一项单剂量口服伊维菌素用于SARS-CoV-2暴露后预防的随机、安慰剂对照、双盲试验

IF 5.5 3区 医学 Q1 PHARMACOLOGY & PHARMACY
Kylie M Wagstaff, Mark S Stein, Alan Herschtal, Jean-Jacques Rajter, Juliana Cepelowicz Rajter, Michele Sallaberger, Alexia Smileski, Amala Kanagalingam, David A Jans
{"title":"一项单剂量口服伊维菌素用于SARS-CoV-2暴露后预防的随机、安慰剂对照、双盲试验","authors":"Kylie M Wagstaff, Mark S Stein, Alan Herschtal, Jean-Jacques Rajter, Juliana Cepelowicz Rajter, Michele Sallaberger, Alexia Smileski, Amala Kanagalingam, David A Jans","doi":"10.3390/pharmaceutics17091205","DOIUrl":null,"url":null,"abstract":"<p><p><b>Background:</b> The efficacy of a single oral dose of Ivermectin as prophylaxis for SARS-CoV-2 is uncertain. This trial sought to evaluate the effectiveness of a single oral low dose of Ivermectin to prevent SARS-CoV-2 infection or reduce symptoms if infection did occur. <b>Methods:</b> Asymptomatic community-dwelling adults were enrolled in this study within 72 h of close contact with a case of SARS-CoV-2. Participants were randomised, stratified by vaccination status and exposure site, to a single oral 200 µg/kg dose of Ivermectin or placebo. The primary outcome was conversion to a positive polymerase chain reaction (PCR) or rapid antigen test (RAT) for SARS-CoV-2 within 14 days of close contact. Secondary outcomes were restricted to those who met the primary outcome. They included the following: days alive free of symptoms in the 14 (DAFS1-14) and 28 (DAFS1-28) days following intervention and days from close contact until a positive PCR or RAT for SARS-CoV-2. <b>Results:</b> A total of 536 participants registered for this trial. Of these, 86 met inclusion criteria and were randomised. 68 adhered to the trial protocol and were included in the analysis. A total of 11/36 (Ivermectin arm) and 11/32 (placebo arm) met the primary outcome. After controlling for age and prior SARS-CoV-2 infection, the estimate (95% confidence interval (95% CI)) of the effect of Ivermectin (compared to placebo) on the absolute value of the proportion of participants converting to a positive PCR or RAT was -0.051 (-0.26 to 0.16), <i>p</i> = 0.63. After controlling for prior SARS-CoV-2 infection, age, body mass index, hypertension and lung disease, the average treatment effect (Ivermectin versus placebo) on DAFS1-14 was 2.5 days (95%CI 1.1 to 4.5), <i>p</i> = 0.036, and for DAFS1-28, was 2.3 days (95% CI 0.7 to 3.3), <i>p</i> = 0.35. The mean (standard deviation) number of days from close contact until a positive PCR or RAT was 5.0 (4.1) days for the Ivermectin group versus 2.6 (0.8) days for the placebo group. After controlling for age and prior SARS-CoV-2 infection, the average treatment effect (95%CI), Ivermectin versus placebo, on days from close contact until a positive PCR or RAT was 2.3 days (95% CI 1.1 to 3.4), <i>p</i> = 0.033. <b>Conclusions:</b> We did not demonstrate that a single oral low dose of Ivermectin administered to asymptomatic adults within 72 h of close contact with a case of SARS-CoV-2 prevents conversion to a positive PCR or RAT. However, the trial had a small sample size and does not exclude a clinically meaningful effect of Ivermectin on conversion to a positive PCR or RAT. Amongst those who did convert to a positive PCR or RAT, the use of Ivermectin significantly lengthened the time from close contact to conversion and increased the number of days alive free of symptoms following intervention.</p>","PeriodicalId":19894,"journal":{"name":"Pharmaceutics","volume":"17 9","pages":""},"PeriodicalIF":5.5000,"publicationDate":"2025-09-16","publicationTypes":"Journal Article","fieldsOfStudy":null,"isOpenAccess":false,"openAccessPdf":"https://www.ncbi.nlm.nih.gov/pmc/articles/PMC12473430/pdf/","citationCount":"0","resultStr":"{\"title\":\"A Pilot, Randomised, Placebo-Controlled, Double-Blind Trial of a Single Oral Dose of Ivermectin for Post-Exposure Prophylaxis of SARS-CoV-2.\",\"authors\":\"Kylie M Wagstaff, Mark S Stein, Alan Herschtal, Jean-Jacques Rajter, Juliana Cepelowicz Rajter, Michele Sallaberger, Alexia Smileski, Amala Kanagalingam, David A Jans\",\"doi\":\"10.3390/pharmaceutics17091205\",\"DOIUrl\":null,\"url\":null,\"abstract\":\"<p><p><b>Background:</b> The efficacy of a single oral dose of Ivermectin as prophylaxis for SARS-CoV-2 is uncertain. This trial sought to evaluate the effectiveness of a single oral low dose of Ivermectin to prevent SARS-CoV-2 infection or reduce symptoms if infection did occur. <b>Methods:</b> Asymptomatic community-dwelling adults were enrolled in this study within 72 h of close contact with a case of SARS-CoV-2. Participants were randomised, stratified by vaccination status and exposure site, to a single oral 200 µg/kg dose of Ivermectin or placebo. The primary outcome was conversion to a positive polymerase chain reaction (PCR) or rapid antigen test (RAT) for SARS-CoV-2 within 14 days of close contact. Secondary outcomes were restricted to those who met the primary outcome. They included the following: days alive free of symptoms in the 14 (DAFS1-14) and 28 (DAFS1-28) days following intervention and days from close contact until a positive PCR or RAT for SARS-CoV-2. <b>Results:</b> A total of 536 participants registered for this trial. Of these, 86 met inclusion criteria and were randomised. 68 adhered to the trial protocol and were included in the analysis. A total of 11/36 (Ivermectin arm) and 11/32 (placebo arm) met the primary outcome. After controlling for age and prior SARS-CoV-2 infection, the estimate (95% confidence interval (95% CI)) of the effect of Ivermectin (compared to placebo) on the absolute value of the proportion of participants converting to a positive PCR or RAT was -0.051 (-0.26 to 0.16), <i>p</i> = 0.63. After controlling for prior SARS-CoV-2 infection, age, body mass index, hypertension and lung disease, the average treatment effect (Ivermectin versus placebo) on DAFS1-14 was 2.5 days (95%CI 1.1 to 4.5), <i>p</i> = 0.036, and for DAFS1-28, was 2.3 days (95% CI 0.7 to 3.3), <i>p</i> = 0.35. The mean (standard deviation) number of days from close contact until a positive PCR or RAT was 5.0 (4.1) days for the Ivermectin group versus 2.6 (0.8) days for the placebo group. After controlling for age and prior SARS-CoV-2 infection, the average treatment effect (95%CI), Ivermectin versus placebo, on days from close contact until a positive PCR or RAT was 2.3 days (95% CI 1.1 to 3.4), <i>p</i> = 0.033. <b>Conclusions:</b> We did not demonstrate that a single oral low dose of Ivermectin administered to asymptomatic adults within 72 h of close contact with a case of SARS-CoV-2 prevents conversion to a positive PCR or RAT. However, the trial had a small sample size and does not exclude a clinically meaningful effect of Ivermectin on conversion to a positive PCR or RAT. Amongst those who did convert to a positive PCR or RAT, the use of Ivermectin significantly lengthened the time from close contact to conversion and increased the number of days alive free of symptoms following intervention.</p>\",\"PeriodicalId\":19894,\"journal\":{\"name\":\"Pharmaceutics\",\"volume\":\"17 9\",\"pages\":\"\"},\"PeriodicalIF\":5.5000,\"publicationDate\":\"2025-09-16\",\"publicationTypes\":\"Journal Article\",\"fieldsOfStudy\":null,\"isOpenAccess\":false,\"openAccessPdf\":\"https://www.ncbi.nlm.nih.gov/pmc/articles/PMC12473430/pdf/\",\"citationCount\":\"0\",\"resultStr\":null,\"platform\":\"Semanticscholar\",\"paperid\":null,\"PeriodicalName\":\"Pharmaceutics\",\"FirstCategoryId\":\"3\",\"ListUrlMain\":\"https://doi.org/10.3390/pharmaceutics17091205\",\"RegionNum\":3,\"RegionCategory\":\"医学\",\"ArticlePicture\":[],\"TitleCN\":null,\"AbstractTextCN\":null,\"PMCID\":null,\"EPubDate\":\"\",\"PubModel\":\"\",\"JCR\":\"Q1\",\"JCRName\":\"PHARMACOLOGY & PHARMACY\",\"Score\":null,\"Total\":0}","platform":"Semanticscholar","paperid":null,"PeriodicalName":"Pharmaceutics","FirstCategoryId":"3","ListUrlMain":"https://doi.org/10.3390/pharmaceutics17091205","RegionNum":3,"RegionCategory":"医学","ArticlePicture":[],"TitleCN":null,"AbstractTextCN":null,"PMCID":null,"EPubDate":"","PubModel":"","JCR":"Q1","JCRName":"PHARMACOLOGY & PHARMACY","Score":null,"Total":0}
引用次数: 0

摘要

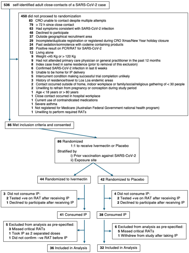
背景:单次口服伊维菌素预防SARS-CoV-2的效果尚不确定。本试验旨在评估单次口服低剂量伊维菌素预防SARS-CoV-2感染或在感染发生时减轻症状的有效性。方法:将与SARS-CoV-2病例密切接触72小时内无症状的社区居住成年人纳入本研究。受试者按接种状态和暴露部位随机分层,分别口服200µg/kg剂量的伊维菌素或安慰剂。主要终点是在密切接触后14天内转化为SARS-CoV-2聚合酶链反应(PCR)阳性或快速抗原检测(RAT)阳性。次要结局仅限于满足主要结局的患者。其中包括:干预后14天(DAFS1-14)和28天(DAFS1-28)内无症状存活的天数,以及从密切接触到SARS-CoV-2 PCR或RAT阳性的天数。结果:共有536名受试者注册参加该试验。其中86例符合纳入标准并随机分组。68人遵守试验方案并纳入分析。共有11/36(伊维菌素组)和11/32(安慰剂组)达到了主要终点。在控制年龄和既往SARS-CoV-2感染后,伊维菌素(与安慰剂相比)对转化为PCR或RAT阳性的参与者比例绝对值的影响的估计(95%置信区间(95% CI))为-0.051(-0.26至0.16),p = 0.63。在控制既往SARS-CoV-2感染、年龄、体重指数、高血压和肺部疾病后,DAFS1-14的平均治疗效果(伊维菌素与安慰剂相比)为2.5天(95%CI 1.1至4.5),p = 0.036, DAFS1-28的平均治疗效果为2.3天(95%CI 0.7至3.3),p = 0.35。从密切接触到PCR或RAT阳性的平均(标准偏差)天数,伊维菌素组为5.0(4.1)天,而安慰剂组为2.6(0.8)天。在控制年龄和既往SARS-CoV-2感染后,从密切接触到PCR或RAT阳性的天数,伊维菌素与安慰剂的平均治疗效果(95%CI)为2.3天(95%CI 1.1至3.4),p = 0.033。结论:我们没有证明在与SARS-CoV-2病例密切接触72小时内给无症状的成年人单次口服低剂量伊维菌素可以阻止转化为PCR或RAT阳性。然而,该试验样本量较小,不排除伊维菌素对转化为PCR或RAT阳性有临床意义的影响。在那些确实转化为PCR或RAT阳性的患者中,伊维菌素的使用显著延长了从密切接触到转化的时间,并增加了干预后无症状存活的天数。
本文章由计算机程序翻译,如有差异,请以英文原文为准。

A Pilot, Randomised, Placebo-Controlled, Double-Blind Trial of a Single Oral Dose of Ivermectin for Post-Exposure Prophylaxis of SARS-CoV-2.

A Pilot, Randomised, Placebo-Controlled, Double-Blind Trial of a Single Oral Dose of Ivermectin for Post-Exposure Prophylaxis of SARS-CoV-2.

A Pilot, Randomised, Placebo-Controlled, Double-Blind Trial of a Single Oral Dose of Ivermectin for Post-Exposure Prophylaxis of SARS-CoV-2.

A Pilot, Randomised, Placebo-Controlled, Double-Blind Trial of a Single Oral Dose of Ivermectin for Post-Exposure Prophylaxis of SARS-CoV-2.

Background: The efficacy of a single oral dose of Ivermectin as prophylaxis for SARS-CoV-2 is uncertain. This trial sought to evaluate the effectiveness of a single oral low dose of Ivermectin to prevent SARS-CoV-2 infection or reduce symptoms if infection did occur. Methods: Asymptomatic community-dwelling adults were enrolled in this study within 72 h of close contact with a case of SARS-CoV-2. Participants were randomised, stratified by vaccination status and exposure site, to a single oral 200 µg/kg dose of Ivermectin or placebo. The primary outcome was conversion to a positive polymerase chain reaction (PCR) or rapid antigen test (RAT) for SARS-CoV-2 within 14 days of close contact. Secondary outcomes were restricted to those who met the primary outcome. They included the following: days alive free of symptoms in the 14 (DAFS1-14) and 28 (DAFS1-28) days following intervention and days from close contact until a positive PCR or RAT for SARS-CoV-2. Results: A total of 536 participants registered for this trial. Of these, 86 met inclusion criteria and were randomised. 68 adhered to the trial protocol and were included in the analysis. A total of 11/36 (Ivermectin arm) and 11/32 (placebo arm) met the primary outcome. After controlling for age and prior SARS-CoV-2 infection, the estimate (95% confidence interval (95% CI)) of the effect of Ivermectin (compared to placebo) on the absolute value of the proportion of participants converting to a positive PCR or RAT was -0.051 (-0.26 to 0.16), p = 0.63. After controlling for prior SARS-CoV-2 infection, age, body mass index, hypertension and lung disease, the average treatment effect (Ivermectin versus placebo) on DAFS1-14 was 2.5 days (95%CI 1.1 to 4.5), p = 0.036, and for DAFS1-28, was 2.3 days (95% CI 0.7 to 3.3), p = 0.35. The mean (standard deviation) number of days from close contact until a positive PCR or RAT was 5.0 (4.1) days for the Ivermectin group versus 2.6 (0.8) days for the placebo group. After controlling for age and prior SARS-CoV-2 infection, the average treatment effect (95%CI), Ivermectin versus placebo, on days from close contact until a positive PCR or RAT was 2.3 days (95% CI 1.1 to 3.4), p = 0.033. Conclusions: We did not demonstrate that a single oral low dose of Ivermectin administered to asymptomatic adults within 72 h of close contact with a case of SARS-CoV-2 prevents conversion to a positive PCR or RAT. However, the trial had a small sample size and does not exclude a clinically meaningful effect of Ivermectin on conversion to a positive PCR or RAT. Amongst those who did convert to a positive PCR or RAT, the use of Ivermectin significantly lengthened the time from close contact to conversion and increased the number of days alive free of symptoms following intervention.

求助全文
通过发布文献求助,成功后即可免费获取论文全文。 去求助
来源期刊
Pharmaceutics
Pharmaceutics Pharmacology, Toxicology and Pharmaceutics-Pharmaceutical Science
CiteScore
7.90
自引率
11.10%
发文量
2379
审稿时长
16.41 days
期刊介绍: Pharmaceutics (ISSN 1999-4923) is an open access journal which provides an advanced forum for the science and technology of pharmaceutics and biopharmaceutics. It publishes reviews, regular research papers, communications,  and short notes. Covered topics include pharmacokinetics, toxicokinetics, pharmacodynamics, pharmacogenetics and pharmacogenomics, and pharmaceutical formulation. Our aim is to encourage scientists to publish their experimental and theoretical details in as much detail as possible. There is no restriction on the length of the papers. The full experimental details must be provided so that the results can be reproduced.
×
引用
GB/T 7714-2015
复制
MLA
复制
APA
复制
导出至
BibTeX EndNote RefMan NoteFirst NoteExpress
×
提示
您的信息不完整,为了账户安全,请先补充。
现在去补充
×
提示
您因"违规操作"
具体请查看互助需知
我知道了
×
提示
确定
请完成安全验证×
copy
已复制链接
快去分享给好友吧!
我知道了
右上角分享
点击右上角分享
0
联系我们:info@booksci.cn Book学术提供免费学术资源搜索服务,方便国内外学者检索中英文文献。致力于提供最便捷和优质的服务体验。 Copyright © 2023 布克学术 All rights reserved.
京ICP备2023020795号-1
ghs 京公网安备 11010802042870号
Book学术文献互助
Book学术文献互助群
群 号:604180095
Book学术官方微信