埃及细菌诱导CaCO3生物矿化过程的研究。

IF 4.9 2区 生物学 Q1 BIOTECHNOLOGY & APPLIED MICROBIOLOGY
Dalia Said, Sahar M Ibrahim, Mohamed Heikal, Mohamed O Abdel-Monem, Ghada E Dawwam
{"title":"埃及细菌诱导CaCO3生物矿化过程的研究。","authors":"Dalia Said, Sahar M Ibrahim, Mohamed Heikal, Mohamed O Abdel-Monem, Ghada E Dawwam","doi":"10.1186/s12934-025-02837-3","DOIUrl":null,"url":null,"abstract":"<p><p>Microbial-induced calcium carbonate precipitation (MICP) has garnered significant attention for its construction and geotechnical engineering applications. In this study, 24 bacterial isolates were obtained from various edges of Wadi El-Natron Lake, Egypt, and subsequently assessed for their capacity for calcium carbonate (CaCO₃) precipitation. Among these isolates, strain D16 exhibited the highest CaCO₃ precipitation, yielding 0.404 g/100 mL, alongside robust bacterial growth and a final pH of 9.09. Morphological and biochemical characterization revealed that the isolate was rod-shaped, Gram-positive, Catalase-positive, Urease-positive, and Spore-forming. The optimal growth conditions for the isolate included a pH of 8, with ideal Ca²⁺ and urea concentrations of 25 mM and 20 g/L, respectively, at an incubation temperature of 30 °C over seven days. Molecular identification confirmed the isolate as Bacillus tropicus strain D16, which has been recorded in GenBank under the accession number PQ817131. The precipitated CaCO₃ was quantified and characterized using scanning electron microscopy (SEM) equipped with energy-dispersive X-ray (EDX) analysis, Fourier-transform infrared (FT-IR) spectroscopy, X-ray diffraction (XRD), and the N₂ desorption/adsorption isotherm (BET) method. The effect of calcium carbonate nanoparticles (CaCO₃-NPs, denoted as NC) on the properties of cement paste was investigated. Four composite pastes were prepared with varying dosages of CaCO₃-NPs: NC0.0, NC0.5, NC1.0, and NC1.5. These pastes were subjected to a series of tests, including compressive strength, bulk density, total porosity, and chemically combined water content, over a hydration period of up to 90 days. The results demonstrated that the addition of NC enhanced the compressive strength of the cement paste up to an optimal dosage content of 0.5%, beyond which the strength decreased due to nanoparticle agglomeration. These findings were further corroborated by X-ray Diffraction (XRD), Differential Thermal Thermogravimetric Analysis (DTG/TGA), and Scanning Electron Microscopy (SEM), which provided microstructural and phase composition insights. Overall, the results indicate that the inclusion of an optimal dosage of CaCO₃-NPs can significantly improve the performance of cement composite pastes.</p>","PeriodicalId":18582,"journal":{"name":"Microbial Cell Factories","volume":"24 1","pages":"203"},"PeriodicalIF":4.9000,"publicationDate":"2025-09-16","publicationTypes":"Journal Article","fieldsOfStudy":null,"isOpenAccess":false,"openAccessPdf":"https://www.ncbi.nlm.nih.gov/pmc/articles/PMC12439375/pdf/","citationCount":"0","resultStr":"{\"title\":\"Bio-mineralization process of CaCO<sub>3</sub> induced by bacteria isolated from Egypt for sustainable bio-concrete.\",\"authors\":\"Dalia Said, Sahar M Ibrahim, Mohamed Heikal, Mohamed O Abdel-Monem, Ghada E Dawwam\",\"doi\":\"10.1186/s12934-025-02837-3\",\"DOIUrl\":null,\"url\":null,\"abstract\":\"<p><p>Microbial-induced calcium carbonate precipitation (MICP) has garnered significant attention for its construction and geotechnical engineering applications. In this study, 24 bacterial isolates were obtained from various edges of Wadi El-Natron Lake, Egypt, and subsequently assessed for their capacity for calcium carbonate (CaCO₃) precipitation. Among these isolates, strain D16 exhibited the highest CaCO₃ precipitation, yielding 0.404 g/100 mL, alongside robust bacterial growth and a final pH of 9.09. Morphological and biochemical characterization revealed that the isolate was rod-shaped, Gram-positive, Catalase-positive, Urease-positive, and Spore-forming. The optimal growth conditions for the isolate included a pH of 8, with ideal Ca²⁺ and urea concentrations of 25 mM and 20 g/L, respectively, at an incubation temperature of 30 °C over seven days. Molecular identification confirmed the isolate as Bacillus tropicus strain D16, which has been recorded in GenBank under the accession number PQ817131. The precipitated CaCO₃ was quantified and characterized using scanning electron microscopy (SEM) equipped with energy-dispersive X-ray (EDX) analysis, Fourier-transform infrared (FT-IR) spectroscopy, X-ray diffraction (XRD), and the N₂ desorption/adsorption isotherm (BET) method. The effect of calcium carbonate nanoparticles (CaCO₃-NPs, denoted as NC) on the properties of cement paste was investigated. Four composite pastes were prepared with varying dosages of CaCO₃-NPs: NC0.0, NC0.5, NC1.0, and NC1.5. These pastes were subjected to a series of tests, including compressive strength, bulk density, total porosity, and chemically combined water content, over a hydration period of up to 90 days. The results demonstrated that the addition of NC enhanced the compressive strength of the cement paste up to an optimal dosage content of 0.5%, beyond which the strength decreased due to nanoparticle agglomeration. These findings were further corroborated by X-ray Diffraction (XRD), Differential Thermal Thermogravimetric Analysis (DTG/TGA), and Scanning Electron Microscopy (SEM), which provided microstructural and phase composition insights. Overall, the results indicate that the inclusion of an optimal dosage of CaCO₃-NPs can significantly improve the performance of cement composite pastes.</p>\",\"PeriodicalId\":18582,\"journal\":{\"name\":\"Microbial Cell Factories\",\"volume\":\"24 1\",\"pages\":\"203\"},\"PeriodicalIF\":4.9000,\"publicationDate\":\"2025-09-16\",\"publicationTypes\":\"Journal Article\",\"fieldsOfStudy\":null,\"isOpenAccess\":false,\"openAccessPdf\":\"https://www.ncbi.nlm.nih.gov/pmc/articles/PMC12439375/pdf/\",\"citationCount\":\"0\",\"resultStr\":null,\"platform\":\"Semanticscholar\",\"paperid\":null,\"PeriodicalName\":\"Microbial Cell Factories\",\"FirstCategoryId\":\"5\",\"ListUrlMain\":\"https://doi.org/10.1186/s12934-025-02837-3\",\"RegionNum\":2,\"RegionCategory\":\"生物学\",\"ArticlePicture\":[],\"TitleCN\":null,\"AbstractTextCN\":null,\"PMCID\":null,\"EPubDate\":\"\",\"PubModel\":\"\",\"JCR\":\"Q1\",\"JCRName\":\"BIOTECHNOLOGY & APPLIED MICROBIOLOGY\",\"Score\":null,\"Total\":0}","platform":"Semanticscholar","paperid":null,"PeriodicalName":"Microbial Cell Factories","FirstCategoryId":"5","ListUrlMain":"https://doi.org/10.1186/s12934-025-02837-3","RegionNum":2,"RegionCategory":"生物学","ArticlePicture":[],"TitleCN":null,"AbstractTextCN":null,"PMCID":null,"EPubDate":"","PubModel":"","JCR":"Q1","JCRName":"BIOTECHNOLOGY & APPLIED MICROBIOLOGY","Score":null,"Total":0}
引用次数: 0

摘要

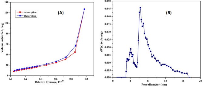
微生物诱导碳酸钙沉淀(microinduced calcium carbonate precipitation, MICP)因其在建筑和岩土工程中的应用而受到广泛关注。在这项研究中,从埃及Wadi El-Natron湖的不同边缘获得了24株细菌分离株,并随后评估了它们对碳酸钙(CaCO₃)沉淀的能力。在这些分离株中,菌株D16表现出最高的CaCO₃沉淀,产量为0.404 g/100 mL,并且细菌生长强劲,最终pH为9.09。形态学和生化鉴定结果表明,分离物呈棒状,革兰氏阳性,过氧化氢酶阳性,脲酶阳性,孢子形成。该菌株的最佳生长条件为pH = 8,理想的Ca 2 +和尿素浓度分别为25 mM和20 g/L,培养温度为30℃,培养时间为7天。分子鉴定证实该分离物为热带芽孢杆菌菌株D16,已在GenBank中记录,登录号为PQ817131。采用扫描电子显微镜(SEM)、能量色散x射线(EDX)分析、傅里叶变换红外(FT-IR)光谱、x射线衍射(XRD)和N₂解吸/吸附等温线(BET)方法对沉淀的CaCO₃进行了定量表征。研究了碳酸钙纳米颗粒(CaCO₃-NPs,记为NC)对水泥浆体性能的影响。用不同剂量的CaCO₃-NPs制备了4种复合浆料:NC0.0、NC0.5、NC1.0和NC1.5。在长达90天的水化期内,对这些膏体进行了一系列测试,包括抗压强度、体积密度、总孔隙率和化学组合含水量。结果表明,NC的掺入可使水泥浆体的抗压强度提高到最佳掺量0.5%,超过0.5%后由于纳米颗粒团聚,强度下降。这些发现被x射线衍射(XRD)、差热热重分析(DTG/TGA)和扫描电子显微镜(SEM)进一步证实,提供了微观结构和相组成的信息。综上所述,最佳掺量的CaCO₃-NPs可以显著改善水泥复合膏体的性能。
本文章由计算机程序翻译,如有差异,请以英文原文为准。

Bio-mineralization process of CaCO<sub>3</sub> induced by bacteria isolated from Egypt for sustainable bio-concrete.

Bio-mineralization process of CaCO<sub>3</sub> induced by bacteria isolated from Egypt for sustainable bio-concrete.

Bio-mineralization process of CaCO<sub>3</sub> induced by bacteria isolated from Egypt for sustainable bio-concrete.

Bio-mineralization process of CaCO3 induced by bacteria isolated from Egypt for sustainable bio-concrete.

Microbial-induced calcium carbonate precipitation (MICP) has garnered significant attention for its construction and geotechnical engineering applications. In this study, 24 bacterial isolates were obtained from various edges of Wadi El-Natron Lake, Egypt, and subsequently assessed for their capacity for calcium carbonate (CaCO₃) precipitation. Among these isolates, strain D16 exhibited the highest CaCO₃ precipitation, yielding 0.404 g/100 mL, alongside robust bacterial growth and a final pH of 9.09. Morphological and biochemical characterization revealed that the isolate was rod-shaped, Gram-positive, Catalase-positive, Urease-positive, and Spore-forming. The optimal growth conditions for the isolate included a pH of 8, with ideal Ca²⁺ and urea concentrations of 25 mM and 20 g/L, respectively, at an incubation temperature of 30 °C over seven days. Molecular identification confirmed the isolate as Bacillus tropicus strain D16, which has been recorded in GenBank under the accession number PQ817131. The precipitated CaCO₃ was quantified and characterized using scanning electron microscopy (SEM) equipped with energy-dispersive X-ray (EDX) analysis, Fourier-transform infrared (FT-IR) spectroscopy, X-ray diffraction (XRD), and the N₂ desorption/adsorption isotherm (BET) method. The effect of calcium carbonate nanoparticles (CaCO₃-NPs, denoted as NC) on the properties of cement paste was investigated. Four composite pastes were prepared with varying dosages of CaCO₃-NPs: NC0.0, NC0.5, NC1.0, and NC1.5. These pastes were subjected to a series of tests, including compressive strength, bulk density, total porosity, and chemically combined water content, over a hydration period of up to 90 days. The results demonstrated that the addition of NC enhanced the compressive strength of the cement paste up to an optimal dosage content of 0.5%, beyond which the strength decreased due to nanoparticle agglomeration. These findings were further corroborated by X-ray Diffraction (XRD), Differential Thermal Thermogravimetric Analysis (DTG/TGA), and Scanning Electron Microscopy (SEM), which provided microstructural and phase composition insights. Overall, the results indicate that the inclusion of an optimal dosage of CaCO₃-NPs can significantly improve the performance of cement composite pastes.

求助全文
通过发布文献求助,成功后即可免费获取论文全文。 去求助
来源期刊
Microbial Cell Factories
Microbial Cell Factories 工程技术-生物工程与应用微生物
CiteScore
9.30
自引率
4.70%
发文量
235
审稿时长
2.3 months
期刊介绍: Microbial Cell Factories is an open access peer-reviewed journal that covers any topic related to the development, use and investigation of microbial cells as producers of recombinant proteins and natural products, or as catalyzers of biological transformations of industrial interest. Microbial Cell Factories is the world leading, primary research journal fully focusing on Applied Microbiology. The journal is divided into the following editorial sections: -Metabolic engineering -Synthetic biology -Whole-cell biocatalysis -Microbial regulations -Recombinant protein production/bioprocessing -Production of natural compounds -Systems biology of cell factories -Microbial production processes -Cell-free systems
×
引用
GB/T 7714-2015
复制
MLA
复制
APA
复制
导出至
BibTeX EndNote RefMan NoteFirst NoteExpress
×
提示
您的信息不完整,为了账户安全,请先补充。
现在去补充
×
提示
您因"违规操作"
具体请查看互助需知
我知道了
×
提示
确定
请完成安全验证×
copy
已复制链接
快去分享给好友吧!
我知道了
右上角分享
点击右上角分享
0
联系我们:info@booksci.cn Book学术提供免费学术资源搜索服务,方便国内外学者检索中英文文献。致力于提供最便捷和优质的服务体验。 Copyright © 2023 布克学术 All rights reserved.
京ICP备2023020795号-1
ghs 京公网安备 11010802042870号
Book学术文献互助
Book学术文献互助群
群 号:604180095
Book学术官方微信