单核细胞-淋巴细胞比率作为老年心力衰竭患者3个月死亡率的预测因子:一项回顾性中国队列研究。

IF 2.8 3区 医学 Q2 CARDIAC & CARDIOVASCULAR SYSTEMS
Frontiers in Cardiovascular Medicine Pub Date : 2025-09-11 eCollection Date: 2025-01-01 DOI:10.3389/fcvm.2025.1665183
Xiao-Shan Guo, Chong-Xu Wang, Hong-Ju Jiang, Jing Zhu, Jian Wang
{"title":"单核细胞-淋巴细胞比率作为老年心力衰竭患者3个月死亡率的预测因子:一项回顾性中国队列研究。","authors":"Xiao-Shan Guo, Chong-Xu Wang, Hong-Ju Jiang, Jing Zhu, Jian Wang","doi":"10.3389/fcvm.2025.1665183","DOIUrl":null,"url":null,"abstract":"<p><strong>Background: </strong>Heart failure (HF) represents the terminal phase of cardiovascular disease and is the primary cause of mortality in elderly patients diagnosed with HF. Precise early prediction of HF onset and progression is crucial for enhancing survival rates in patients. Central to HF's pathophysiology is inflammation, with the monocyte-lymphocyte ratio (MLR) emerging as a potential novel inflammatory marker. The relationship between MLR and HF in the elderly is not well-defined. Therefore, this study, utilizing the 2016-2019 Sichuan Zigong Heart Failure Database, aimed to explore the correlation between MLR levels and 3-month mortality in elderly HF patients within the Chinese population.</p><p><strong>Methods: </strong>A retrospective cohort study was conducted using the 2016-2019 Heart Failure Database from Zigong City, Sichuan Province, China. HF was identified based on the diagnostic criteria of the European Society of Cardiology. The MLR was calculated as monocyte count divided by lymphocyte count. Both lymphocyte and monocyte counts were sourced directly from laboratory datasets. Cox regression analysis was performed to assess the relationship between MLR and 3-month mortality, with stratified evaluations conducted based on age, gender, and comorbidity index.</p><p><strong>Results: </strong>Of the 1,448 elderly HF patients assessed, multivariate regression analyses revealed that the high-level MLR group had a heightened occurrence of 3-month mortalities, presenting a hazard ratio (HR) and a 95% CI of 3.31 (1.42-7.7). In the subgroup analyses, the effect sizes of MLR remained consistent across all subgroups (all <i>P-</i>values > 0.05).</p><p><strong>Conclusion: </strong>MLR is significantly associated with 3-month mortality rates in elderly HF patients. Early MLR evaluations might offer a pathway to augment the life quality and survival outcomes of these patients.</p>","PeriodicalId":12414,"journal":{"name":"Frontiers in Cardiovascular Medicine","volume":"12 ","pages":"1665183"},"PeriodicalIF":2.8000,"publicationDate":"2025-09-11","publicationTypes":"Journal Article","fieldsOfStudy":null,"isOpenAccess":false,"openAccessPdf":"https://www.ncbi.nlm.nih.gov/pmc/articles/PMC12460246/pdf/","citationCount":"0","resultStr":"{\"title\":\"Monocyte-lymphocyte ratio as a predictor of 3-month mortality in elderly heart failure patients: a retrospective Chinese cohort study.\",\"authors\":\"Xiao-Shan Guo, Chong-Xu Wang, Hong-Ju Jiang, Jing Zhu, Jian Wang\",\"doi\":\"10.3389/fcvm.2025.1665183\",\"DOIUrl\":null,\"url\":null,\"abstract\":\"<p><strong>Background: </strong>Heart failure (HF) represents the terminal phase of cardiovascular disease and is the primary cause of mortality in elderly patients diagnosed with HF. Precise early prediction of HF onset and progression is crucial for enhancing survival rates in patients. Central to HF's pathophysiology is inflammation, with the monocyte-lymphocyte ratio (MLR) emerging as a potential novel inflammatory marker. The relationship between MLR and HF in the elderly is not well-defined. Therefore, this study, utilizing the 2016-2019 Sichuan Zigong Heart Failure Database, aimed to explore the correlation between MLR levels and 3-month mortality in elderly HF patients within the Chinese population.</p><p><strong>Methods: </strong>A retrospective cohort study was conducted using the 2016-2019 Heart Failure Database from Zigong City, Sichuan Province, China. HF was identified based on the diagnostic criteria of the European Society of Cardiology. The MLR was calculated as monocyte count divided by lymphocyte count. Both lymphocyte and monocyte counts were sourced directly from laboratory datasets. Cox regression analysis was performed to assess the relationship between MLR and 3-month mortality, with stratified evaluations conducted based on age, gender, and comorbidity index.</p><p><strong>Results: </strong>Of the 1,448 elderly HF patients assessed, multivariate regression analyses revealed that the high-level MLR group had a heightened occurrence of 3-month mortalities, presenting a hazard ratio (HR) and a 95% CI of 3.31 (1.42-7.7). In the subgroup analyses, the effect sizes of MLR remained consistent across all subgroups (all <i>P-</i>values > 0.05).</p><p><strong>Conclusion: </strong>MLR is significantly associated with 3-month mortality rates in elderly HF patients. Early MLR evaluations might offer a pathway to augment the life quality and survival outcomes of these patients.</p>\",\"PeriodicalId\":12414,\"journal\":{\"name\":\"Frontiers in Cardiovascular Medicine\",\"volume\":\"12 \",\"pages\":\"1665183\"},\"PeriodicalIF\":2.8000,\"publicationDate\":\"2025-09-11\",\"publicationTypes\":\"Journal Article\",\"fieldsOfStudy\":null,\"isOpenAccess\":false,\"openAccessPdf\":\"https://www.ncbi.nlm.nih.gov/pmc/articles/PMC12460246/pdf/\",\"citationCount\":\"0\",\"resultStr\":null,\"platform\":\"Semanticscholar\",\"paperid\":null,\"PeriodicalName\":\"Frontiers in Cardiovascular Medicine\",\"FirstCategoryId\":\"3\",\"ListUrlMain\":\"https://doi.org/10.3389/fcvm.2025.1665183\",\"RegionNum\":3,\"RegionCategory\":\"医学\",\"ArticlePicture\":[],\"TitleCN\":null,\"AbstractTextCN\":null,\"PMCID\":null,\"EPubDate\":\"2025/1/1 0:00:00\",\"PubModel\":\"eCollection\",\"JCR\":\"Q2\",\"JCRName\":\"CARDIAC & CARDIOVASCULAR SYSTEMS\",\"Score\":null,\"Total\":0}","platform":"Semanticscholar","paperid":null,"PeriodicalName":"Frontiers in Cardiovascular Medicine","FirstCategoryId":"3","ListUrlMain":"https://doi.org/10.3389/fcvm.2025.1665183","RegionNum":3,"RegionCategory":"医学","ArticlePicture":[],"TitleCN":null,"AbstractTextCN":null,"PMCID":null,"EPubDate":"2025/1/1 0:00:00","PubModel":"eCollection","JCR":"Q2","JCRName":"CARDIAC & CARDIOVASCULAR SYSTEMS","Score":null,"Total":0}
引用次数: 0

摘要

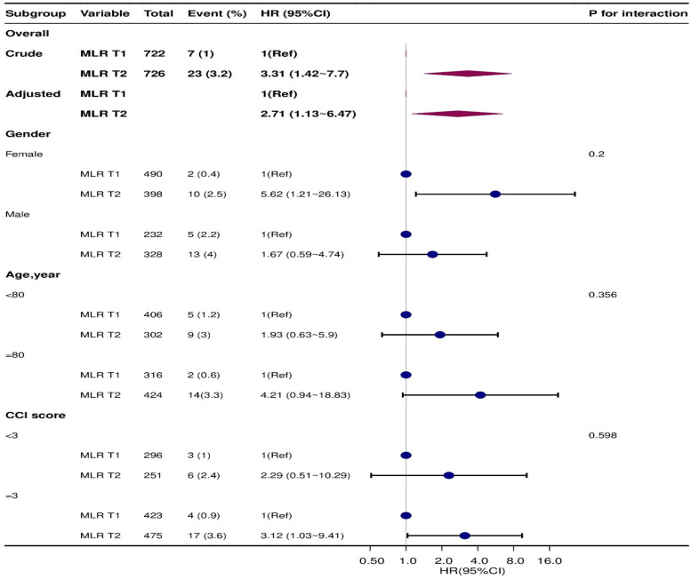
背景:心衰(HF)代表心血管疾病的终末期,是老年心衰患者死亡的主要原因。准确的早期预测心衰的发生和进展对提高患者的生存率至关重要。心衰病理生理的核心是炎症,单核细胞-淋巴细胞比率(MLR)成为一种潜在的新型炎症标志物。老年人MLR与HF之间的关系尚不明确。因此,本研究利用2016-2019年四川自贡心力衰竭数据库,旨在探讨中国人群中老年HF患者MLR水平与3个月死亡率之间的相关性。方法:使用中国四川省自贡市2016-2019心力衰竭数据库进行回顾性队列研究。心衰是根据欧洲心脏病学会的诊断标准确定的。MLR以单核细胞数除以淋巴细胞数计算。淋巴细胞和单核细胞计数均直接来自实验室数据集。采用Cox回归分析评估MLR与3个月死亡率之间的关系,并根据年龄、性别和合并症指数进行分层评估。结果:在评估的1448例老年HF患者中,多因素回归分析显示,高MLR组3个月死亡率较高,危险比(HR)和95% CI为3.31(1.42-7.7)。在亚组分析中,MLR的效应量在所有亚组中保持一致(所有p值均为0.05)。结论:MLR与老年HF患者3个月死亡率显著相关。早期MLR评估可能为提高这些患者的生活质量和生存结果提供了一条途径。
本文章由计算机程序翻译,如有差异,请以英文原文为准。

Monocyte-lymphocyte ratio as a predictor of 3-month mortality in elderly heart failure patients: a retrospective Chinese cohort study.

Monocyte-lymphocyte ratio as a predictor of 3-month mortality in elderly heart failure patients: a retrospective Chinese cohort study.

Monocyte-lymphocyte ratio as a predictor of 3-month mortality in elderly heart failure patients: a retrospective Chinese cohort study.

Monocyte-lymphocyte ratio as a predictor of 3-month mortality in elderly heart failure patients: a retrospective Chinese cohort study.

Background: Heart failure (HF) represents the terminal phase of cardiovascular disease and is the primary cause of mortality in elderly patients diagnosed with HF. Precise early prediction of HF onset and progression is crucial for enhancing survival rates in patients. Central to HF's pathophysiology is inflammation, with the monocyte-lymphocyte ratio (MLR) emerging as a potential novel inflammatory marker. The relationship between MLR and HF in the elderly is not well-defined. Therefore, this study, utilizing the 2016-2019 Sichuan Zigong Heart Failure Database, aimed to explore the correlation between MLR levels and 3-month mortality in elderly HF patients within the Chinese population.

Methods: A retrospective cohort study was conducted using the 2016-2019 Heart Failure Database from Zigong City, Sichuan Province, China. HF was identified based on the diagnostic criteria of the European Society of Cardiology. The MLR was calculated as monocyte count divided by lymphocyte count. Both lymphocyte and monocyte counts were sourced directly from laboratory datasets. Cox regression analysis was performed to assess the relationship between MLR and 3-month mortality, with stratified evaluations conducted based on age, gender, and comorbidity index.

Results: Of the 1,448 elderly HF patients assessed, multivariate regression analyses revealed that the high-level MLR group had a heightened occurrence of 3-month mortalities, presenting a hazard ratio (HR) and a 95% CI of 3.31 (1.42-7.7). In the subgroup analyses, the effect sizes of MLR remained consistent across all subgroups (all P-values > 0.05).

Conclusion: MLR is significantly associated with 3-month mortality rates in elderly HF patients. Early MLR evaluations might offer a pathway to augment the life quality and survival outcomes of these patients.

求助全文
通过发布文献求助,成功后即可免费获取论文全文。 去求助
来源期刊
Frontiers in Cardiovascular Medicine
Frontiers in Cardiovascular Medicine Medicine-Cardiology and Cardiovascular Medicine
CiteScore
3.80
自引率
11.10%
发文量
3529
审稿时长
14 weeks
期刊介绍: Frontiers? Which frontiers? Where exactly are the frontiers of cardiovascular medicine? And who should be defining these frontiers? At Frontiers in Cardiovascular Medicine we believe it is worth being curious to foresee and explore beyond the current frontiers. In other words, we would like, through the articles published by our community journal Frontiers in Cardiovascular Medicine, to anticipate the future of cardiovascular medicine, and thus better prevent cardiovascular disorders and improve therapeutic options and outcomes of our patients.
×
引用
GB/T 7714-2015
复制
MLA
复制
APA
复制
导出至
BibTeX EndNote RefMan NoteFirst NoteExpress
×
提示
您的信息不完整,为了账户安全,请先补充。
现在去补充
×
提示
您因"违规操作"
具体请查看互助需知
我知道了
×
提示
确定
请完成安全验证×
copy
已复制链接
快去分享给好友吧!
我知道了
右上角分享
点击右上角分享
0
联系我们:info@booksci.cn Book学术提供免费学术资源搜索服务,方便国内外学者检索中英文文献。致力于提供最便捷和优质的服务体验。 Copyright © 2023 布克学术 All rights reserved.
京ICP备2023020795号-1
ghs 京公网安备 11010802042870号
Book学术文献互助
Book学术文献互助群
群 号:604180095
Book学术官方微信