糙米、代餐和抗肥胖药物对肥胖大鼠线粒体的影响。

IF 3 3区 医学 Q3 ENDOCRINOLOGY & METABOLISM
Dian Handayani, Anisa Handayani, Achmad Rudijanto, Puspita Nuraissa, Widya Rahmawati, Xu-Feng Huang
{"title":"糙米、代餐和抗肥胖药物对肥胖大鼠线粒体的影响。","authors":"Dian Handayani, Anisa Handayani, Achmad Rudijanto, Puspita Nuraissa, Widya Rahmawati, Xu-Feng Huang","doi":"10.2147/DMSO.S535983","DOIUrl":null,"url":null,"abstract":"<p><strong>Introduction: </strong>Obesity remains a critical global health challenge, intricately linked to poor dietary quality, gut microbiota dysbiosis, and mitochondrial dysfunction.</p><p><strong>Purpose: </strong>This study aimed to investigate the comparative effects of brown rice, meal replacements, and thiazolidinediones on mitochondrial abundance and gut microbiota composition in a rat model of diet-induced obesity.</p><p><strong>Methods and materials: </strong>A total of twenty male Sprague Dawley rats were randomly assigned to five groups: control, high-fat high-fructose diet, and three intervention groups receiving the same obesogenic diet supplemented with brown rice, meal replacement, or thiazolidinediones for twelve weeks. Mitochondrial activity in white adipose tissue was quantified using fluorescent staining techniques, while gut microbiota composition was assessed by analyzing the Firmicutes-to-Bacteroidetes ratio through quantitative PCR.</p><p><strong>Results: </strong>Significant differences were observed in fiber intake and gut microbiota composition across groups (p < 0.001). The brown rice (BR) group exhibited the highest fiber intake (6.36 ± 1.01 g/day) and a favorable Firmicutes/Bacteroidetes ratio (1.36 ± 0.09). Mitochondrial count was significantly higher in the meal replacement (MR) group (60 ± 4.08) compared to the HFHF group (30 ± 2.89; p < 0.001). These findings suggest that high-fiber dietary interventions may enhance mitochondrial biogenesis and improve gut microbial balance, providing metabolic benefits in diet-induced obese models.</p><p><strong>Conclusion: </strong>These findings demonstrate that dietary fiber-rich interventions can modulate host metabolism through concurrent improvement of gut microbiota and mitochondrial function. Brown rice and meal replacements offer promising, non-pharmacological strategies for obesity management, while pharmacological agents such as thiazolidinediones may provide additive benefits through targeted mitochondrial enhancement. This study supports an integrated approach to metabolic health and underscores the significance of diet quality in the prevention and treatment of obesity.</p>","PeriodicalId":11116,"journal":{"name":"Diabetes, Metabolic Syndrome and Obesity: Targets and Therapy","volume":"18 ","pages":"3151-3165"},"PeriodicalIF":3.0000,"publicationDate":"2025-09-02","publicationTypes":"Journal Article","fieldsOfStudy":null,"isOpenAccess":false,"openAccessPdf":"https://www.ncbi.nlm.nih.gov/pmc/articles/PMC12413824/pdf/","citationCount":"0","resultStr":"{\"title\":\"Effects of Brown Rice, Meal Replacements, and Anti-Obesity Drugs on Mitochondria in Obese Rats.\",\"authors\":\"Dian Handayani, Anisa Handayani, Achmad Rudijanto, Puspita Nuraissa, Widya Rahmawati, Xu-Feng Huang\",\"doi\":\"10.2147/DMSO.S535983\",\"DOIUrl\":null,\"url\":null,\"abstract\":\"<p><strong>Introduction: </strong>Obesity remains a critical global health challenge, intricately linked to poor dietary quality, gut microbiota dysbiosis, and mitochondrial dysfunction.</p><p><strong>Purpose: </strong>This study aimed to investigate the comparative effects of brown rice, meal replacements, and thiazolidinediones on mitochondrial abundance and gut microbiota composition in a rat model of diet-induced obesity.</p><p><strong>Methods and materials: </strong>A total of twenty male Sprague Dawley rats were randomly assigned to five groups: control, high-fat high-fructose diet, and three intervention groups receiving the same obesogenic diet supplemented with brown rice, meal replacement, or thiazolidinediones for twelve weeks. Mitochondrial activity in white adipose tissue was quantified using fluorescent staining techniques, while gut microbiota composition was assessed by analyzing the Firmicutes-to-Bacteroidetes ratio through quantitative PCR.</p><p><strong>Results: </strong>Significant differences were observed in fiber intake and gut microbiota composition across groups (p < 0.001). The brown rice (BR) group exhibited the highest fiber intake (6.36 ± 1.01 g/day) and a favorable Firmicutes/Bacteroidetes ratio (1.36 ± 0.09). Mitochondrial count was significantly higher in the meal replacement (MR) group (60 ± 4.08) compared to the HFHF group (30 ± 2.89; p < 0.001). These findings suggest that high-fiber dietary interventions may enhance mitochondrial biogenesis and improve gut microbial balance, providing metabolic benefits in diet-induced obese models.</p><p><strong>Conclusion: </strong>These findings demonstrate that dietary fiber-rich interventions can modulate host metabolism through concurrent improvement of gut microbiota and mitochondrial function. Brown rice and meal replacements offer promising, non-pharmacological strategies for obesity management, while pharmacological agents such as thiazolidinediones may provide additive benefits through targeted mitochondrial enhancement. This study supports an integrated approach to metabolic health and underscores the significance of diet quality in the prevention and treatment of obesity.</p>\",\"PeriodicalId\":11116,\"journal\":{\"name\":\"Diabetes, Metabolic Syndrome and Obesity: Targets and Therapy\",\"volume\":\"18 \",\"pages\":\"3151-3165\"},\"PeriodicalIF\":3.0000,\"publicationDate\":\"2025-09-02\",\"publicationTypes\":\"Journal Article\",\"fieldsOfStudy\":null,\"isOpenAccess\":false,\"openAccessPdf\":\"https://www.ncbi.nlm.nih.gov/pmc/articles/PMC12413824/pdf/\",\"citationCount\":\"0\",\"resultStr\":null,\"platform\":\"Semanticscholar\",\"paperid\":null,\"PeriodicalName\":\"Diabetes, Metabolic Syndrome and Obesity: Targets and Therapy\",\"FirstCategoryId\":\"3\",\"ListUrlMain\":\"https://doi.org/10.2147/DMSO.S535983\",\"RegionNum\":3,\"RegionCategory\":\"医学\",\"ArticlePicture\":[],\"TitleCN\":null,\"AbstractTextCN\":null,\"PMCID\":null,\"EPubDate\":\"2025/1/1 0:00:00\",\"PubModel\":\"eCollection\",\"JCR\":\"Q3\",\"JCRName\":\"ENDOCRINOLOGY & METABOLISM\",\"Score\":null,\"Total\":0}","platform":"Semanticscholar","paperid":null,"PeriodicalName":"Diabetes, Metabolic Syndrome and Obesity: Targets and Therapy","FirstCategoryId":"3","ListUrlMain":"https://doi.org/10.2147/DMSO.S535983","RegionNum":3,"RegionCategory":"医学","ArticlePicture":[],"TitleCN":null,"AbstractTextCN":null,"PMCID":null,"EPubDate":"2025/1/1 0:00:00","PubModel":"eCollection","JCR":"Q3","JCRName":"ENDOCRINOLOGY & METABOLISM","Score":null,"Total":0}
引用次数: 0

摘要

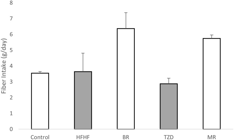
肥胖仍然是一个重要的全球健康挑战,与饮食质量差、肠道微生物群失调和线粒体功能障碍有着复杂的联系。目的:本研究旨在研究糙米、代餐和噻唑烷二酮对饮食性肥胖大鼠线粒体丰度和肠道微生物群组成的比较影响。方法与材料:选取20只雄性Sprague Dawley大鼠,随机分为5组:对照组、高脂高果糖饮食组和3个干预组,在相同的致肥性饮食中添加糙米、代餐或噻唑烷二酮,持续12周。利用荧光染色技术定量分析白色脂肪组织的线粒体活性,通过定量PCR分析厚壁菌群与拟杆菌群的比例来评估肠道微生物群组成。结果:各组间纤维摄入量和肠道菌群组成差异显著(p < 0.001)。糙米组纤维摄取量最高(6.36±1.01 g/d),厚壁菌门/拟杆菌门比值最高(1.36±0.09)。代餐(MR)组线粒体计数(60±4.08)显著高于HFHF组(30±2.89,p < 0.001)。这些发现表明,高纤维饮食干预可能会增强线粒体生物发生,改善肠道微生物平衡,为饮食诱导的肥胖模型提供代谢益处。结论:富含膳食纤维的干预可以通过改善肠道菌群和线粒体功能来调节宿主代谢。糙米和代餐为肥胖管理提供了有希望的非药物策略,而噻唑烷二酮等药物可能通过靶向线粒体增强提供附加益处。这项研究支持了代谢健康的综合方法,并强调了饮食质量在预防和治疗肥胖中的重要性。
本文章由计算机程序翻译,如有差异,请以英文原文为准。

Effects of Brown Rice, Meal Replacements, and Anti-Obesity Drugs on Mitochondria in Obese Rats.

Effects of Brown Rice, Meal Replacements, and Anti-Obesity Drugs on Mitochondria in Obese Rats.

Effects of Brown Rice, Meal Replacements, and Anti-Obesity Drugs on Mitochondria in Obese Rats.

Effects of Brown Rice, Meal Replacements, and Anti-Obesity Drugs on Mitochondria in Obese Rats.

Introduction: Obesity remains a critical global health challenge, intricately linked to poor dietary quality, gut microbiota dysbiosis, and mitochondrial dysfunction.

Purpose: This study aimed to investigate the comparative effects of brown rice, meal replacements, and thiazolidinediones on mitochondrial abundance and gut microbiota composition in a rat model of diet-induced obesity.

Methods and materials: A total of twenty male Sprague Dawley rats were randomly assigned to five groups: control, high-fat high-fructose diet, and three intervention groups receiving the same obesogenic diet supplemented with brown rice, meal replacement, or thiazolidinediones for twelve weeks. Mitochondrial activity in white adipose tissue was quantified using fluorescent staining techniques, while gut microbiota composition was assessed by analyzing the Firmicutes-to-Bacteroidetes ratio through quantitative PCR.

Results: Significant differences were observed in fiber intake and gut microbiota composition across groups (p < 0.001). The brown rice (BR) group exhibited the highest fiber intake (6.36 ± 1.01 g/day) and a favorable Firmicutes/Bacteroidetes ratio (1.36 ± 0.09). Mitochondrial count was significantly higher in the meal replacement (MR) group (60 ± 4.08) compared to the HFHF group (30 ± 2.89; p < 0.001). These findings suggest that high-fiber dietary interventions may enhance mitochondrial biogenesis and improve gut microbial balance, providing metabolic benefits in diet-induced obese models.

Conclusion: These findings demonstrate that dietary fiber-rich interventions can modulate host metabolism through concurrent improvement of gut microbiota and mitochondrial function. Brown rice and meal replacements offer promising, non-pharmacological strategies for obesity management, while pharmacological agents such as thiazolidinediones may provide additive benefits through targeted mitochondrial enhancement. This study supports an integrated approach to metabolic health and underscores the significance of diet quality in the prevention and treatment of obesity.

求助全文
通过发布文献求助,成功后即可免费获取论文全文。 去求助
来源期刊
Diabetes, Metabolic Syndrome and Obesity: Targets and Therapy
Diabetes, Metabolic Syndrome and Obesity: Targets and Therapy Pharmacology, Toxicology and Pharmaceutics-Pharmacology
CiteScore
5.90
自引率
6.10%
发文量
431
审稿时长
16 weeks
期刊介绍: An international, peer-reviewed, open access, online journal. The journal is committed to the rapid publication of the latest laboratory and clinical findings in the fields of diabetes, metabolic syndrome and obesity research. Original research, review, case reports, hypothesis formation, expert opinion and commentaries are all considered for publication.
×
引用
GB/T 7714-2015
复制
MLA
复制
APA
复制
导出至
BibTeX EndNote RefMan NoteFirst NoteExpress
×
提示
您的信息不完整,为了账户安全,请先补充。
现在去补充
×
提示
您因"违规操作"
具体请查看互助需知
我知道了
×
提示
确定
请完成安全验证×
copy
已复制链接
快去分享给好友吧!
我知道了
右上角分享
点击右上角分享
0
联系我们:info@booksci.cn Book学术提供免费学术资源搜索服务,方便国内外学者检索中英文文献。致力于提供最便捷和优质的服务体验。 Copyright © 2023 布克学术 All rights reserved.
京ICP备2023020795号-1
ghs 京公网安备 11010802042870号
Book学术文献互助
Book学术文献互助群
群 号:604180095
Book学术官方微信