老年人肌肉无力和身体衰退的跨学科风险预测:整合健康和临床特征的社会决定因素的机器学习模型。

IF 1.5 4区 医学 Q4 MEDICINE, RESEARCH & EXPERIMENTAL
Journal of International Medical Research Pub Date : 2025-09-01 Epub Date: 2025-09-26 DOI:10.1177/03000605251379211
Bowen Li, Wenjing Li, Chunxiao Wan
{"title":"老年人肌肉无力和身体衰退的跨学科风险预测:整合健康和临床特征的社会决定因素的机器学习模型。","authors":"Bowen Li, Wenjing Li, Chunxiao Wan","doi":"10.1177/03000605251379211","DOIUrl":null,"url":null,"abstract":"<p><p>BackgroundWith the aging population, muscle weakness and physical decline are pressing public health concerns. Health outcomes are influenced by both physiological factors and social determinants of health; however, the interplay between these remains underexplored.ObjectiveThis study aimed to identify risk factors for muscle weakness and physical decline in older adults, integrating physiological and social determinants of health variables, and develop a predictive model for early risk assessment.MethodsUsing prospective China Health and Retirement Longitudinal Study data with 9-year follow-up data (baseline predictors from 2011, outcomes from 2020), logistic regression, recursive feature elimination, and XGBoost algorithms were applied to construct predictive models.ResultsKey risk factors included age, ethnicity, cognitive function, and physical activity. Social determinants of health variables such as marital status, life satisfaction, and educational level were significant predictors. SHapley Additive exPlanations analysis revealed that social determinants of health variables significantly enhanced model performance and interpretability.ConclusionIntegrating social determinants of health with clinical indicators improves the prediction of muscle weakness and physical decline in older adults. The study highlights the need for personalized interventions that consider both physiological and social factors, offering valuable insights for public health policy and health management in the aging population.</p>","PeriodicalId":16129,"journal":{"name":"Journal of International Medical Research","volume":"53 9","pages":"3000605251379211"},"PeriodicalIF":1.5000,"publicationDate":"2025-09-01","publicationTypes":"Journal Article","fieldsOfStudy":null,"isOpenAccess":false,"openAccessPdf":"https://www.ncbi.nlm.nih.gov/pmc/articles/PMC12475765/pdf/","citationCount":"0","resultStr":"{\"title\":\"Cross-disciplinary risk prediction for muscle weakness and physical decline in older adults: A machine learning model integrating social determinants of health and clinical characteristics.\",\"authors\":\"Bowen Li, Wenjing Li, Chunxiao Wan\",\"doi\":\"10.1177/03000605251379211\",\"DOIUrl\":null,\"url\":null,\"abstract\":\"<p><p>BackgroundWith the aging population, muscle weakness and physical decline are pressing public health concerns. Health outcomes are influenced by both physiological factors and social determinants of health; however, the interplay between these remains underexplored.ObjectiveThis study aimed to identify risk factors for muscle weakness and physical decline in older adults, integrating physiological and social determinants of health variables, and develop a predictive model for early risk assessment.MethodsUsing prospective China Health and Retirement Longitudinal Study data with 9-year follow-up data (baseline predictors from 2011, outcomes from 2020), logistic regression, recursive feature elimination, and XGBoost algorithms were applied to construct predictive models.ResultsKey risk factors included age, ethnicity, cognitive function, and physical activity. Social determinants of health variables such as marital status, life satisfaction, and educational level were significant predictors. SHapley Additive exPlanations analysis revealed that social determinants of health variables significantly enhanced model performance and interpretability.ConclusionIntegrating social determinants of health with clinical indicators improves the prediction of muscle weakness and physical decline in older adults. The study highlights the need for personalized interventions that consider both physiological and social factors, offering valuable insights for public health policy and health management in the aging population.</p>\",\"PeriodicalId\":16129,\"journal\":{\"name\":\"Journal of International Medical Research\",\"volume\":\"53 9\",\"pages\":\"3000605251379211\"},\"PeriodicalIF\":1.5000,\"publicationDate\":\"2025-09-01\",\"publicationTypes\":\"Journal Article\",\"fieldsOfStudy\":null,\"isOpenAccess\":false,\"openAccessPdf\":\"https://www.ncbi.nlm.nih.gov/pmc/articles/PMC12475765/pdf/\",\"citationCount\":\"0\",\"resultStr\":null,\"platform\":\"Semanticscholar\",\"paperid\":null,\"PeriodicalName\":\"Journal of International Medical Research\",\"FirstCategoryId\":\"3\",\"ListUrlMain\":\"https://doi.org/10.1177/03000605251379211\",\"RegionNum\":4,\"RegionCategory\":\"医学\",\"ArticlePicture\":[],\"TitleCN\":null,\"AbstractTextCN\":null,\"PMCID\":null,\"EPubDate\":\"2025/9/26 0:00:00\",\"PubModel\":\"Epub\",\"JCR\":\"Q4\",\"JCRName\":\"MEDICINE, RESEARCH & EXPERIMENTAL\",\"Score\":null,\"Total\":0}","platform":"Semanticscholar","paperid":null,"PeriodicalName":"Journal of International Medical Research","FirstCategoryId":"3","ListUrlMain":"https://doi.org/10.1177/03000605251379211","RegionNum":4,"RegionCategory":"医学","ArticlePicture":[],"TitleCN":null,"AbstractTextCN":null,"PMCID":null,"EPubDate":"2025/9/26 0:00:00","PubModel":"Epub","JCR":"Q4","JCRName":"MEDICINE, RESEARCH & EXPERIMENTAL","Score":null,"Total":0}
引用次数: 0

摘要

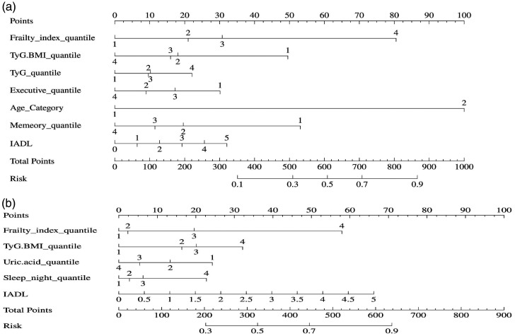
随着人口的老龄化,肌肉无力和体质下降是迫在眉睫的公共卫生问题。健康结果受到生理因素和健康的社会决定因素的影响;然而,这些因素之间的相互作用仍未得到充分探讨。目的本研究旨在识别老年人肌肉无力和身体衰退的危险因素,整合健康变量的生理和社会决定因素,并建立早期风险评估的预测模型。方法采用前瞻性中国健康与退休纵向研究数据,随访9年(基线预测指标为2011年,结局指标为2020年),采用logistic回归、递归特征消去和XGBoost算法构建预测模型。结果主要危险因素包括年龄、种族、认知功能和身体活动。健康变量的社会决定因素,如婚姻状况、生活满意度和教育水平是显著的预测因素。SHapley加性解释分析显示,健康变量的社会决定因素显著提高了模型的性能和可解释性。结论将健康的社会决定因素与临床指标相结合,可以提高对老年人肌肉无力和体质下降的预测能力。该研究强调了考虑生理和社会因素的个性化干预的必要性,为公共卫生政策和老龄化人口的健康管理提供了有价值的见解。
本文章由计算机程序翻译,如有差异,请以英文原文为准。

Cross-disciplinary risk prediction for muscle weakness and physical decline in older adults: A machine learning model integrating social determinants of health and clinical characteristics.

Cross-disciplinary risk prediction for muscle weakness and physical decline in older adults: A machine learning model integrating social determinants of health and clinical characteristics.

Cross-disciplinary risk prediction for muscle weakness and physical decline in older adults: A machine learning model integrating social determinants of health and clinical characteristics.

Cross-disciplinary risk prediction for muscle weakness and physical decline in older adults: A machine learning model integrating social determinants of health and clinical characteristics.

BackgroundWith the aging population, muscle weakness and physical decline are pressing public health concerns. Health outcomes are influenced by both physiological factors and social determinants of health; however, the interplay between these remains underexplored.ObjectiveThis study aimed to identify risk factors for muscle weakness and physical decline in older adults, integrating physiological and social determinants of health variables, and develop a predictive model for early risk assessment.MethodsUsing prospective China Health and Retirement Longitudinal Study data with 9-year follow-up data (baseline predictors from 2011, outcomes from 2020), logistic regression, recursive feature elimination, and XGBoost algorithms were applied to construct predictive models.ResultsKey risk factors included age, ethnicity, cognitive function, and physical activity. Social determinants of health variables such as marital status, life satisfaction, and educational level were significant predictors. SHapley Additive exPlanations analysis revealed that social determinants of health variables significantly enhanced model performance and interpretability.ConclusionIntegrating social determinants of health with clinical indicators improves the prediction of muscle weakness and physical decline in older adults. The study highlights the need for personalized interventions that consider both physiological and social factors, offering valuable insights for public health policy and health management in the aging population.

求助全文
通过发布文献求助,成功后即可免费获取论文全文。 去求助
来源期刊
CiteScore
3.20
自引率
0.00%
发文量
555
审稿时长
1 months
期刊介绍: _Journal of International Medical Research_ is a leading international journal for rapid publication of original medical, pre-clinical and clinical research, reviews, preliminary and pilot studies on a page charge basis. As a service to authors, every article accepted by peer review will be given a full technical edit to make papers as accessible and readable to the international medical community as rapidly as possible. Once the technical edit queries have been answered to the satisfaction of the journal, the paper will be published and made available freely to everyone under a creative commons licence. Symposium proceedings, summaries of presentations or collections of medical, pre-clinical or clinical data on a specific topic are welcome for publication as supplements. Print ISSN: 0300-0605
×
引用
GB/T 7714-2015
复制
MLA
复制
APA
复制
导出至
BibTeX EndNote RefMan NoteFirst NoteExpress
×
提示
您的信息不完整,为了账户安全,请先补充。
现在去补充
×
提示
您因"违规操作"
具体请查看互助需知
我知道了
×
提示
确定
请完成安全验证×
copy
已复制链接
快去分享给好友吧!
我知道了
右上角分享
点击右上角分享
0
联系我们:info@booksci.cn Book学术提供免费学术资源搜索服务,方便国内外学者检索中英文文献。致力于提供最便捷和优质的服务体验。 Copyright © 2023 布克学术 All rights reserved.
京ICP备2023020795号-1
ghs 京公网安备 11010802042870号
Book学术文献互助
Book学术文献互助群
群 号:604180095
Book学术官方微信