恩格列净对2型糖尿病患者血浆脂质组的影响:EmDia临床试验的结果

IF 10.6 1区 医学 Q1 CARDIAC & CARDIOVASCULAR SYSTEMS
Katrin I Bauer, Dhanwin Baker, Raissa Lerner, Thomas Koeck, Gregor Buch, Zlatka Fischer, Robin Martens, Ekaterina E Esenkova, Maximilian Nuber, Miguel A Andrade-Navarro, Vincent Ten Cate, Stefan Tenzer, Philipp S Wild, Laura Bindila, Elisa Araldi
{"title":"恩格列净对2型糖尿病患者血浆脂质组的影响:EmDia临床试验的结果","authors":"Katrin I Bauer, Dhanwin Baker, Raissa Lerner, Thomas Koeck, Gregor Buch, Zlatka Fischer, Robin Martens, Ekaterina E Esenkova, Maximilian Nuber, Miguel A Andrade-Navarro, Vincent Ten Cate, Stefan Tenzer, Philipp S Wild, Laura Bindila, Elisa Araldi","doi":"10.1186/s12933-025-02916-0","DOIUrl":null,"url":null,"abstract":"<p><strong>Background: </strong>Sodium-glucose cotransporter 2 (SGLT2) inhibitors, such as Empagliflozin, are antidiabetic drugs that reduce glucose levels and have emerged as a promising therapy for patients with heart failure (HF), although the exact molecular mechanisms underlying their cardioprotective effects remain to be fully elucidated. The EmDia study, a randomized, double-blind trial conducted at the University Medical Center of Mainz, has confirmed the beneficial effects of Empagliflozin in HF patients after both one and twelve weeks of treatment. In this work, we aimed to assess whether changes in lipid profiles driven by Empagliflozin use in HF patients in the EmDia trial could assist in gaining a better understanding of its cardioprotective mechanisms.</p><p><strong>Methods: </strong>Lipid analysis of blood plasma from 144 patients from the EmDia trial was conducted using 4D-LC-TIMS/IMS lipidomics. Lipid signatures after treatment for one and twelve weeks, respectively, were obtained with sparse group LASSO regularized regression models. Linear regression models were employed to highlight associations between significantly changed clinical traits and lipids.</p><p><strong>Results: </strong>The lipid signatures after one week of treatment consisted of 37 lipids from the lipid groups lysophosphatidylcholine (LPC), phosphatidylcholine (PC), phosphatidylethanolamine (PE), sphingomyelin (SM), and triacylglycerol (TG). After twelve weeks, the signature comprised 24 lipids from the same five lipid groups, along with Ceramides (Cer). Three of five lipids altered at both time points showed consistent directional trends. Empagliflozin treatment led to significant alterations in the lipidome, including increases in both beneficial lipids, such as LPCs, and potentially harmful species, notably ceramides, which have been implicated in lipotoxicity and cardiovascular risk.</p><p><strong>Conclusion: </strong>This study identified distinct lipid signatures associated with Empagliflozin treatment after both one and twelve weeks, respectively, with five lipids overlapping between signatures and three with consistent directions, revealing that some of the beneficial effects of Empagliflozin could be through lipid modulation. Notably, Empagliflozin-modulated lipids associated with changes in clinical traits and lipid-specific profiles among clinical subgroups were observed. However, challenges remain in establishing direct associations between individual lipids and clinical outcomes. Future research integrating lipidomics data with other omics datasets could provide a more comprehensive understanding of the identified lipid signatures and their potential roles in health and diseases.</p><p><strong>Trial registration: </strong>ClinicalTrials.gov; NCT02932436. Registration date, 2016/10/13.</p>","PeriodicalId":9374,"journal":{"name":"Cardiovascular Diabetology","volume":"24 1","pages":"359"},"PeriodicalIF":10.6000,"publicationDate":"2025-09-08","publicationTypes":"Journal Article","fieldsOfStudy":null,"isOpenAccess":false,"openAccessPdf":"https://www.ncbi.nlm.nih.gov/pmc/articles/PMC12418620/pdf/","citationCount":"0","resultStr":"{\"title\":\"Effect of Empagliflozin on the plasma lipidome in patients with type 2 diabetes mellitus: results from the EmDia clinical trial.\",\"authors\":\"Katrin I Bauer, Dhanwin Baker, Raissa Lerner, Thomas Koeck, Gregor Buch, Zlatka Fischer, Robin Martens, Ekaterina E Esenkova, Maximilian Nuber, Miguel A Andrade-Navarro, Vincent Ten Cate, Stefan Tenzer, Philipp S Wild, Laura Bindila, Elisa Araldi\",\"doi\":\"10.1186/s12933-025-02916-0\",\"DOIUrl\":null,\"url\":null,\"abstract\":\"<p><strong>Background: </strong>Sodium-glucose cotransporter 2 (SGLT2) inhibitors, such as Empagliflozin, are antidiabetic drugs that reduce glucose levels and have emerged as a promising therapy for patients with heart failure (HF), although the exact molecular mechanisms underlying their cardioprotective effects remain to be fully elucidated. The EmDia study, a randomized, double-blind trial conducted at the University Medical Center of Mainz, has confirmed the beneficial effects of Empagliflozin in HF patients after both one and twelve weeks of treatment. In this work, we aimed to assess whether changes in lipid profiles driven by Empagliflozin use in HF patients in the EmDia trial could assist in gaining a better understanding of its cardioprotective mechanisms.</p><p><strong>Methods: </strong>Lipid analysis of blood plasma from 144 patients from the EmDia trial was conducted using 4D-LC-TIMS/IMS lipidomics. Lipid signatures after treatment for one and twelve weeks, respectively, were obtained with sparse group LASSO regularized regression models. Linear regression models were employed to highlight associations between significantly changed clinical traits and lipids.</p><p><strong>Results: </strong>The lipid signatures after one week of treatment consisted of 37 lipids from the lipid groups lysophosphatidylcholine (LPC), phosphatidylcholine (PC), phosphatidylethanolamine (PE), sphingomyelin (SM), and triacylglycerol (TG). After twelve weeks, the signature comprised 24 lipids from the same five lipid groups, along with Ceramides (Cer). Three of five lipids altered at both time points showed consistent directional trends. Empagliflozin treatment led to significant alterations in the lipidome, including increases in both beneficial lipids, such as LPCs, and potentially harmful species, notably ceramides, which have been implicated in lipotoxicity and cardiovascular risk.</p><p><strong>Conclusion: </strong>This study identified distinct lipid signatures associated with Empagliflozin treatment after both one and twelve weeks, respectively, with five lipids overlapping between signatures and three with consistent directions, revealing that some of the beneficial effects of Empagliflozin could be through lipid modulation. Notably, Empagliflozin-modulated lipids associated with changes in clinical traits and lipid-specific profiles among clinical subgroups were observed. However, challenges remain in establishing direct associations between individual lipids and clinical outcomes. Future research integrating lipidomics data with other omics datasets could provide a more comprehensive understanding of the identified lipid signatures and their potential roles in health and diseases.</p><p><strong>Trial registration: </strong>ClinicalTrials.gov; NCT02932436. Registration date, 2016/10/13.</p>\",\"PeriodicalId\":9374,\"journal\":{\"name\":\"Cardiovascular Diabetology\",\"volume\":\"24 1\",\"pages\":\"359\"},\"PeriodicalIF\":10.6000,\"publicationDate\":\"2025-09-08\",\"publicationTypes\":\"Journal Article\",\"fieldsOfStudy\":null,\"isOpenAccess\":false,\"openAccessPdf\":\"https://www.ncbi.nlm.nih.gov/pmc/articles/PMC12418620/pdf/\",\"citationCount\":\"0\",\"resultStr\":null,\"platform\":\"Semanticscholar\",\"paperid\":null,\"PeriodicalName\":\"Cardiovascular Diabetology\",\"FirstCategoryId\":\"3\",\"ListUrlMain\":\"https://doi.org/10.1186/s12933-025-02916-0\",\"RegionNum\":1,\"RegionCategory\":\"医学\",\"ArticlePicture\":[],\"TitleCN\":null,\"AbstractTextCN\":null,\"PMCID\":null,\"EPubDate\":\"\",\"PubModel\":\"\",\"JCR\":\"Q1\",\"JCRName\":\"CARDIAC & CARDIOVASCULAR SYSTEMS\",\"Score\":null,\"Total\":0}","platform":"Semanticscholar","paperid":null,"PeriodicalName":"Cardiovascular Diabetology","FirstCategoryId":"3","ListUrlMain":"https://doi.org/10.1186/s12933-025-02916-0","RegionNum":1,"RegionCategory":"医学","ArticlePicture":[],"TitleCN":null,"AbstractTextCN":null,"PMCID":null,"EPubDate":"","PubModel":"","JCR":"Q1","JCRName":"CARDIAC & CARDIOVASCULAR SYSTEMS","Score":null,"Total":0}
引用次数: 0

摘要

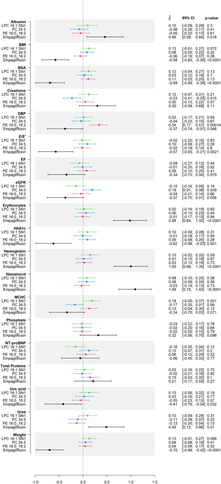
背景:钠-葡萄糖共转运蛋白2 (SGLT2)抑制剂,如恩帕列清,是一种降低血糖水平的降糖药物,已成为心力衰竭(HF)患者的一种有希望的治疗方法,尽管其心脏保护作用的确切分子机制仍有待完全阐明。EmDia研究是一项在美因茨大学医学中心进行的随机双盲试验,证实了恩帕列净在治疗1周和12周后对HF患者的有益作用。在这项工作中,我们旨在评估EmDia试验中HF患者使用恩帕列净导致的脂质谱变化是否有助于更好地了解其心脏保护机制。方法:采用4D-LC-TIMS/IMS脂质组学对EmDia试验中144例患者的血浆进行脂质分析。治疗1周和12周后分别用稀疏组LASSO正则化回归模型获得脂质特征。采用线性回归模型来强调显著改变的临床特征与血脂之间的关联。结果:治疗1周后的脂质特征包括溶血磷脂酰胆碱(LPC)、磷脂酰胆碱(PC)、磷脂酰乙醇胺(PE)、鞘磷脂(SM)和甘油三酯(TG)脂质组的37种脂质。12周后,签名包括来自相同5个脂质组的24种脂质,以及神经酰胺(Cer)。在两个时间点改变的五分之三的脂质显示出一致的方向性趋势。恩格列净治疗导致脂质组的显著改变,包括有益脂质(如LPCs)和潜在有害物质(特别是神经酰胺)的增加,这些物质与脂肪毒性和心血管风险有关。结论:本研究分别在1周和12周后发现了与恩帕列净治疗相关的不同的脂质特征,其中5种脂质特征之间重叠,3种脂质特征方向一致,表明恩帕列净的一些有益作用可能是通过脂质调节来实现的。值得注意的是,在临床亚组中观察到恩格列净调节的脂质与临床特征和脂质特异性谱的变化相关。然而,在建立个体脂质与临床结果之间的直接联系方面仍然存在挑战。未来的研究将脂质组学数据与其他组学数据集相结合,可以更全面地了解已确定的脂质特征及其在健康和疾病中的潜在作用。试验注册:ClinicalTrials.gov;NCT02932436。注册日期:2016/10/13。
本文章由计算机程序翻译,如有差异,请以英文原文为准。

Effect of Empagliflozin on the plasma lipidome in patients with type 2 diabetes mellitus: results from the EmDia clinical trial.

Effect of Empagliflozin on the plasma lipidome in patients with type 2 diabetes mellitus: results from the EmDia clinical trial.

Effect of Empagliflozin on the plasma lipidome in patients with type 2 diabetes mellitus: results from the EmDia clinical trial.

Effect of Empagliflozin on the plasma lipidome in patients with type 2 diabetes mellitus: results from the EmDia clinical trial.

Background: Sodium-glucose cotransporter 2 (SGLT2) inhibitors, such as Empagliflozin, are antidiabetic drugs that reduce glucose levels and have emerged as a promising therapy for patients with heart failure (HF), although the exact molecular mechanisms underlying their cardioprotective effects remain to be fully elucidated. The EmDia study, a randomized, double-blind trial conducted at the University Medical Center of Mainz, has confirmed the beneficial effects of Empagliflozin in HF patients after both one and twelve weeks of treatment. In this work, we aimed to assess whether changes in lipid profiles driven by Empagliflozin use in HF patients in the EmDia trial could assist in gaining a better understanding of its cardioprotective mechanisms.

Methods: Lipid analysis of blood plasma from 144 patients from the EmDia trial was conducted using 4D-LC-TIMS/IMS lipidomics. Lipid signatures after treatment for one and twelve weeks, respectively, were obtained with sparse group LASSO regularized regression models. Linear regression models were employed to highlight associations between significantly changed clinical traits and lipids.

Results: The lipid signatures after one week of treatment consisted of 37 lipids from the lipid groups lysophosphatidylcholine (LPC), phosphatidylcholine (PC), phosphatidylethanolamine (PE), sphingomyelin (SM), and triacylglycerol (TG). After twelve weeks, the signature comprised 24 lipids from the same five lipid groups, along with Ceramides (Cer). Three of five lipids altered at both time points showed consistent directional trends. Empagliflozin treatment led to significant alterations in the lipidome, including increases in both beneficial lipids, such as LPCs, and potentially harmful species, notably ceramides, which have been implicated in lipotoxicity and cardiovascular risk.

Conclusion: This study identified distinct lipid signatures associated with Empagliflozin treatment after both one and twelve weeks, respectively, with five lipids overlapping between signatures and three with consistent directions, revealing that some of the beneficial effects of Empagliflozin could be through lipid modulation. Notably, Empagliflozin-modulated lipids associated with changes in clinical traits and lipid-specific profiles among clinical subgroups were observed. However, challenges remain in establishing direct associations between individual lipids and clinical outcomes. Future research integrating lipidomics data with other omics datasets could provide a more comprehensive understanding of the identified lipid signatures and their potential roles in health and diseases.

Trial registration: ClinicalTrials.gov; NCT02932436. Registration date, 2016/10/13.

求助全文
通过发布文献求助,成功后即可免费获取论文全文。 去求助
来源期刊
Cardiovascular Diabetology
Cardiovascular Diabetology 医学-内分泌学与代谢
CiteScore
12.30
自引率
15.10%
发文量
240
审稿时长
1 months
期刊介绍: Cardiovascular Diabetology is a journal that welcomes manuscripts exploring various aspects of the relationship between diabetes, cardiovascular health, and the metabolic syndrome. We invite submissions related to clinical studies, genetic investigations, experimental research, pharmacological studies, epidemiological analyses, and molecular biology research in this field.
×
引用
GB/T 7714-2015
复制
MLA
复制
APA
复制
导出至
BibTeX EndNote RefMan NoteFirst NoteExpress
×
提示
您的信息不完整,为了账户安全,请先补充。
现在去补充
×
提示
您因"违规操作"
具体请查看互助需知
我知道了
×
提示
确定
请完成安全验证×
copy
已复制链接
快去分享给好友吧!
我知道了
右上角分享
点击右上角分享
0
联系我们:info@booksci.cn Book学术提供免费学术资源搜索服务,方便国内外学者检索中英文文献。致力于提供最便捷和优质的服务体验。 Copyright © 2023 布克学术 All rights reserved.
京ICP备2023020795号-1
ghs 京公网安备 11010802042870号
Book学术文献互助
Book学术文献互助群
群 号:604180095
Book学术官方微信