心源性休克的性别差异:一个拉丁美洲国家的危险因素、治疗强度和死亡率。

IF 3.1 3区 医学 Q2 CARDIAC & CARDIOVASCULAR SYSTEMS
Global Heart Pub Date : 2025-09-09 eCollection Date: 2025-01-01 DOI:10.5334/gh.1469
Alexandra Arias-Mendoza, Héctor González-Pacheco, Amada Álvarez-Sangabriel, Diego Araiza-Garaygordobil, Pamela Ramírez-Rangel, Rodrigo Gopar-Nieto, Maria Del Carmen López-Rodríguez, Daniel Sierra-Lara-Martínez, Salvador Mendoza-García, Braiana Ángeles Díaz-Herrera, María Nila Papaqui-Quitl, Jaime Hernández-Montfort, Jorge A Ortega-Hernández
{"title":"心源性休克的性别差异:一个拉丁美洲国家的危险因素、治疗强度和死亡率。","authors":"Alexandra Arias-Mendoza, Héctor González-Pacheco, Amada Álvarez-Sangabriel, Diego Araiza-Garaygordobil, Pamela Ramírez-Rangel, Rodrigo Gopar-Nieto, Maria Del Carmen López-Rodríguez, Daniel Sierra-Lara-Martínez, Salvador Mendoza-García, Braiana Ángeles Díaz-Herrera, María Nila Papaqui-Quitl, Jaime Hernández-Montfort, Jorge A Ortega-Hernández","doi":"10.5334/gh.1469","DOIUrl":null,"url":null,"abstract":"<p><strong>Background: </strong>Cardiogenic shock (CS) carries a high in-hospital mortality, with limited data on sex-related disparities in Latin America. Women remain underrepresented in CS studies.</p><p><strong>Objectives: </strong>To evaluate sex-specific differences in characteristics, management, and mortality in acute myocardial infarction-related (AMI-CS) and non-AMI-CS in a large Latin-American cohort.</p><p><strong>Methods: </strong>We retrospectively analyzed 9430 patients (5016 AMI-CS and 4414 non-AMI-CS) with SCAI-CSWG stages B-E in a reference center in Mexico City from 2005 to 2023. The primary outcome was in-hospital mortality. Analyses included multivariable Cox models and propensity score matching (PSM).</p><p><strong>Results: </strong>Women with AMI-CS were older (67 vs. 60 years), had more hypertension (66% vs. 52%) and diabetes (53% vs. 38%), and received less primary reperfusion (62% vs. 71%) and mechanical circulatory support (11.6% vs. 14.7%) than men (all <i>P</i> < 0.05). In non-AMI-CS, women were older (66 vs. 60 years), had more prior heart failure (33% vs. 24%), while men had more chronic obstructive pulmonary disease (COPD) and prior MI (all <i>P</i> < 0.05). Unadjusted mortality was higher in women in AMI-CS (24.6% vs. 16.3%, HR 1.48, 95% CI 1.28-1.72) and non-AMI-CS (HR 1.18, 95% CI 1.05-1.32). After PSM, mortality differences were not significant in AMI-CS (HR 1.22, 95% CI 1.00-1.48) or non-AMI-CS (HR 1.07, 95% CI 0.92-1.24).</p><p><strong>Conclusions: </strong>Women with CS in Latin America present with greater comorbidity and less aggressive/invasive management. While unadjusted mortality was higher in women, these differences were no longer significant after PSM, indicating that baseline factors and treatment disparities largely explain excess risk.</p>","PeriodicalId":56018,"journal":{"name":"Global Heart","volume":"20 1","pages":"78"},"PeriodicalIF":3.1000,"publicationDate":"2025-09-09","publicationTypes":"Journal Article","fieldsOfStudy":null,"isOpenAccess":false,"openAccessPdf":"https://www.ncbi.nlm.nih.gov/pmc/articles/PMC12427619/pdf/","citationCount":"0","resultStr":"{\"title\":\"Sex Disparities in Cardiogenic Shock: Risk Factors, Treatment Intensity, and Mortality in a Single Latin American Country.\",\"authors\":\"Alexandra Arias-Mendoza, Héctor González-Pacheco, Amada Álvarez-Sangabriel, Diego Araiza-Garaygordobil, Pamela Ramírez-Rangel, Rodrigo Gopar-Nieto, Maria Del Carmen López-Rodríguez, Daniel Sierra-Lara-Martínez, Salvador Mendoza-García, Braiana Ángeles Díaz-Herrera, María Nila Papaqui-Quitl, Jaime Hernández-Montfort, Jorge A Ortega-Hernández\",\"doi\":\"10.5334/gh.1469\",\"DOIUrl\":null,\"url\":null,\"abstract\":\"<p><strong>Background: </strong>Cardiogenic shock (CS) carries a high in-hospital mortality, with limited data on sex-related disparities in Latin America. Women remain underrepresented in CS studies.</p><p><strong>Objectives: </strong>To evaluate sex-specific differences in characteristics, management, and mortality in acute myocardial infarction-related (AMI-CS) and non-AMI-CS in a large Latin-American cohort.</p><p><strong>Methods: </strong>We retrospectively analyzed 9430 patients (5016 AMI-CS and 4414 non-AMI-CS) with SCAI-CSWG stages B-E in a reference center in Mexico City from 2005 to 2023. The primary outcome was in-hospital mortality. Analyses included multivariable Cox models and propensity score matching (PSM).</p><p><strong>Results: </strong>Women with AMI-CS were older (67 vs. 60 years), had more hypertension (66% vs. 52%) and diabetes (53% vs. 38%), and received less primary reperfusion (62% vs. 71%) and mechanical circulatory support (11.6% vs. 14.7%) than men (all <i>P</i> < 0.05). In non-AMI-CS, women were older (66 vs. 60 years), had more prior heart failure (33% vs. 24%), while men had more chronic obstructive pulmonary disease (COPD) and prior MI (all <i>P</i> < 0.05). Unadjusted mortality was higher in women in AMI-CS (24.6% vs. 16.3%, HR 1.48, 95% CI 1.28-1.72) and non-AMI-CS (HR 1.18, 95% CI 1.05-1.32). After PSM, mortality differences were not significant in AMI-CS (HR 1.22, 95% CI 1.00-1.48) or non-AMI-CS (HR 1.07, 95% CI 0.92-1.24).</p><p><strong>Conclusions: </strong>Women with CS in Latin America present with greater comorbidity and less aggressive/invasive management. While unadjusted mortality was higher in women, these differences were no longer significant after PSM, indicating that baseline factors and treatment disparities largely explain excess risk.</p>\",\"PeriodicalId\":56018,\"journal\":{\"name\":\"Global Heart\",\"volume\":\"20 1\",\"pages\":\"78\"},\"PeriodicalIF\":3.1000,\"publicationDate\":\"2025-09-09\",\"publicationTypes\":\"Journal Article\",\"fieldsOfStudy\":null,\"isOpenAccess\":false,\"openAccessPdf\":\"https://www.ncbi.nlm.nih.gov/pmc/articles/PMC12427619/pdf/\",\"citationCount\":\"0\",\"resultStr\":null,\"platform\":\"Semanticscholar\",\"paperid\":null,\"PeriodicalName\":\"Global Heart\",\"FirstCategoryId\":\"3\",\"ListUrlMain\":\"https://doi.org/10.5334/gh.1469\",\"RegionNum\":3,\"RegionCategory\":\"医学\",\"ArticlePicture\":[],\"TitleCN\":null,\"AbstractTextCN\":null,\"PMCID\":null,\"EPubDate\":\"2025/1/1 0:00:00\",\"PubModel\":\"eCollection\",\"JCR\":\"Q2\",\"JCRName\":\"CARDIAC & CARDIOVASCULAR SYSTEMS\",\"Score\":null,\"Total\":0}","platform":"Semanticscholar","paperid":null,"PeriodicalName":"Global Heart","FirstCategoryId":"3","ListUrlMain":"https://doi.org/10.5334/gh.1469","RegionNum":3,"RegionCategory":"医学","ArticlePicture":[],"TitleCN":null,"AbstractTextCN":null,"PMCID":null,"EPubDate":"2025/1/1 0:00:00","PubModel":"eCollection","JCR":"Q2","JCRName":"CARDIAC & CARDIOVASCULAR SYSTEMS","Score":null,"Total":0}
引用次数: 0

摘要

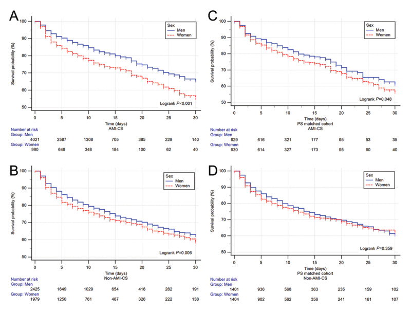
背景:心源性休克(CS)具有很高的住院死亡率,在拉丁美洲,与性别相关的差异数据有限。女性在计算机科学研究中的代表性仍然不足。目的:评估拉丁美洲大型队列中急性心肌梗死相关(AMI-CS)和非AMI-CS在特征、管理和死亡率方面的性别差异。方法:我们回顾性分析了2005年至2023年在墨西哥城的一个参考中心的9430例SCAI-CSWG B-E期患者(5016例AMI-CS和4414例非AMI-CS)。主要终点是住院死亡率。分析包括多变量Cox模型和倾向评分匹配(PSM)。结果:AMI-CS女性患者年龄较大(67岁vs. 60岁),高血压(66% vs. 52%)和糖尿病(53% vs. 38%)发生率较高,初次再灌注(62% vs. 71%)和机械循环支持(11.6% vs. 14.7%)均低于男性(均P < 0.05)。在非ami - cs中,女性年龄较大(66岁对60岁),既往心力衰竭较多(33%对24%),而男性有更多慢性阻塞性肺疾病(COPD)和既往心肌梗死(MI)(均P < 0.05)。AMI-CS组和非AMI-CS组女性的未调整死亡率更高(24.6%比16.3%,HR 1.48, 95% CI 1.28-1.72)和非AMI-CS组(HR 1.18, 95% CI 1.05-1.32)。PSM后AMI-CS (HR 1.22, 95% CI 1.00-1.48)和非AMI-CS (HR 1.07, 95% CI 0.92-1.24)的死亡率差异无统计学意义。结论:拉丁美洲女性CS存在更多的合并症和较少的侵略性/侵入性治疗。虽然女性的未调整死亡率较高,但PSM后这些差异不再显著,表明基线因素和治疗差异在很大程度上解释了过度风险。
本文章由计算机程序翻译,如有差异,请以英文原文为准。

Sex Disparities in Cardiogenic Shock: Risk Factors, Treatment Intensity, and Mortality in a Single Latin American Country.

Sex Disparities in Cardiogenic Shock: Risk Factors, Treatment Intensity, and Mortality in a Single Latin American Country.

Sex Disparities in Cardiogenic Shock: Risk Factors, Treatment Intensity, and Mortality in a Single Latin American Country.

Sex Disparities in Cardiogenic Shock: Risk Factors, Treatment Intensity, and Mortality in a Single Latin American Country.

Background: Cardiogenic shock (CS) carries a high in-hospital mortality, with limited data on sex-related disparities in Latin America. Women remain underrepresented in CS studies.

Objectives: To evaluate sex-specific differences in characteristics, management, and mortality in acute myocardial infarction-related (AMI-CS) and non-AMI-CS in a large Latin-American cohort.

Methods: We retrospectively analyzed 9430 patients (5016 AMI-CS and 4414 non-AMI-CS) with SCAI-CSWG stages B-E in a reference center in Mexico City from 2005 to 2023. The primary outcome was in-hospital mortality. Analyses included multivariable Cox models and propensity score matching (PSM).

Results: Women with AMI-CS were older (67 vs. 60 years), had more hypertension (66% vs. 52%) and diabetes (53% vs. 38%), and received less primary reperfusion (62% vs. 71%) and mechanical circulatory support (11.6% vs. 14.7%) than men (all P < 0.05). In non-AMI-CS, women were older (66 vs. 60 years), had more prior heart failure (33% vs. 24%), while men had more chronic obstructive pulmonary disease (COPD) and prior MI (all P < 0.05). Unadjusted mortality was higher in women in AMI-CS (24.6% vs. 16.3%, HR 1.48, 95% CI 1.28-1.72) and non-AMI-CS (HR 1.18, 95% CI 1.05-1.32). After PSM, mortality differences were not significant in AMI-CS (HR 1.22, 95% CI 1.00-1.48) or non-AMI-CS (HR 1.07, 95% CI 0.92-1.24).

Conclusions: Women with CS in Latin America present with greater comorbidity and less aggressive/invasive management. While unadjusted mortality was higher in women, these differences were no longer significant after PSM, indicating that baseline factors and treatment disparities largely explain excess risk.

求助全文
通过发布文献求助,成功后即可免费获取论文全文。 去求助
来源期刊
Global Heart
Global Heart Medicine-Cardiology and Cardiovascular Medicine
CiteScore
5.70
自引率
5.40%
发文量
77
审稿时长
5 weeks
期刊介绍: Global Heart offers a forum for dialogue and education on research, developments, trends, solutions and public health programs related to the prevention and control of cardiovascular diseases (CVDs) worldwide, with a special focus on low- and middle-income countries (LMICs). Manuscripts should address not only the extent or epidemiology of the problem, but also describe interventions to effectively control and prevent CVDs and the underlying factors. The emphasis should be on approaches applicable in settings with limited resources. Economic evaluations of successful interventions are particularly welcome. We will also consider negative findings if important. While reports of hospital or clinic-based treatments are not excluded, particularly if they have broad implications for cost-effective disease control or prevention, we give priority to papers addressing community-based activities. We encourage submissions on cardiovascular surveillance and health policies, professional education, ethical issues and technological innovations related to prevention. Global Heart is particularly interested in publishing data from updated national or regional demographic health surveys, World Health Organization or Global Burden of Disease data, large clinical disease databases or registries. Systematic reviews or meta-analyses on globally relevant topics are welcome. We will also consider clinical research that has special relevance to LMICs, e.g. using validated instruments to assess health-related quality-of-life in patients from LMICs, innovative diagnostic-therapeutic applications, real-world effectiveness clinical trials, research methods (innovative methodologic papers, with emphasis on low-cost research methods or novel application of methods in low resource settings), and papers pertaining to cardiovascular health promotion and policy (quantitative evaluation of health programs.
×
引用
GB/T 7714-2015
复制
MLA
复制
APA
复制
导出至
BibTeX EndNote RefMan NoteFirst NoteExpress
×
提示
您的信息不完整,为了账户安全,请先补充。
现在去补充
×
提示
您因"违规操作"
具体请查看互助需知
我知道了
×
提示
确定
请完成安全验证×
copy
已复制链接
快去分享给好友吧!
我知道了
右上角分享
点击右上角分享
0
联系我们:info@booksci.cn Book学术提供免费学术资源搜索服务,方便国内外学者检索中英文文献。致力于提供最便捷和优质的服务体验。 Copyright © 2023 布克学术 All rights reserved.
京ICP备2023020795号-1
ghs 京公网安备 11010802042870号
Book学术文献互助
Book学术文献互助群
群 号:604180095
Book学术官方微信