her2阳性乳腺癌的新辅助多西他赛-卡铂-曲妥珠单抗治疗:来自越南的单中心经验

IF 2.6 4区 医学 Q3 ONCOLOGY
Cancer Management and Research Pub Date : 2025-08-31 eCollection Date: 2025-01-01 DOI:10.2147/CMAR.S537882
Hung Nguyen Quang, Phuong Dao Manh, Mai Nguyen Thi Hoa, Doan Tran Thi
{"title":"her2阳性乳腺癌的新辅助多西他赛-卡铂-曲妥珠单抗治疗:来自越南的单中心经验","authors":"Hung Nguyen Quang, Phuong Dao Manh, Mai Nguyen Thi Hoa, Doan Tran Thi","doi":"10.2147/CMAR.S537882","DOIUrl":null,"url":null,"abstract":"<p><strong>Purpose: </strong>To evaluate the efficacy of neoadjuvant therapy and identify associated factors influencing treatment response in patients with HER2-positive breast cancer.</p><p><strong>Subjects and methods: </strong>A prospective, longitudinal study of 40 women with a mean age of 50.68 ± 10.53 years diagnosed with HER2-positive breast cancer. All patients received neoadjuvant treatment using Docetaxel-Carboplatin-Trastuzumab (TCH) regimens. These patients were evaluated for treatment response based on the Response Evaluation Criteria In Solid Tumors (RECIST) after six 21-day treatment cycles.</p><p><strong>Results: </strong>The proportion of good responders was 45.0% (18/40 patients). Younger age, earlier clinical stage, and lower baseline serum CA15-3 levels were significantly associated with a better response (p < 0.05). The incidence of adverse events was also significantly lower in good responders (p < 0.05). Multivariate analysis identified younger age and lower CA15-3 concentration as independent predictors of favorable response, with area under the Receiver Operating Characteristic (ROC) curves (AUC) of 0.758 and 0.821, respectively (p = 0.006 and p = 0.001).</p><p><strong>Conclusion: </strong>Neoadjuvant treatment using the Docetaxel-Carboplatin-Trastuzumab regimen provides favorable clinical outcomes in HER2-positive breast cancer patients. Baseline CA15-3 levels may serve as a useful predictor of treatment response.</p>","PeriodicalId":9479,"journal":{"name":"Cancer Management and Research","volume":"17 ","pages":"1851-1858"},"PeriodicalIF":2.6000,"publicationDate":"2025-08-31","publicationTypes":"Journal Article","fieldsOfStudy":null,"isOpenAccess":false,"openAccessPdf":"https://www.ncbi.nlm.nih.gov/pmc/articles/PMC12410382/pdf/","citationCount":"0","resultStr":"{\"title\":\"Neoadjuvant Docetaxel-Carboplatin-Trastuzumab Therapy in HER2-Positive Breast Cancer: A Single-Center Experience from Vietnam.\",\"authors\":\"Hung Nguyen Quang, Phuong Dao Manh, Mai Nguyen Thi Hoa, Doan Tran Thi\",\"doi\":\"10.2147/CMAR.S537882\",\"DOIUrl\":null,\"url\":null,\"abstract\":\"<p><strong>Purpose: </strong>To evaluate the efficacy of neoadjuvant therapy and identify associated factors influencing treatment response in patients with HER2-positive breast cancer.</p><p><strong>Subjects and methods: </strong>A prospective, longitudinal study of 40 women with a mean age of 50.68 ± 10.53 years diagnosed with HER2-positive breast cancer. All patients received neoadjuvant treatment using Docetaxel-Carboplatin-Trastuzumab (TCH) regimens. These patients were evaluated for treatment response based on the Response Evaluation Criteria In Solid Tumors (RECIST) after six 21-day treatment cycles.</p><p><strong>Results: </strong>The proportion of good responders was 45.0% (18/40 patients). Younger age, earlier clinical stage, and lower baseline serum CA15-3 levels were significantly associated with a better response (p < 0.05). The incidence of adverse events was also significantly lower in good responders (p < 0.05). Multivariate analysis identified younger age and lower CA15-3 concentration as independent predictors of favorable response, with area under the Receiver Operating Characteristic (ROC) curves (AUC) of 0.758 and 0.821, respectively (p = 0.006 and p = 0.001).</p><p><strong>Conclusion: </strong>Neoadjuvant treatment using the Docetaxel-Carboplatin-Trastuzumab regimen provides favorable clinical outcomes in HER2-positive breast cancer patients. Baseline CA15-3 levels may serve as a useful predictor of treatment response.</p>\",\"PeriodicalId\":9479,\"journal\":{\"name\":\"Cancer Management and Research\",\"volume\":\"17 \",\"pages\":\"1851-1858\"},\"PeriodicalIF\":2.6000,\"publicationDate\":\"2025-08-31\",\"publicationTypes\":\"Journal Article\",\"fieldsOfStudy\":null,\"isOpenAccess\":false,\"openAccessPdf\":\"https://www.ncbi.nlm.nih.gov/pmc/articles/PMC12410382/pdf/\",\"citationCount\":\"0\",\"resultStr\":null,\"platform\":\"Semanticscholar\",\"paperid\":null,\"PeriodicalName\":\"Cancer Management and Research\",\"FirstCategoryId\":\"3\",\"ListUrlMain\":\"https://doi.org/10.2147/CMAR.S537882\",\"RegionNum\":4,\"RegionCategory\":\"医学\",\"ArticlePicture\":[],\"TitleCN\":null,\"AbstractTextCN\":null,\"PMCID\":null,\"EPubDate\":\"2025/1/1 0:00:00\",\"PubModel\":\"eCollection\",\"JCR\":\"Q3\",\"JCRName\":\"ONCOLOGY\",\"Score\":null,\"Total\":0}","platform":"Semanticscholar","paperid":null,"PeriodicalName":"Cancer Management and Research","FirstCategoryId":"3","ListUrlMain":"https://doi.org/10.2147/CMAR.S537882","RegionNum":4,"RegionCategory":"医学","ArticlePicture":[],"TitleCN":null,"AbstractTextCN":null,"PMCID":null,"EPubDate":"2025/1/1 0:00:00","PubModel":"eCollection","JCR":"Q3","JCRName":"ONCOLOGY","Score":null,"Total":0}
引用次数: 0

摘要

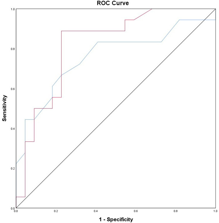
目的:评价her2阳性乳腺癌患者新辅助治疗的疗效,探讨影响治疗反应的相关因素。研究对象和方法:对40名平均年龄为50.68±10.53岁的诊断为her2阳性乳腺癌的女性进行前瞻性、纵向研究。所有患者均接受多西他赛-卡铂-曲妥珠单抗(TCH)方案的新辅助治疗。在6个21天的治疗周期后,根据实体肿瘤反应评估标准(RECIST)评估这些患者的治疗反应。结果:良好应答者占45.0%(18/40)。年龄越小、临床分期越早、基线血清CA15-3水平越低,疗效越好(p < 0.05)。反应良好组不良事件发生率明显低于对照组(p < 0.05)。多因素分析发现,较年轻的年龄和较低的CA15-3浓度是良好反应的独立预测因子,受试者工作特征曲线下面积(AUC)分别为0.758和0.821 (p = 0.006和p = 0.001)。结论:多西他赛-卡铂-曲妥珠单抗方案的新辅助治疗为her2阳性乳腺癌患者提供了良好的临床结果。基线CA15-3水平可作为治疗反应的有用预测指标。
本文章由计算机程序翻译,如有差异,请以英文原文为准。

Neoadjuvant Docetaxel-Carboplatin-Trastuzumab Therapy in HER2-Positive Breast Cancer: A Single-Center Experience from Vietnam.

Neoadjuvant Docetaxel-Carboplatin-Trastuzumab Therapy in HER2-Positive Breast Cancer: A Single-Center Experience from Vietnam.

Purpose: To evaluate the efficacy of neoadjuvant therapy and identify associated factors influencing treatment response in patients with HER2-positive breast cancer.

Subjects and methods: A prospective, longitudinal study of 40 women with a mean age of 50.68 ± 10.53 years diagnosed with HER2-positive breast cancer. All patients received neoadjuvant treatment using Docetaxel-Carboplatin-Trastuzumab (TCH) regimens. These patients were evaluated for treatment response based on the Response Evaluation Criteria In Solid Tumors (RECIST) after six 21-day treatment cycles.

Results: The proportion of good responders was 45.0% (18/40 patients). Younger age, earlier clinical stage, and lower baseline serum CA15-3 levels were significantly associated with a better response (p < 0.05). The incidence of adverse events was also significantly lower in good responders (p < 0.05). Multivariate analysis identified younger age and lower CA15-3 concentration as independent predictors of favorable response, with area under the Receiver Operating Characteristic (ROC) curves (AUC) of 0.758 and 0.821, respectively (p = 0.006 and p = 0.001).

Conclusion: Neoadjuvant treatment using the Docetaxel-Carboplatin-Trastuzumab regimen provides favorable clinical outcomes in HER2-positive breast cancer patients. Baseline CA15-3 levels may serve as a useful predictor of treatment response.

求助全文
通过发布文献求助,成功后即可免费获取论文全文。 去求助
来源期刊
Cancer Management and Research
Cancer Management and Research Medicine-Oncology
CiteScore
7.40
自引率
0.00%
发文量
448
审稿时长
16 weeks
期刊介绍: Cancer Management and Research is an international, peer reviewed, open access journal focusing on cancer research and the optimal use of preventative and integrated treatment interventions to achieve improved outcomes, enhanced survival, and quality of life for cancer patients. Specific topics covered in the journal include: ◦Epidemiology, detection and screening ◦Cellular research and biomarkers ◦Identification of biotargets and agents with novel mechanisms of action ◦Optimal clinical use of existing anticancer agents, including combination therapies ◦Radiation and surgery ◦Palliative care ◦Patient adherence, quality of life, satisfaction The journal welcomes submitted papers covering original research, basic science, clinical & epidemiological studies, reviews & evaluations, guidelines, expert opinion and commentary, and case series that shed novel insights on a disease or disease subtype.
×
引用
GB/T 7714-2015
复制
MLA
复制
APA
复制
导出至
BibTeX EndNote RefMan NoteFirst NoteExpress
×
提示
您的信息不完整,为了账户安全,请先补充。
现在去补充
×
提示
您因"违规操作"
具体请查看互助需知
我知道了
×
提示
确定
请完成安全验证×
copy
已复制链接
快去分享给好友吧!
我知道了
右上角分享
点击右上角分享
0
联系我们:info@booksci.cn Book学术提供免费学术资源搜索服务,方便国内外学者检索中英文文献。致力于提供最便捷和优质的服务体验。 Copyright © 2023 布克学术 All rights reserved.
京ICP备2023020795号-1
ghs 京公网安备 11010802042870号
Book学术文献互助
Book学术文献互助群
群 号:604180095
Book学术官方微信