慢性冠状动脉综合征患者肾功能损害。

IF 2.9 3区 医学 Q1 MEDICINE, GENERAL & INTERNAL
Katarzyna Charkiewicz-Szeremeta, Emilia Sawicka-Śmiarowska, Danuta Czarnecka, Marlena Dubatówka, Zbigniew Gąsior, Tomasz Hryszko, Piotr Jankowski, Małgorzata Knapp, Dariusz A Kosior, Aldona Kubica, Klaudia Mickiewicz, Andrzej Pająk, Marek Rajzer, Marek Styczkiewicz, Renata Wolfshaut-Wolak, Karol A Kamiński
{"title":"慢性冠状动脉综合征患者肾功能损害。","authors":"Katarzyna Charkiewicz-Szeremeta, Emilia Sawicka-Śmiarowska, Danuta Czarnecka, Marlena Dubatówka, Zbigniew Gąsior, Tomasz Hryszko, Piotr Jankowski, Małgorzata Knapp, Dariusz A Kosior, Aldona Kubica, Klaudia Mickiewicz, Andrzej Pająk, Marek Rajzer, Marek Styczkiewicz, Renata Wolfshaut-Wolak, Karol A Kamiński","doi":"10.3390/jcm14186607","DOIUrl":null,"url":null,"abstract":"<p><p><b>Background</b>: Kidney function is critical for cardiovascular health, and its appropriate assessment entails proper determination of prognosis in patients with chronic coronary syndromes (CCSs). However, assessment of the urinary spot albumin to creatinine ratio (uACR) is often overlooked, whereas it is crucial for determination of chronic kidney disease (CKD). This study assesses the prevalence of impaired kidney function in patients with CCS based on their eGFR and albuminuria. <b>Methods and results</b>: This study comprised a total of 1957 patients from seven regions in Poland, aged ≤ 80 years, who, 6-18 months earlier, were hospitalized for acute coronary syndrome or elective myocardial revascularization. Complete uACR and eGFR data were obtained from 1152 patients (median age was 67 years, and 71.23% of participants were male). The finding of albuminuria reclassified the CKD in 17% (200) patients, suggesting that a patient's risk cannot be ascertained only based on their eGFR result. CKD reclassification by albuminuria was observed in older (<i>p</i> < 0.001) patients with higher BPs (<i>p</i> = 0.008), BPd (<i>p</i> = 0.038), HR (<i>p</i> < 0.001), fasting glucose (<i>p</i> < 0.001), and HbA1c (<i>p</i> < 0.001) and decreased HDL concentration (<i>p</i> = 0.001); hence, this is the population where uACR assessment is particularly valuable. <b>Conclusions</b>: In a notable percentage of patients with CCS, their kidney function classification is changed based on their albuminuria. Therefore, it is important to include albuminuria in the routine assessment of patients with cardiovascular disease.</p>","PeriodicalId":15533,"journal":{"name":"Journal of Clinical Medicine","volume":"14 18","pages":""},"PeriodicalIF":2.9000,"publicationDate":"2025-09-19","publicationTypes":"Journal Article","fieldsOfStudy":null,"isOpenAccess":false,"openAccessPdf":"https://www.ncbi.nlm.nih.gov/pmc/articles/PMC12470754/pdf/","citationCount":"0","resultStr":"{\"title\":\"Impairment of Kidney Function in Patients with Chronic Coronary Syndromes.\",\"authors\":\"Katarzyna Charkiewicz-Szeremeta, Emilia Sawicka-Śmiarowska, Danuta Czarnecka, Marlena Dubatówka, Zbigniew Gąsior, Tomasz Hryszko, Piotr Jankowski, Małgorzata Knapp, Dariusz A Kosior, Aldona Kubica, Klaudia Mickiewicz, Andrzej Pająk, Marek Rajzer, Marek Styczkiewicz, Renata Wolfshaut-Wolak, Karol A Kamiński\",\"doi\":\"10.3390/jcm14186607\",\"DOIUrl\":null,\"url\":null,\"abstract\":\"<p><p><b>Background</b>: Kidney function is critical for cardiovascular health, and its appropriate assessment entails proper determination of prognosis in patients with chronic coronary syndromes (CCSs). However, assessment of the urinary spot albumin to creatinine ratio (uACR) is often overlooked, whereas it is crucial for determination of chronic kidney disease (CKD). This study assesses the prevalence of impaired kidney function in patients with CCS based on their eGFR and albuminuria. <b>Methods and results</b>: This study comprised a total of 1957 patients from seven regions in Poland, aged ≤ 80 years, who, 6-18 months earlier, were hospitalized for acute coronary syndrome or elective myocardial revascularization. Complete uACR and eGFR data were obtained from 1152 patients (median age was 67 years, and 71.23% of participants were male). The finding of albuminuria reclassified the CKD in 17% (200) patients, suggesting that a patient's risk cannot be ascertained only based on their eGFR result. CKD reclassification by albuminuria was observed in older (<i>p</i> < 0.001) patients with higher BPs (<i>p</i> = 0.008), BPd (<i>p</i> = 0.038), HR (<i>p</i> < 0.001), fasting glucose (<i>p</i> < 0.001), and HbA1c (<i>p</i> < 0.001) and decreased HDL concentration (<i>p</i> = 0.001); hence, this is the population where uACR assessment is particularly valuable. <b>Conclusions</b>: In a notable percentage of patients with CCS, their kidney function classification is changed based on their albuminuria. Therefore, it is important to include albuminuria in the routine assessment of patients with cardiovascular disease.</p>\",\"PeriodicalId\":15533,\"journal\":{\"name\":\"Journal of Clinical Medicine\",\"volume\":\"14 18\",\"pages\":\"\"},\"PeriodicalIF\":2.9000,\"publicationDate\":\"2025-09-19\",\"publicationTypes\":\"Journal Article\",\"fieldsOfStudy\":null,\"isOpenAccess\":false,\"openAccessPdf\":\"https://www.ncbi.nlm.nih.gov/pmc/articles/PMC12470754/pdf/\",\"citationCount\":\"0\",\"resultStr\":null,\"platform\":\"Semanticscholar\",\"paperid\":null,\"PeriodicalName\":\"Journal of Clinical Medicine\",\"FirstCategoryId\":\"3\",\"ListUrlMain\":\"https://doi.org/10.3390/jcm14186607\",\"RegionNum\":3,\"RegionCategory\":\"医学\",\"ArticlePicture\":[],\"TitleCN\":null,\"AbstractTextCN\":null,\"PMCID\":null,\"EPubDate\":\"\",\"PubModel\":\"\",\"JCR\":\"Q1\",\"JCRName\":\"MEDICINE, GENERAL & INTERNAL\",\"Score\":null,\"Total\":0}","platform":"Semanticscholar","paperid":null,"PeriodicalName":"Journal of Clinical Medicine","FirstCategoryId":"3","ListUrlMain":"https://doi.org/10.3390/jcm14186607","RegionNum":3,"RegionCategory":"医学","ArticlePicture":[],"TitleCN":null,"AbstractTextCN":null,"PMCID":null,"EPubDate":"","PubModel":"","JCR":"Q1","JCRName":"MEDICINE, GENERAL & INTERNAL","Score":null,"Total":0}
引用次数: 0

摘要

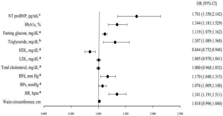
背景:肾功能对心血管健康至关重要,对慢性冠状动脉综合征(CCSs)患者肾功能的适当评估需要正确确定预后。然而,尿斑白蛋白与肌酐比值(uACR)的评估常常被忽视,而它对慢性肾脏疾病(CKD)的诊断至关重要。本研究基于eGFR和蛋白尿评估了CCS患者肾功能受损的发生率。方法和结果:本研究共纳入1957例来自波兰7个地区的患者,年龄≤80岁,6-18个月前因急性冠状动脉综合征或择期心肌血管重建术住院。完整的uACR和eGFR数据来自1152例患者(中位年龄为67岁,71.23%的参与者为男性)。蛋白尿的发现对17%(200)例患者的CKD进行了重新分类,这表明患者的风险不能仅根据其eGFR结果来确定。在血压(p = 0.008)、BPd (p = 0.038)、HR (p < 0.001)、空腹血糖(p < 0.001)和HbA1c (p < 0.001)较高、HDL浓度降低(p = 0.001)的老年(p < 0.001)患者中,通过蛋白尿重新分类CKD;因此,这类人群的uACR评估尤其有价值。结论:在相当比例的CCS患者中,他们的肾功能分级是根据他们的蛋白尿而改变的。因此,将蛋白尿纳入心血管疾病患者的常规评估是很重要的。
本文章由计算机程序翻译,如有差异,请以英文原文为准。

Impairment of Kidney Function in Patients with Chronic Coronary Syndromes.

Impairment of Kidney Function in Patients with Chronic Coronary Syndromes.

Impairment of Kidney Function in Patients with Chronic Coronary Syndromes.

Impairment of Kidney Function in Patients with Chronic Coronary Syndromes.

Background: Kidney function is critical for cardiovascular health, and its appropriate assessment entails proper determination of prognosis in patients with chronic coronary syndromes (CCSs). However, assessment of the urinary spot albumin to creatinine ratio (uACR) is often overlooked, whereas it is crucial for determination of chronic kidney disease (CKD). This study assesses the prevalence of impaired kidney function in patients with CCS based on their eGFR and albuminuria. Methods and results: This study comprised a total of 1957 patients from seven regions in Poland, aged ≤ 80 years, who, 6-18 months earlier, were hospitalized for acute coronary syndrome or elective myocardial revascularization. Complete uACR and eGFR data were obtained from 1152 patients (median age was 67 years, and 71.23% of participants were male). The finding of albuminuria reclassified the CKD in 17% (200) patients, suggesting that a patient's risk cannot be ascertained only based on their eGFR result. CKD reclassification by albuminuria was observed in older (p < 0.001) patients with higher BPs (p = 0.008), BPd (p = 0.038), HR (p < 0.001), fasting glucose (p < 0.001), and HbA1c (p < 0.001) and decreased HDL concentration (p = 0.001); hence, this is the population where uACR assessment is particularly valuable. Conclusions: In a notable percentage of patients with CCS, their kidney function classification is changed based on their albuminuria. Therefore, it is important to include albuminuria in the routine assessment of patients with cardiovascular disease.

求助全文
通过发布文献求助,成功后即可免费获取论文全文。 去求助
来源期刊
Journal of Clinical Medicine
Journal of Clinical Medicine MEDICINE, GENERAL & INTERNAL-
CiteScore
5.70
自引率
7.70%
发文量
6468
审稿时长
16.32 days
期刊介绍: Journal of Clinical Medicine (ISSN 2077-0383), is an international scientific open access journal, providing a platform for advances in health care/clinical practices, the study of direct observation of patients and general medical research. This multi-disciplinary journal is aimed at a wide audience of medical researchers and healthcare professionals. Unique features of this journal: manuscripts regarding original research and ideas will be particularly welcomed.JCM also accepts reviews, communications, and short notes. There is no limit to publication length: our aim is to encourage scientists to publish their experimental and theoretical results in as much detail as possible.
×
引用
GB/T 7714-2015
复制
MLA
复制
APA
复制
导出至
BibTeX EndNote RefMan NoteFirst NoteExpress
×
提示
您的信息不完整,为了账户安全,请先补充。
现在去补充
×
提示
您因"违规操作"
具体请查看互助需知
我知道了
×
提示
确定
请完成安全验证×
copy
已复制链接
快去分享给好友吧!
我知道了
右上角分享
点击右上角分享
0
联系我们:info@booksci.cn Book学术提供免费学术资源搜索服务,方便国内外学者检索中英文文献。致力于提供最便捷和优质的服务体验。 Copyright © 2023 布克学术 All rights reserved.
京ICP备2023020795号-1
ghs 京公网安备 11010802042870号
Book学术文献互助
Book学术文献互助群
群 号:604180095
Book学术官方微信