成人的兰斯-亚当斯综合征或慢性缺氧后肌阵挛:系统的文献综述。

IF 4.5 Q1 CLINICAL NEUROLOGY
Brain communications Pub Date : 2025-09-09 eCollection Date: 2025-01-01 DOI:10.1093/braincomms/fcaf329
Geoffroy Vellieux, Emmanuelle Apartis, Vincent Navarro
{"title":"成人的兰斯-亚当斯综合征或慢性缺氧后肌阵挛:系统的文献综述。","authors":"Geoffroy Vellieux, Emmanuelle Apartis, Vincent Navarro","doi":"10.1093/braincomms/fcaf329","DOIUrl":null,"url":null,"abstract":"<p><p>Lance-Adams syndrome, or chronic post-hypoxic myoclonus, is a disabling chronic myoclonic disorder occurring in survivors of brain hypoxic events. Using a systematic methodology for literature search and data acquisition, we extensively reviewed all published cases of Lance-Adams syndrome since the first original patients were described by JW Lance and RD Adams in 1963. We analysed the available data of 272 patients extracted from the 153 included studies to summarize the natural history of Lance-Adams syndrome, outline the full spectrum of this disorder and deepen our understanding of its underlying mechanisms. Two-thirds of patients suffered from a respiratory hypoxic leading event. The main causes of anoxia were peri-surgery and anaesthetic accidents, asthma attacks/bronchospasm, cardiac disorders and intoxications/drug overdoses. Many patients exhibited a 'pure' Lance-Adams syndrome, characterized by multi-focal action-induced myoclonic jerks predominant to distal limbs. Morphologic brain imaging did not show any specific abnormalities. Neurophysiological evaluations, including EEG recordings, polymyography of myoclonus and jerk-locked back averaging of myoclonus, revealed features of cortical myoclonus in the majority of patients. Both EEG, showing epileptiform discharges on the frontal and central median regions, and brain metabolism imaging, showing hypometabolism on the pericentral regions, indicated that myoclonus in Lance-Adams syndrome originates within the motor cortex. Some anti-seizure medications have shown some effectiveness and certain neuromodulation techniques have promising effects.</p>","PeriodicalId":93915,"journal":{"name":"Brain communications","volume":"7 5","pages":"fcaf329"},"PeriodicalIF":4.5000,"publicationDate":"2025-09-09","publicationTypes":"Journal Article","fieldsOfStudy":null,"isOpenAccess":false,"openAccessPdf":"https://www.ncbi.nlm.nih.gov/pmc/articles/PMC12448935/pdf/","citationCount":"0","resultStr":"{\"title\":\"Lance-Adams syndrome or chronic post-hypoxic myoclonus in adults: a systematic literature review.\",\"authors\":\"Geoffroy Vellieux, Emmanuelle Apartis, Vincent Navarro\",\"doi\":\"10.1093/braincomms/fcaf329\",\"DOIUrl\":null,\"url\":null,\"abstract\":\"<p><p>Lance-Adams syndrome, or chronic post-hypoxic myoclonus, is a disabling chronic myoclonic disorder occurring in survivors of brain hypoxic events. Using a systematic methodology for literature search and data acquisition, we extensively reviewed all published cases of Lance-Adams syndrome since the first original patients were described by JW Lance and RD Adams in 1963. We analysed the available data of 272 patients extracted from the 153 included studies to summarize the natural history of Lance-Adams syndrome, outline the full spectrum of this disorder and deepen our understanding of its underlying mechanisms. Two-thirds of patients suffered from a respiratory hypoxic leading event. The main causes of anoxia were peri-surgery and anaesthetic accidents, asthma attacks/bronchospasm, cardiac disorders and intoxications/drug overdoses. Many patients exhibited a 'pure' Lance-Adams syndrome, characterized by multi-focal action-induced myoclonic jerks predominant to distal limbs. Morphologic brain imaging did not show any specific abnormalities. Neurophysiological evaluations, including EEG recordings, polymyography of myoclonus and jerk-locked back averaging of myoclonus, revealed features of cortical myoclonus in the majority of patients. Both EEG, showing epileptiform discharges on the frontal and central median regions, and brain metabolism imaging, showing hypometabolism on the pericentral regions, indicated that myoclonus in Lance-Adams syndrome originates within the motor cortex. Some anti-seizure medications have shown some effectiveness and certain neuromodulation techniques have promising effects.</p>\",\"PeriodicalId\":93915,\"journal\":{\"name\":\"Brain communications\",\"volume\":\"7 5\",\"pages\":\"fcaf329\"},\"PeriodicalIF\":4.5000,\"publicationDate\":\"2025-09-09\",\"publicationTypes\":\"Journal Article\",\"fieldsOfStudy\":null,\"isOpenAccess\":false,\"openAccessPdf\":\"https://www.ncbi.nlm.nih.gov/pmc/articles/PMC12448935/pdf/\",\"citationCount\":\"0\",\"resultStr\":null,\"platform\":\"Semanticscholar\",\"paperid\":null,\"PeriodicalName\":\"Brain communications\",\"FirstCategoryId\":\"1085\",\"ListUrlMain\":\"https://doi.org/10.1093/braincomms/fcaf329\",\"RegionNum\":0,\"RegionCategory\":null,\"ArticlePicture\":[],\"TitleCN\":null,\"AbstractTextCN\":null,\"PMCID\":null,\"EPubDate\":\"2025/1/1 0:00:00\",\"PubModel\":\"eCollection\",\"JCR\":\"Q1\",\"JCRName\":\"CLINICAL NEUROLOGY\",\"Score\":null,\"Total\":0}","platform":"Semanticscholar","paperid":null,"PeriodicalName":"Brain communications","FirstCategoryId":"1085","ListUrlMain":"https://doi.org/10.1093/braincomms/fcaf329","RegionNum":0,"RegionCategory":null,"ArticlePicture":[],"TitleCN":null,"AbstractTextCN":null,"PMCID":null,"EPubDate":"2025/1/1 0:00:00","PubModel":"eCollection","JCR":"Q1","JCRName":"CLINICAL NEUROLOGY","Score":null,"Total":0}
引用次数: 0

摘要

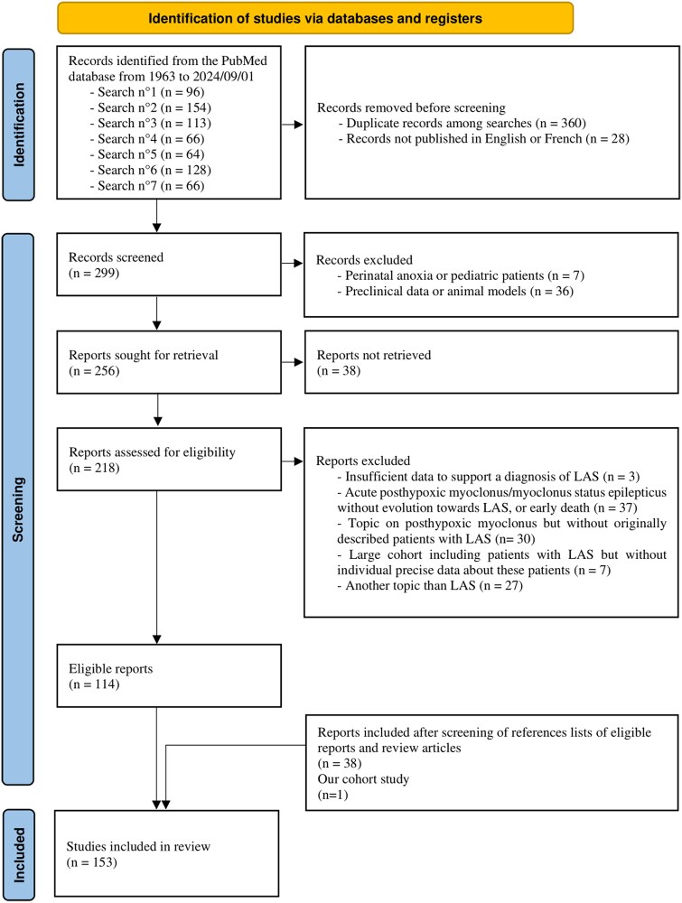
兰斯-亚当斯综合征,或慢性缺氧后肌阵挛,是一种致残的慢性肌阵挛性疾病,发生在脑缺氧事件的幸存者中。采用系统的文献检索和数据获取方法,我们广泛回顾了自1963年JW Lance和RD Adams首次描述兰斯-亚当斯综合征以来所有已发表的病例。我们分析了从153项纳入研究中提取的272例患者的可用数据,以总结兰斯-亚当斯综合征的自然历史,概述这种疾病的全部谱系,并加深我们对其潜在机制的理解。三分之二的患者发生呼吸缺氧。缺氧的主要原因是围手术期和麻醉事故、哮喘发作/支气管痉挛、心脏疾病和中毒/药物过量。许多患者表现为“纯粹的”兰斯-亚当斯综合征,其特征是多灶性动作诱导的肌阵挛抽搐,以远端肢体为主。脑形态成像未见任何特殊异常。神经生理学评估,包括脑电图记录,肌阵挛的多肌图和肌阵挛的抽搐锁回平均,揭示了大多数患者的皮质肌阵挛特征。脑电图显示额叶和中央正中区出现癫痫样放电,脑代谢成像显示中央周围区代谢低下,表明兰斯-亚当斯综合征的肌阵挛起源于运动皮层。一些抗癫痫药物已经显示出一定的效果,某些神经调节技术也有很好的效果。
本文章由计算机程序翻译,如有差异,请以英文原文为准。

Lance-Adams syndrome or chronic post-hypoxic myoclonus in adults: a systematic literature review.

Lance-Adams syndrome or chronic post-hypoxic myoclonus in adults: a systematic literature review.

Lance-Adams syndrome or chronic post-hypoxic myoclonus in adults: a systematic literature review.

Lance-Adams syndrome or chronic post-hypoxic myoclonus in adults: a systematic literature review.

Lance-Adams syndrome, or chronic post-hypoxic myoclonus, is a disabling chronic myoclonic disorder occurring in survivors of brain hypoxic events. Using a systematic methodology for literature search and data acquisition, we extensively reviewed all published cases of Lance-Adams syndrome since the first original patients were described by JW Lance and RD Adams in 1963. We analysed the available data of 272 patients extracted from the 153 included studies to summarize the natural history of Lance-Adams syndrome, outline the full spectrum of this disorder and deepen our understanding of its underlying mechanisms. Two-thirds of patients suffered from a respiratory hypoxic leading event. The main causes of anoxia were peri-surgery and anaesthetic accidents, asthma attacks/bronchospasm, cardiac disorders and intoxications/drug overdoses. Many patients exhibited a 'pure' Lance-Adams syndrome, characterized by multi-focal action-induced myoclonic jerks predominant to distal limbs. Morphologic brain imaging did not show any specific abnormalities. Neurophysiological evaluations, including EEG recordings, polymyography of myoclonus and jerk-locked back averaging of myoclonus, revealed features of cortical myoclonus in the majority of patients. Both EEG, showing epileptiform discharges on the frontal and central median regions, and brain metabolism imaging, showing hypometabolism on the pericentral regions, indicated that myoclonus in Lance-Adams syndrome originates within the motor cortex. Some anti-seizure medications have shown some effectiveness and certain neuromodulation techniques have promising effects.

求助全文
通过发布文献求助,成功后即可免费获取论文全文。 去求助
来源期刊
CiteScore
7.00
自引率
0.00%
发文量
0
审稿时长
6 weeks
×
引用
GB/T 7714-2015
复制
MLA
复制
APA
复制
导出至
BibTeX EndNote RefMan NoteFirst NoteExpress
×
提示
您的信息不完整,为了账户安全,请先补充。
现在去补充
×
提示
您因"违规操作"
具体请查看互助需知
我知道了
×
提示
确定
请完成安全验证×
copy
已复制链接
快去分享给好友吧!
我知道了
右上角分享
点击右上角分享
0
联系我们:info@booksci.cn Book学术提供免费学术资源搜索服务,方便国内外学者检索中英文文献。致力于提供最便捷和优质的服务体验。 Copyright © 2023 布克学术 All rights reserved.
京ICP备2023020795号-1
ghs 京公网安备 11010802042870号
Book学术文献互助
Book学术文献互助群
群 号:604180095
Book学术官方微信