长时间接触铜后大肠杆菌种群的生存、抗性和适应性动态。

IF 2.1 3区 医学 Q2 EVOLUTIONARY BIOLOGY
Evolution, Medicine, and Public Health Pub Date : 2025-07-02 eCollection Date: 2025-01-01 DOI:10.1093/emph/eoaf015
Sada Boyd-Vorsah, Arturo Torres Ortiz, Sophia Pulido, Brian Bui, Pamela J Yeh
{"title":"长时间接触铜后大肠杆菌种群的生存、抗性和适应性动态。","authors":"Sada Boyd-Vorsah, Arturo Torres Ortiz, Sophia Pulido, Brian Bui, Pamela J Yeh","doi":"10.1093/emph/eoaf015","DOIUrl":null,"url":null,"abstract":"<p><strong>Background and objectives: </strong>Copper is an essential micronutrient and a widely used antimicrobial, yet its widespread application may accelerate microbial resistance. We investigated how long-term copper (II) sulfate (CuSO₄) exposure drives genetic and phenotypic changes in <i>Escherichia coli</i>, focusing on survival, resistance mechanisms, and antibiotic cross-resistance.</p><p><strong>Methodology: </strong>Fifty <i>E. coli</i> populations were evolved for 55 days under progressively increasing CuSO₄ concentrations. Whole-genome sequencing (WGS) identified genetic adaptations, while phenotypic changes were assessed using minimum inhibitory concentration (MIC) and fitness assays across CuSO₄ and antibiotic gradients.</p><p><strong>Results: </strong>CuSO₄ imposed strong selective pressure, with only 16% of populations surviving prolonged exposure. Survivors exhibited up to eight-fold increases in CuSO₄ resistance, though some reverted to ancestral resistance levels when selective pressure was removed. Fitness assays showed that CuSO₄-selected populations maintained significantly higher fitness in high CuSO₄ environments than controls and ancestors (<i>P</i> < .001). WGS revealed diverse mutations in stress-response and metal-tolerance genes (<i>cusA</i>, <i>acrB</i>, <i>corA</i>, <i>fur</i>, and <i>ybhA</i>) without a single resistance signature. Although antibiotic cross-resistance was not observed, some CuSO₄-selected populations displayed elevated MICs for levofloxacin, colistin, trimethoprim, fosfomycin, and meropenem. Similar trends in controls suggest that additional factors, such as adaptation to laboratory media, also contribute to resistance.</p><p><strong>Conclusions and implications: </strong>CuSO₄ exerts strong and variable selective pressure on <i>E. coli</i> populations, promoting diverse resistance pathways through distinct genetic and physiological mechanisms. While some CuSO₄-selected strains exhibited increased antibiotic resistance, trends in controls highlight the complexity of resistance evolution. These findings emphasize the need to monitor copper-driven antimicrobial resistance.</p>","PeriodicalId":12156,"journal":{"name":"Evolution, Medicine, and Public Health","volume":"13 1","pages":"176-187"},"PeriodicalIF":2.1000,"publicationDate":"2025-07-02","publicationTypes":"Journal Article","fieldsOfStudy":null,"isOpenAccess":false,"openAccessPdf":"https://www.ncbi.nlm.nih.gov/pmc/articles/PMC12409786/pdf/","citationCount":"0","resultStr":"{\"title\":\"Survival, resistance, and fitness dynamics of <i>Escherichia coli</i> populations after prolonged exposure to copper.\",\"authors\":\"Sada Boyd-Vorsah, Arturo Torres Ortiz, Sophia Pulido, Brian Bui, Pamela J Yeh\",\"doi\":\"10.1093/emph/eoaf015\",\"DOIUrl\":null,\"url\":null,\"abstract\":\"<p><strong>Background and objectives: </strong>Copper is an essential micronutrient and a widely used antimicrobial, yet its widespread application may accelerate microbial resistance. We investigated how long-term copper (II) sulfate (CuSO₄) exposure drives genetic and phenotypic changes in <i>Escherichia coli</i>, focusing on survival, resistance mechanisms, and antibiotic cross-resistance.</p><p><strong>Methodology: </strong>Fifty <i>E. coli</i> populations were evolved for 55 days under progressively increasing CuSO₄ concentrations. Whole-genome sequencing (WGS) identified genetic adaptations, while phenotypic changes were assessed using minimum inhibitory concentration (MIC) and fitness assays across CuSO₄ and antibiotic gradients.</p><p><strong>Results: </strong>CuSO₄ imposed strong selective pressure, with only 16% of populations surviving prolonged exposure. Survivors exhibited up to eight-fold increases in CuSO₄ resistance, though some reverted to ancestral resistance levels when selective pressure was removed. Fitness assays showed that CuSO₄-selected populations maintained significantly higher fitness in high CuSO₄ environments than controls and ancestors (<i>P</i> < .001). WGS revealed diverse mutations in stress-response and metal-tolerance genes (<i>cusA</i>, <i>acrB</i>, <i>corA</i>, <i>fur</i>, and <i>ybhA</i>) without a single resistance signature. Although antibiotic cross-resistance was not observed, some CuSO₄-selected populations displayed elevated MICs for levofloxacin, colistin, trimethoprim, fosfomycin, and meropenem. Similar trends in controls suggest that additional factors, such as adaptation to laboratory media, also contribute to resistance.</p><p><strong>Conclusions and implications: </strong>CuSO₄ exerts strong and variable selective pressure on <i>E. coli</i> populations, promoting diverse resistance pathways through distinct genetic and physiological mechanisms. While some CuSO₄-selected strains exhibited increased antibiotic resistance, trends in controls highlight the complexity of resistance evolution. These findings emphasize the need to monitor copper-driven antimicrobial resistance.</p>\",\"PeriodicalId\":12156,\"journal\":{\"name\":\"Evolution, Medicine, and Public Health\",\"volume\":\"13 1\",\"pages\":\"176-187\"},\"PeriodicalIF\":2.1000,\"publicationDate\":\"2025-07-02\",\"publicationTypes\":\"Journal Article\",\"fieldsOfStudy\":null,\"isOpenAccess\":false,\"openAccessPdf\":\"https://www.ncbi.nlm.nih.gov/pmc/articles/PMC12409786/pdf/\",\"citationCount\":\"0\",\"resultStr\":null,\"platform\":\"Semanticscholar\",\"paperid\":null,\"PeriodicalName\":\"Evolution, Medicine, and Public Health\",\"FirstCategoryId\":\"3\",\"ListUrlMain\":\"https://doi.org/10.1093/emph/eoaf015\",\"RegionNum\":3,\"RegionCategory\":\"医学\",\"ArticlePicture\":[],\"TitleCN\":null,\"AbstractTextCN\":null,\"PMCID\":null,\"EPubDate\":\"2025/1/1 0:00:00\",\"PubModel\":\"eCollection\",\"JCR\":\"Q2\",\"JCRName\":\"EVOLUTIONARY BIOLOGY\",\"Score\":null,\"Total\":0}","platform":"Semanticscholar","paperid":null,"PeriodicalName":"Evolution, Medicine, and Public Health","FirstCategoryId":"3","ListUrlMain":"https://doi.org/10.1093/emph/eoaf015","RegionNum":3,"RegionCategory":"医学","ArticlePicture":[],"TitleCN":null,"AbstractTextCN":null,"PMCID":null,"EPubDate":"2025/1/1 0:00:00","PubModel":"eCollection","JCR":"Q2","JCRName":"EVOLUTIONARY BIOLOGY","Score":null,"Total":0}
引用次数: 0

摘要

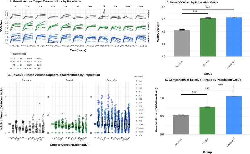
背景与目的:铜是人体必需的微量营养素和广泛使用的抗微生物药物,但其广泛应用可能会加速微生物的耐药性。我们研究了长期硫酸铜(CuSO₄)暴露如何驱动大肠杆菌的遗传和表型变化,重点关注存活、耐药机制和抗生素交叉耐药。方法:50个大肠杆菌群体在逐渐增加的硫酸铜浓度下进化55天。全基因组测序(WGS)确定了遗传适应性,同时使用最低抑制浓度(MIC)和适应度分析评估了表型变化,这些变化横跨CuSO 4和抗生素梯度。结果:CuSO 4施加了很强的选择压力,只有16%的种群在长时间暴露下存活。幸存者表现出高达8倍的CuSO 4抗性增加,尽管一些恢复到祖先的抗性水平,当选择压力被移除。适应度分析显示,与对照组和祖先(P cusA、acrB、corA、fur和ybhA)相比,硫酸钙选择的种群在高硫酸钙环境中保持了显著更高的适应度,而没有单一的抗性特征。虽然没有观察到抗生素交叉耐药,但一些CuSO 4选择的人群显示左氧氟沙星,粘菌素,甲氧苄啶,磷霉素和美罗培南的mic升高。控制方面的类似趋势表明,对实验室媒介的适应等其他因素也有助于产生耐药性。结论和意义:硫酸铜对大肠杆菌群体施加强大而多变的选择压力,通过不同的遗传和生理机制促进多种抗性途径。虽然一些CuSO 4选择菌株表现出增加的抗生素耐药性,但对照的趋势突出了耐药性进化的复杂性。这些发现强调了监测铜驱动的抗菌素耐药性的必要性。
本文章由计算机程序翻译,如有差异,请以英文原文为准。

Survival, resistance, and fitness dynamics of <i>Escherichia coli</i> populations after prolonged exposure to copper.

Survival, resistance, and fitness dynamics of <i>Escherichia coli</i> populations after prolonged exposure to copper.

Survival, resistance, and fitness dynamics of <i>Escherichia coli</i> populations after prolonged exposure to copper.

Survival, resistance, and fitness dynamics of Escherichia coli populations after prolonged exposure to copper.

Background and objectives: Copper is an essential micronutrient and a widely used antimicrobial, yet its widespread application may accelerate microbial resistance. We investigated how long-term copper (II) sulfate (CuSO₄) exposure drives genetic and phenotypic changes in Escherichia coli, focusing on survival, resistance mechanisms, and antibiotic cross-resistance.

Methodology: Fifty E. coli populations were evolved for 55 days under progressively increasing CuSO₄ concentrations. Whole-genome sequencing (WGS) identified genetic adaptations, while phenotypic changes were assessed using minimum inhibitory concentration (MIC) and fitness assays across CuSO₄ and antibiotic gradients.

Results: CuSO₄ imposed strong selective pressure, with only 16% of populations surviving prolonged exposure. Survivors exhibited up to eight-fold increases in CuSO₄ resistance, though some reverted to ancestral resistance levels when selective pressure was removed. Fitness assays showed that CuSO₄-selected populations maintained significantly higher fitness in high CuSO₄ environments than controls and ancestors (P < .001). WGS revealed diverse mutations in stress-response and metal-tolerance genes (cusA, acrB, corA, fur, and ybhA) without a single resistance signature. Although antibiotic cross-resistance was not observed, some CuSO₄-selected populations displayed elevated MICs for levofloxacin, colistin, trimethoprim, fosfomycin, and meropenem. Similar trends in controls suggest that additional factors, such as adaptation to laboratory media, also contribute to resistance.

Conclusions and implications: CuSO₄ exerts strong and variable selective pressure on E. coli populations, promoting diverse resistance pathways through distinct genetic and physiological mechanisms. While some CuSO₄-selected strains exhibited increased antibiotic resistance, trends in controls highlight the complexity of resistance evolution. These findings emphasize the need to monitor copper-driven antimicrobial resistance.

求助全文
通过发布文献求助,成功后即可免费获取论文全文。 去求助
来源期刊
Evolution, Medicine, and Public Health
Evolution, Medicine, and Public Health Environmental Science-Health, Toxicology and Mutagenesis
CiteScore
5.40
自引率
2.70%
发文量
37
审稿时长
8 weeks
期刊介绍: About the Journal Founded by Stephen Stearns in 2013, Evolution, Medicine, and Public Health is an open access journal that publishes original, rigorous applications of evolutionary science to issues in medicine and public health. It aims to connect evolutionary biology with the health sciences to produce insights that may reduce suffering and save lives. Because evolutionary biology is a basic science that reaches across many disciplines, this journal is open to contributions on a broad range of topics.
×
引用
GB/T 7714-2015
复制
MLA
复制
APA
复制
导出至
BibTeX EndNote RefMan NoteFirst NoteExpress
×
提示
您的信息不完整,为了账户安全,请先补充。
现在去补充
×
提示
您因"违规操作"
具体请查看互助需知
我知道了
×
提示
确定
请完成安全验证×
copy
已复制链接
快去分享给好友吧!
我知道了
右上角分享
点击右上角分享
0
联系我们:info@booksci.cn Book学术提供免费学术资源搜索服务,方便国内外学者检索中英文文献。致力于提供最便捷和优质的服务体验。 Copyright © 2023 布克学术 All rights reserved.
京ICP备2023020795号-1
ghs 京公网安备 11010802042870号
Book学术文献互助
Book学术文献互助群
群 号:604180095
Book学术官方微信