基于多路径无线传感器网络多目标进化模型的环境自适应多通道测距优化算法。

IF 3.5 3区 综合性期刊 Q2 CHEMISTRY, ANALYTICAL
Sensors Pub Date : 2025-09-19 DOI:10.3390/s25185851
Xuming Fang, Zuqin Ji
{"title":"基于多路径无线传感器网络多目标进化模型的环境自适应多通道测距优化算法。","authors":"Xuming Fang, Zuqin Ji","doi":"10.3390/s25185851","DOIUrl":null,"url":null,"abstract":"<p><p>Recently, high-precision WSN (wireless sensor network) ranging and positioning algorithms based on RSSI (Received Signal Strength Indicator) in complex indoor environments have become a popular research topic. This is because RSSI is easy to obtain and more suitable for the large-scale deployment of WSNs. However, WSN ranging and positioning algorithms using RSSI are severely affected by the presence of noise and multipath effects in complex indoor environments. To reduce multipath effects, a multi-channel ranging algorithm was developed. This algorithm must obtain accurate initial parameter values or the target-reference distance in advance; otherwise, it will fall into local optima. We propose an environment-adaptive algorithm for multi-channel ranging optimization based on an innovative evolutionary model with multiple objectives and an existing adaptive extended Kalman filter. This novel model includes a newly created objective function of the relationship between weighted multi-channel RSSI and node distance, which allows it to achieve globally optimal results without requiring extensive training to obtain accurate initial parameter values or the target-reference distance beforehand. Extensive simulations and experiments show that our proposed algorithm always has much higher ranging accuracy than the existing algorithm, regardless of whether the multi-channel RSSI is regular or the number of paths matches.</p>","PeriodicalId":21698,"journal":{"name":"Sensors","volume":"25 18","pages":""},"PeriodicalIF":3.5000,"publicationDate":"2025-09-19","publicationTypes":"Journal Article","fieldsOfStudy":null,"isOpenAccess":false,"openAccessPdf":"https://www.ncbi.nlm.nih.gov/pmc/articles/PMC12473460/pdf/","citationCount":"0","resultStr":"{\"title\":\"An Environment-Adaptive Multi-Channel Ranging Optimization Algorithm Based on a Multi-Objective Evolutionary Model for Multipath Wireless Sensor Networks.\",\"authors\":\"Xuming Fang, Zuqin Ji\",\"doi\":\"10.3390/s25185851\",\"DOIUrl\":null,\"url\":null,\"abstract\":\"<p><p>Recently, high-precision WSN (wireless sensor network) ranging and positioning algorithms based on RSSI (Received Signal Strength Indicator) in complex indoor environments have become a popular research topic. This is because RSSI is easy to obtain and more suitable for the large-scale deployment of WSNs. However, WSN ranging and positioning algorithms using RSSI are severely affected by the presence of noise and multipath effects in complex indoor environments. To reduce multipath effects, a multi-channel ranging algorithm was developed. This algorithm must obtain accurate initial parameter values or the target-reference distance in advance; otherwise, it will fall into local optima. We propose an environment-adaptive algorithm for multi-channel ranging optimization based on an innovative evolutionary model with multiple objectives and an existing adaptive extended Kalman filter. This novel model includes a newly created objective function of the relationship between weighted multi-channel RSSI and node distance, which allows it to achieve globally optimal results without requiring extensive training to obtain accurate initial parameter values or the target-reference distance beforehand. Extensive simulations and experiments show that our proposed algorithm always has much higher ranging accuracy than the existing algorithm, regardless of whether the multi-channel RSSI is regular or the number of paths matches.</p>\",\"PeriodicalId\":21698,\"journal\":{\"name\":\"Sensors\",\"volume\":\"25 18\",\"pages\":\"\"},\"PeriodicalIF\":3.5000,\"publicationDate\":\"2025-09-19\",\"publicationTypes\":\"Journal Article\",\"fieldsOfStudy\":null,\"isOpenAccess\":false,\"openAccessPdf\":\"https://www.ncbi.nlm.nih.gov/pmc/articles/PMC12473460/pdf/\",\"citationCount\":\"0\",\"resultStr\":null,\"platform\":\"Semanticscholar\",\"paperid\":null,\"PeriodicalName\":\"Sensors\",\"FirstCategoryId\":\"103\",\"ListUrlMain\":\"https://doi.org/10.3390/s25185851\",\"RegionNum\":3,\"RegionCategory\":\"综合性期刊\",\"ArticlePicture\":[],\"TitleCN\":null,\"AbstractTextCN\":null,\"PMCID\":null,\"EPubDate\":\"\",\"PubModel\":\"\",\"JCR\":\"Q2\",\"JCRName\":\"CHEMISTRY, ANALYTICAL\",\"Score\":null,\"Total\":0}","platform":"Semanticscholar","paperid":null,"PeriodicalName":"Sensors","FirstCategoryId":"103","ListUrlMain":"https://doi.org/10.3390/s25185851","RegionNum":3,"RegionCategory":"综合性期刊","ArticlePicture":[],"TitleCN":null,"AbstractTextCN":null,"PMCID":null,"EPubDate":"","PubModel":"","JCR":"Q2","JCRName":"CHEMISTRY, ANALYTICAL","Score":null,"Total":0}
引用次数: 0

摘要

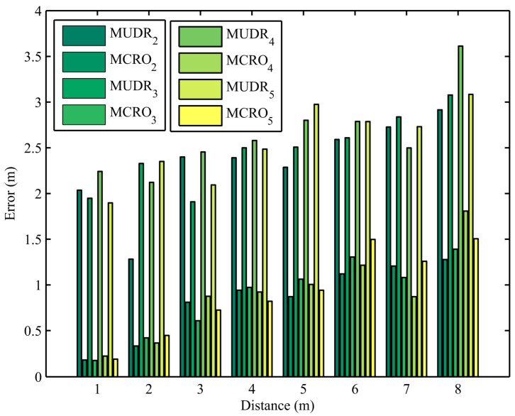
近年来,基于RSSI (Received Signal Strength Indicator,接收信号强度指标)的复杂室内环境下高精度WSN(无线传感器网络)测距定位算法已成为研究热点。这是因为RSSI易于获取,更适合wsn的大规模部署。然而,在复杂的室内环境中,使用RSSI的WSN测距和定位算法受到噪声和多径效应的严重影响。为了减少多径效应,提出了一种多通道测距算法。该算法必须提前获得准确的初始参数值或目标-参考距离;否则,它将陷入局部最优。基于一种创新的多目标进化模型和现有的自适应扩展卡尔曼滤波器,提出了一种环境自适应多通道测距优化算法。该模型包含了一个新创建的加权多通道RSSI与节点距离之间关系的目标函数,这使得该模型无需大量训练即可获得全局最优结果,而无需事先获得准确的初始参数值或目标参考距离。大量的仿真和实验表明,无论多通道RSSI是否规则或路径匹配的数量如何,我们提出的算法始终具有比现有算法更高的测距精度。
本文章由计算机程序翻译,如有差异,请以英文原文为准。

An Environment-Adaptive Multi-Channel Ranging Optimization Algorithm Based on a Multi-Objective Evolutionary Model for Multipath Wireless Sensor Networks.

An Environment-Adaptive Multi-Channel Ranging Optimization Algorithm Based on a Multi-Objective Evolutionary Model for Multipath Wireless Sensor Networks.

An Environment-Adaptive Multi-Channel Ranging Optimization Algorithm Based on a Multi-Objective Evolutionary Model for Multipath Wireless Sensor Networks.

An Environment-Adaptive Multi-Channel Ranging Optimization Algorithm Based on a Multi-Objective Evolutionary Model for Multipath Wireless Sensor Networks.

Recently, high-precision WSN (wireless sensor network) ranging and positioning algorithms based on RSSI (Received Signal Strength Indicator) in complex indoor environments have become a popular research topic. This is because RSSI is easy to obtain and more suitable for the large-scale deployment of WSNs. However, WSN ranging and positioning algorithms using RSSI are severely affected by the presence of noise and multipath effects in complex indoor environments. To reduce multipath effects, a multi-channel ranging algorithm was developed. This algorithm must obtain accurate initial parameter values or the target-reference distance in advance; otherwise, it will fall into local optima. We propose an environment-adaptive algorithm for multi-channel ranging optimization based on an innovative evolutionary model with multiple objectives and an existing adaptive extended Kalman filter. This novel model includes a newly created objective function of the relationship between weighted multi-channel RSSI and node distance, which allows it to achieve globally optimal results without requiring extensive training to obtain accurate initial parameter values or the target-reference distance beforehand. Extensive simulations and experiments show that our proposed algorithm always has much higher ranging accuracy than the existing algorithm, regardless of whether the multi-channel RSSI is regular or the number of paths matches.

求助全文
通过发布文献求助,成功后即可免费获取论文全文。 去求助
来源期刊
Sensors
Sensors 工程技术-电化学
CiteScore
7.30
自引率
12.80%
发文量
8430
审稿时长
1.7 months
期刊介绍: Sensors (ISSN 1424-8220) provides an advanced forum for the science and technology of sensors and biosensors. It publishes reviews (including comprehensive reviews on the complete sensors products), regular research papers and short notes. Our aim is to encourage scientists to publish their experimental and theoretical results in as much detail as possible. There is no restriction on the length of the papers. The full experimental details must be provided so that the results can be reproduced.
×
引用
GB/T 7714-2015
复制
MLA
复制
APA
复制
导出至
BibTeX EndNote RefMan NoteFirst NoteExpress
×
提示
您的信息不完整,为了账户安全,请先补充。
现在去补充
×
提示
您因"违规操作"
具体请查看互助需知
我知道了
×
提示
确定
请完成安全验证×
copy
已复制链接
快去分享给好友吧!
我知道了
右上角分享
点击右上角分享
0
联系我们:info@booksci.cn Book学术提供免费学术资源搜索服务,方便国内外学者检索中英文文献。致力于提供最便捷和优质的服务体验。 Copyright © 2023 布克学术 All rights reserved.
京ICP备2023020795号-1
ghs 京公网安备 11010802042870号
Book学术文献互助
Book学术文献互助群
群 号:604180095
Book学术官方微信