breast cancer following anthracycline- and/or trastuzumab-based treatment.

Cardioprotective effectiveness of SGLT2 inhibitors in older diabetic women with early-stage breast cancer following anthracycline- and/or trastuzumab-based treatment.

Background: Real-world evidence on protective effects of sodium-glucose cotransporter-2 inhibitors (SGLT2i) against anthracycline- or trastuzumab-induced cardiotoxicity in patients with breast cancer is limited.

Objectives: To examine the cardioprotective benefits of SGLT2i in older women with early-stage breast cancer (EBC) following anthracycline- and/or trastuzumab-based therapies.

Design: This was a retrospective cohort study using the 2011-2019 SEER-Medicare database.

Methods: We identified women aged over 65.5 years and diagnosed with stage I-III BC who received anthracycline and/or trastuzumab and subsequently initiated antidiabetic medications. Propensity scores were used to match one new-user episode of SGLT2i with four new-user episodes of other antidiabetic medications (OAMs). The primary outcome was a composite endpoint consisting of heart failure (HF), stroke, myocardial infarction, and arrhythmia. Secondary outcomes included hospitalization due to HF (HHF) and incident HF or cardiomyopathy (CM). Cause-specific hazard ratios (csHR) between SGLT2i and OAMs groups were assessed for each outcome, with all-cause death treated as a competing event.

Results: From 1195 women examined, 1777 new-user episodes were identified. After 1:4 matching, there were 131 episodes in the SGLT2i group and 469 in the OAM group. Covariates were well-balanced between groups. No statistically significant differences were observed in the composite cardiovascular (csHR = 0.71; 95% confidence interval (CI): 0.44-1.15; p = 0.24), HHF (csHR = 0.92; 95% CI: 0.10-8.27; p = 0.94), or incident HF/CM (csHR = 0.77; 95% CI: 0.45-1.34; p = 0.36) outcomes. Results were consistent across individual SGLT2i and clinical subgroups, including those with/without established cardiovascular diseases and those exposed to various cardiotoxic cancer treatments.

Conclusion: No significant differences in cardiovascular risks were found between women with EBC who initiated SGLT2i versus OAMs after anthracycline or trastuzumab treatments, which might be due to the limited sample size. Further investigation through clinical trials is necessary to confirm the cardioprotective potential of SGLT2i among patients with EBC.

求助全文
通过发布文献求助,成功后即可免费获取论文全文。 去求助
来源期刊
CiteScore
8.20
自引率
2.00%
发文量
160
审稿时长
15 weeks
期刊介绍: Therapeutic Advances in Medical Oncology is an open access, peer-reviewed journal delivering the highest quality articles, reviews, and scholarly comment on pioneering efforts and innovative studies in the medical treatment of cancer. The journal has a strong clinical and pharmacological focus and is aimed at clinicians and researchers in medical oncology, providing a forum in print and online for publishing the highest quality articles in this area. This journal is a member of the Committee on Publication Ethics (COPE).
×
引用
GB/T 7714-2015
复制
MLA
复制
APA
复制
导出至
BibTeX EndNote RefMan NoteFirst NoteExpress
×
提示
您的信息不完整,为了账户安全,请先补充。
现在去补充
×
提示
您因"违规操作"
具体请查看互助需知
我知道了
×
提示
确定
请完成安全验证×
copy
已复制链接
快去分享给好友吧!
我知道了
右上角分享
点击右上角分享
0
联系我们:info@booksci.cn Book学术提供免费学术资源搜索服务,方便国内外学者检索中英文文献。致力于提供最便捷和优质的服务体验。 Copyright © 2023 布克学术 All rights reserved.
京ICP备2023020795号-1
ghs 京公网安备 11010802042870号
Book学术文献互助
Book学术文献互助群
群 号:604180095
Book学术官方微信