卢旺达的移动电话使用、社会经济公平和妇幼保健利用:人口和健康调查分析。

Oxford open digital health Pub Date : 2025-08-14 eCollection Date: 2025-01-01 DOI:10.1093/oodh/oqaf018
Amare Tariku, Betelhem Abebe Andargie, Tesfahun Melese Yilma, Abdulaziz Mohammed, Adams Abera, Diwakar Mohan, Shivani Pandya, Lena Kan, Hinda Ruton, Meredith Kimball, Patricia Mechael, Smisha Agarwal, Binyam Tilahun
{"title":"卢旺达的移动电话使用、社会经济公平和妇幼保健利用:人口和健康调查分析。","authors":"Amare Tariku, Betelhem Abebe Andargie, Tesfahun Melese Yilma, Abdulaziz Mohammed, Adams Abera, Diwakar Mohan, Shivani Pandya, Lena Kan, Hinda Ruton, Meredith Kimball, Patricia Mechael, Smisha Agarwal, Binyam Tilahun","doi":"10.1093/oodh/oqaf018","DOIUrl":null,"url":null,"abstract":"<p><p>Rwanda is harnessing digital health as a key strategy to improve optimal access to quality maternal and child health services, aiming to reduce maternal and child mortality and attain sustainable development goals. Evidence is essential to guide Rwanda's effort to integrate digital health technologies with maternal and child health service delivery. This study analyzed data from 2010, 2014/15 and 2019/20 Rwanda demographic and health surveys to explore trends and socio-economic equity in mobile phone ownership and its influence on reproductive and maternal health service utilization. Results showed a marked increase in household mobile phone ownership from 40% in 2010 to 71% in 2019/20. Significant pro-rich inequities in household mobile phone ownership were observed in 2010 (concentration index = 0.46), 2014/15 (concentration index = 0.28) and 2019/20 (concentration index = 0.22). Mobile phone was also higher among the educated in 2010 (slope index = 0.63), 2014/15 (slope index = 0.59), and 2019/20 (slope index = 0.50). Mobile phones were inequitably distributed favoring better-off (concentration index = 0.29) and educated women (slope index = 0.47), respectively. Women with mobile phone had significantly higher odds of attending four or more antenatal care visits [adjusted odds ratio (AOR) = 1.42, confidence interval (CI): 95% 1.16, 1.72] and ensuring full immunization in children aged 12-23 months [AOR = 1.61, CI: 95% 1.02, 2.55]. Differences in mobile phone ownership accounted 58% of the observed disparity in antenatal care utilization. These findings underscore that while there has been a substantial increase in mobile phone ownership, it remains unevenly distributed in Rwanda. Addressing these is critical to increasing coverage and equitable access to reproductive and maternal health services in Rwanda.</p>","PeriodicalId":520498,"journal":{"name":"Oxford open digital health","volume":"3 ","pages":"oqaf018"},"PeriodicalIF":0.0000,"publicationDate":"2025-08-14","publicationTypes":"Journal Article","fieldsOfStudy":null,"isOpenAccess":false,"openAccessPdf":"https://www.ncbi.nlm.nih.gov/pmc/articles/PMC12413759/pdf/","citationCount":"0","resultStr":"{\"title\":\"Access to mobile phone, socio-economic equity and maternal and child healthcare utilization in Rwanda: analysis of demographic and health surveys.\",\"authors\":\"Amare Tariku, Betelhem Abebe Andargie, Tesfahun Melese Yilma, Abdulaziz Mohammed, Adams Abera, Diwakar Mohan, Shivani Pandya, Lena Kan, Hinda Ruton, Meredith Kimball, Patricia Mechael, Smisha Agarwal, Binyam Tilahun\",\"doi\":\"10.1093/oodh/oqaf018\",\"DOIUrl\":null,\"url\":null,\"abstract\":\"<p><p>Rwanda is harnessing digital health as a key strategy to improve optimal access to quality maternal and child health services, aiming to reduce maternal and child mortality and attain sustainable development goals. Evidence is essential to guide Rwanda's effort to integrate digital health technologies with maternal and child health service delivery. This study analyzed data from 2010, 2014/15 and 2019/20 Rwanda demographic and health surveys to explore trends and socio-economic equity in mobile phone ownership and its influence on reproductive and maternal health service utilization. Results showed a marked increase in household mobile phone ownership from 40% in 2010 to 71% in 2019/20. Significant pro-rich inequities in household mobile phone ownership were observed in 2010 (concentration index = 0.46), 2014/15 (concentration index = 0.28) and 2019/20 (concentration index = 0.22). Mobile phone was also higher among the educated in 2010 (slope index = 0.63), 2014/15 (slope index = 0.59), and 2019/20 (slope index = 0.50). Mobile phones were inequitably distributed favoring better-off (concentration index = 0.29) and educated women (slope index = 0.47), respectively. Women with mobile phone had significantly higher odds of attending four or more antenatal care visits [adjusted odds ratio (AOR) = 1.42, confidence interval (CI): 95% 1.16, 1.72] and ensuring full immunization in children aged 12-23 months [AOR = 1.61, CI: 95% 1.02, 2.55]. Differences in mobile phone ownership accounted 58% of the observed disparity in antenatal care utilization. These findings underscore that while there has been a substantial increase in mobile phone ownership, it remains unevenly distributed in Rwanda. Addressing these is critical to increasing coverage and equitable access to reproductive and maternal health services in Rwanda.</p>\",\"PeriodicalId\":520498,\"journal\":{\"name\":\"Oxford open digital health\",\"volume\":\"3 \",\"pages\":\"oqaf018\"},\"PeriodicalIF\":0.0000,\"publicationDate\":\"2025-08-14\",\"publicationTypes\":\"Journal Article\",\"fieldsOfStudy\":null,\"isOpenAccess\":false,\"openAccessPdf\":\"https://www.ncbi.nlm.nih.gov/pmc/articles/PMC12413759/pdf/\",\"citationCount\":\"0\",\"resultStr\":null,\"platform\":\"Semanticscholar\",\"paperid\":null,\"PeriodicalName\":\"Oxford open digital health\",\"FirstCategoryId\":\"1085\",\"ListUrlMain\":\"https://doi.org/10.1093/oodh/oqaf018\",\"RegionNum\":0,\"RegionCategory\":null,\"ArticlePicture\":[],\"TitleCN\":null,\"AbstractTextCN\":null,\"PMCID\":null,\"EPubDate\":\"2025/1/1 0:00:00\",\"PubModel\":\"eCollection\",\"JCR\":\"\",\"JCRName\":\"\",\"Score\":null,\"Total\":0}","platform":"Semanticscholar","paperid":null,"PeriodicalName":"Oxford open digital health","FirstCategoryId":"1085","ListUrlMain":"https://doi.org/10.1093/oodh/oqaf018","RegionNum":0,"RegionCategory":null,"ArticlePicture":[],"TitleCN":null,"AbstractTextCN":null,"PMCID":null,"EPubDate":"2025/1/1 0:00:00","PubModel":"eCollection","JCR":"","JCRName":"","Score":null,"Total":0}
引用次数: 0

摘要

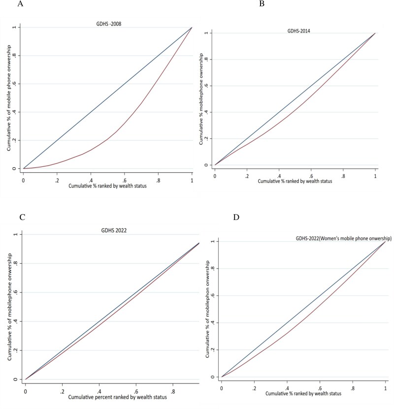
卢旺达正在利用数字保健作为一项关键战略,以改善获得优质妇幼保健服务的最佳途径,旨在降低孕产妇和儿童死亡率,实现可持续发展目标。证据对于指导卢旺达将数字卫生技术与提供妇幼保健服务相结合的努力至关重要。本研究分析了2010年、2014/15年和2019/20年卢旺达人口与健康调查的数据,以探讨手机拥有量的趋势和社会经济公平性及其对生殖和孕产妇保健服务利用的影响。结果显示,家庭手机拥有率从2010年的40%显著增加到2019/20年的71%。2010年(集中度指数= 0.46)、2014/15年(集中度指数= 0.28)和2019/20年(集中度指数= 0.22)家庭手机拥有率存在显著的亲富不平等。2010年(斜率指数= 0.63)、2014/15年(斜率指数= 0.59)和2019/20年(斜率指数= 0.50)受教育人群使用手机的比例也较高。手机的分配不公平,富人(集中指数= 0.29)和受过良好教育的女性(倾斜指数= 0.47)分别得到青睐。使用手机的妇女参加四次或以上产前保健检查的几率显著更高[调整优势比(AOR) = 1.42,可信区间(CI): 95% 1.16, 1.72],并确保12-23月龄儿童的全面免疫接种[AOR = 1.61, CI: 95% 1.02, 2.55]。手机拥有率的差异占产前保健利用差异的58%。这些发现强调,尽管卢旺达的手机拥有量大幅增加,但其分布仍然不均匀。解决这些问题对于增加卢旺达生殖和孕产妇保健服务的覆盖面和公平获得机会至关重要。
本文章由计算机程序翻译,如有差异,请以英文原文为准。

Access to mobile phone, socio-economic equity and maternal and child healthcare utilization in Rwanda: analysis of demographic and health surveys.

Access to mobile phone, socio-economic equity and maternal and child healthcare utilization in Rwanda: analysis of demographic and health surveys.

Access to mobile phone, socio-economic equity and maternal and child healthcare utilization in Rwanda: analysis of demographic and health surveys.

Access to mobile phone, socio-economic equity and maternal and child healthcare utilization in Rwanda: analysis of demographic and health surveys.

Rwanda is harnessing digital health as a key strategy to improve optimal access to quality maternal and child health services, aiming to reduce maternal and child mortality and attain sustainable development goals. Evidence is essential to guide Rwanda's effort to integrate digital health technologies with maternal and child health service delivery. This study analyzed data from 2010, 2014/15 and 2019/20 Rwanda demographic and health surveys to explore trends and socio-economic equity in mobile phone ownership and its influence on reproductive and maternal health service utilization. Results showed a marked increase in household mobile phone ownership from 40% in 2010 to 71% in 2019/20. Significant pro-rich inequities in household mobile phone ownership were observed in 2010 (concentration index = 0.46), 2014/15 (concentration index = 0.28) and 2019/20 (concentration index = 0.22). Mobile phone was also higher among the educated in 2010 (slope index = 0.63), 2014/15 (slope index = 0.59), and 2019/20 (slope index = 0.50). Mobile phones were inequitably distributed favoring better-off (concentration index = 0.29) and educated women (slope index = 0.47), respectively. Women with mobile phone had significantly higher odds of attending four or more antenatal care visits [adjusted odds ratio (AOR) = 1.42, confidence interval (CI): 95% 1.16, 1.72] and ensuring full immunization in children aged 12-23 months [AOR = 1.61, CI: 95% 1.02, 2.55]. Differences in mobile phone ownership accounted 58% of the observed disparity in antenatal care utilization. These findings underscore that while there has been a substantial increase in mobile phone ownership, it remains unevenly distributed in Rwanda. Addressing these is critical to increasing coverage and equitable access to reproductive and maternal health services in Rwanda.

求助全文
通过发布文献求助,成功后即可免费获取论文全文。 去求助
来源期刊
自引率
0.00%
发文量
0
×
引用
GB/T 7714-2015
复制
MLA
复制
APA
复制
导出至
BibTeX EndNote RefMan NoteFirst NoteExpress
×
提示
您的信息不完整,为了账户安全,请先补充。
现在去补充
×
提示
您因"违规操作"
具体请查看互助需知
我知道了
×
提示
确定
请完成安全验证×
copy
已复制链接
快去分享给好友吧!
我知道了
右上角分享
点击右上角分享
0
联系我们:info@booksci.cn Book学术提供免费学术资源搜索服务,方便国内外学者检索中英文文献。致力于提供最便捷和优质的服务体验。 Copyright © 2023 布克学术 All rights reserved.
京ICP备2023020795号-1
ghs 京公网安备 11010802042870号
Book学术文献互助
Book学术文献互助群
群 号:604180095
Book学术官方微信