接受免疫治疗和靶向治疗的晚期肝癌患者甘油三酯-葡萄糖指数与长期预后的关系

IF 5.4 3区 医学 Q1 GASTROENTEROLOGY & HEPATOLOGY
Geng-Chen Li, Zhi-Yuan Yao, Hong-Sen Mao, Zheng-Xiang Han
{"title":"接受免疫治疗和靶向治疗的晚期肝癌患者甘油三酯-葡萄糖指数与长期预后的关系","authors":"Geng-Chen Li, Zhi-Yuan Yao, Hong-Sen Mao, Zheng-Xiang Han","doi":"10.3748/wjg.v31.i30.109863","DOIUrl":null,"url":null,"abstract":"<p><strong>Background: </strong>Primary liver cancer, particularly hepatocellular carcinoma (HCC), ranks as the sixth most prevalent cancer globally and the third major cause of cancer-associated mortality. Despite the available immunotherapies and combined immunotherapy and targeted therapy, the prognosis for many patients remains dismal. Accurately identifying the appropriate patient cohorts is crucial for improving treatment outcomes.</p><p><strong>Aim: </strong>To investigate the prognostic value of the triglyceride-glucose (TyG) index - a novel, accessible marker of insulin resistance - in predicting therapeutic outcomes among patients with hepatitis B virus (HBV)-related HCC treated with camrelizumab and lenvatinib.</p><p><strong>Methods: </strong>In this study, we conducted a retrospective review of 278 patients diagnosed with stage B/C HBV-related HCC who underwent combination therapy. Based on their TyG index, patients were categorized into high and low TyG index groups. A nomogram prediction model was developed based on independent prognostic factors for overall survival (OS) and validated using the C-index and calibration curves.</p><p><strong>Results: </strong>Of the 278 patients enrolled in the study, 144 were assigned to the high TyG index group, while the remaining 134 were classified into the low index group. Importantly, patients with a low TyG index demonstrated a significantly prolonged median progression-free survival and OS relative to those with a high index. Additionally, the objective response rate and disease control rate were 22.39% and 64.18% in the low TyG index group, whereas they were 12.50% and 51.39% in the high TyG index group, respectively. Moreover, the incidence of hypertension was higher in the high TyG index group than in the low TyG index group. The incidence of other adverse effects did not differ significantly between the groups. Multivariate regression analysis identified independent prognostic factors for OS, including the Barcelona Clinic Liver Cancer stage, alpha-fetoprotein level, Eastern Cooperative Oncology Group score, distant metastasis, and the TyG index. The risk ratio of the TyG index was 0.48 (95% confidence interval: 0.31-0.72, <i>P</i> < 0.001).</p><p><strong>Conclusion: </strong>The TyG index is a reliable long-term predictor of response to combined immunotherapy and targeted therapy in patients with HBV-related HCC. Patients with a low TyG index tend to experience better clinical outcomes.</p>","PeriodicalId":23778,"journal":{"name":"World Journal of Gastroenterology","volume":"31 30","pages":"109863"},"PeriodicalIF":5.4000,"publicationDate":"2025-08-14","publicationTypes":"Journal Article","fieldsOfStudy":null,"isOpenAccess":false,"openAccessPdf":"https://www.ncbi.nlm.nih.gov/pmc/articles/PMC12404130/pdf/","citationCount":"0","resultStr":"{\"title\":\"Association of triglyceride-glucose index with long-term prognosis in advanced hepatocellular carcinoma patients receiving immunotherapy and targeted therapy.\",\"authors\":\"Geng-Chen Li, Zhi-Yuan Yao, Hong-Sen Mao, Zheng-Xiang Han\",\"doi\":\"10.3748/wjg.v31.i30.109863\",\"DOIUrl\":null,\"url\":null,\"abstract\":\"<p><strong>Background: </strong>Primary liver cancer, particularly hepatocellular carcinoma (HCC), ranks as the sixth most prevalent cancer globally and the third major cause of cancer-associated mortality. Despite the available immunotherapies and combined immunotherapy and targeted therapy, the prognosis for many patients remains dismal. Accurately identifying the appropriate patient cohorts is crucial for improving treatment outcomes.</p><p><strong>Aim: </strong>To investigate the prognostic value of the triglyceride-glucose (TyG) index - a novel, accessible marker of insulin resistance - in predicting therapeutic outcomes among patients with hepatitis B virus (HBV)-related HCC treated with camrelizumab and lenvatinib.</p><p><strong>Methods: </strong>In this study, we conducted a retrospective review of 278 patients diagnosed with stage B/C HBV-related HCC who underwent combination therapy. Based on their TyG index, patients were categorized into high and low TyG index groups. A nomogram prediction model was developed based on independent prognostic factors for overall survival (OS) and validated using the C-index and calibration curves.</p><p><strong>Results: </strong>Of the 278 patients enrolled in the study, 144 were assigned to the high TyG index group, while the remaining 134 were classified into the low index group. Importantly, patients with a low TyG index demonstrated a significantly prolonged median progression-free survival and OS relative to those with a high index. Additionally, the objective response rate and disease control rate were 22.39% and 64.18% in the low TyG index group, whereas they were 12.50% and 51.39% in the high TyG index group, respectively. Moreover, the incidence of hypertension was higher in the high TyG index group than in the low TyG index group. The incidence of other adverse effects did not differ significantly between the groups. Multivariate regression analysis identified independent prognostic factors for OS, including the Barcelona Clinic Liver Cancer stage, alpha-fetoprotein level, Eastern Cooperative Oncology Group score, distant metastasis, and the TyG index. The risk ratio of the TyG index was 0.48 (95% confidence interval: 0.31-0.72, <i>P</i> < 0.001).</p><p><strong>Conclusion: </strong>The TyG index is a reliable long-term predictor of response to combined immunotherapy and targeted therapy in patients with HBV-related HCC. Patients with a low TyG index tend to experience better clinical outcomes.</p>\",\"PeriodicalId\":23778,\"journal\":{\"name\":\"World Journal of Gastroenterology\",\"volume\":\"31 30\",\"pages\":\"109863\"},\"PeriodicalIF\":5.4000,\"publicationDate\":\"2025-08-14\",\"publicationTypes\":\"Journal Article\",\"fieldsOfStudy\":null,\"isOpenAccess\":false,\"openAccessPdf\":\"https://www.ncbi.nlm.nih.gov/pmc/articles/PMC12404130/pdf/\",\"citationCount\":\"0\",\"resultStr\":null,\"platform\":\"Semanticscholar\",\"paperid\":null,\"PeriodicalName\":\"World Journal of Gastroenterology\",\"FirstCategoryId\":\"3\",\"ListUrlMain\":\"https://doi.org/10.3748/wjg.v31.i30.109863\",\"RegionNum\":3,\"RegionCategory\":\"医学\",\"ArticlePicture\":[],\"TitleCN\":null,\"AbstractTextCN\":null,\"PMCID\":null,\"EPubDate\":\"\",\"PubModel\":\"\",\"JCR\":\"Q1\",\"JCRName\":\"GASTROENTEROLOGY & HEPATOLOGY\",\"Score\":null,\"Total\":0}","platform":"Semanticscholar","paperid":null,"PeriodicalName":"World Journal of Gastroenterology","FirstCategoryId":"3","ListUrlMain":"https://doi.org/10.3748/wjg.v31.i30.109863","RegionNum":3,"RegionCategory":"医学","ArticlePicture":[],"TitleCN":null,"AbstractTextCN":null,"PMCID":null,"EPubDate":"","PubModel":"","JCR":"Q1","JCRName":"GASTROENTEROLOGY & HEPATOLOGY","Score":null,"Total":0}
引用次数: 0

摘要

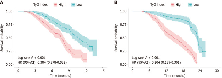
背景:原发性肝癌,尤其是肝细胞癌(HCC),是全球第六大流行癌症,也是癌症相关死亡的第三大原因。尽管有可用的免疫治疗和联合免疫治疗和靶向治疗,许多患者的预后仍然令人沮丧。准确识别合适的患者队列对于改善治疗结果至关重要。目的:探讨甘油三酯-葡萄糖(TyG)指数——一种新的、可获得的胰岛素抵抗标志物——在预测接受camrelizumab和lenvatinib治疗的乙型肝炎病毒(HBV)相关HCC患者治疗结果中的预后价值。方法:在这项研究中,我们对278例诊断为B/C期hbv相关HCC并接受联合治疗的患者进行了回顾性分析。根据TyG指数将患者分为TyG指数高组和TyG指数低组。基于独立预后因素建立总生存期(OS)的nomogram预测模型,并使用c指数和校准曲线进行验证。结果:278例入组患者中,144例被划分为TyG高指数组,134例被划分为TyG低指数组。重要的是,与TyG指数高的患者相比,TyG指数低的患者表现出明显延长的中位无进展生存期和OS。TyG指数低组客观有效率为22.39%,疾病控制率为64.18%,TyG指数高组客观有效率为12.50%,疾病控制率为51.39%。此外,TyG指数高组的高血压发病率高于TyG指数低组。其他不良反应的发生率在两组之间没有显著差异。多因素回归分析确定了OS的独立预后因素,包括巴塞罗那临床肝癌分期、甲胎蛋白水平、东部肿瘤合作组评分、远处转移和TyG指数。TyG指数的风险比为0.48(95%置信区间:0.31 ~ 0.72,P < 0.001)。结论:TyG指数是预测hbv相关HCC患者对联合免疫治疗和靶向治疗反应的可靠长期预测指标。TyG指数低的患者往往有更好的临床效果。
本文章由计算机程序翻译,如有差异,请以英文原文为准。

Association of triglyceride-glucose index with long-term prognosis in advanced hepatocellular carcinoma patients receiving immunotherapy and targeted therapy.

Association of triglyceride-glucose index with long-term prognosis in advanced hepatocellular carcinoma patients receiving immunotherapy and targeted therapy.

Association of triglyceride-glucose index with long-term prognosis in advanced hepatocellular carcinoma patients receiving immunotherapy and targeted therapy.

Association of triglyceride-glucose index with long-term prognosis in advanced hepatocellular carcinoma patients receiving immunotherapy and targeted therapy.

Background: Primary liver cancer, particularly hepatocellular carcinoma (HCC), ranks as the sixth most prevalent cancer globally and the third major cause of cancer-associated mortality. Despite the available immunotherapies and combined immunotherapy and targeted therapy, the prognosis for many patients remains dismal. Accurately identifying the appropriate patient cohorts is crucial for improving treatment outcomes.

Aim: To investigate the prognostic value of the triglyceride-glucose (TyG) index - a novel, accessible marker of insulin resistance - in predicting therapeutic outcomes among patients with hepatitis B virus (HBV)-related HCC treated with camrelizumab and lenvatinib.

Methods: In this study, we conducted a retrospective review of 278 patients diagnosed with stage B/C HBV-related HCC who underwent combination therapy. Based on their TyG index, patients were categorized into high and low TyG index groups. A nomogram prediction model was developed based on independent prognostic factors for overall survival (OS) and validated using the C-index and calibration curves.

Results: Of the 278 patients enrolled in the study, 144 were assigned to the high TyG index group, while the remaining 134 were classified into the low index group. Importantly, patients with a low TyG index demonstrated a significantly prolonged median progression-free survival and OS relative to those with a high index. Additionally, the objective response rate and disease control rate were 22.39% and 64.18% in the low TyG index group, whereas they were 12.50% and 51.39% in the high TyG index group, respectively. Moreover, the incidence of hypertension was higher in the high TyG index group than in the low TyG index group. The incidence of other adverse effects did not differ significantly between the groups. Multivariate regression analysis identified independent prognostic factors for OS, including the Barcelona Clinic Liver Cancer stage, alpha-fetoprotein level, Eastern Cooperative Oncology Group score, distant metastasis, and the TyG index. The risk ratio of the TyG index was 0.48 (95% confidence interval: 0.31-0.72, P < 0.001).

Conclusion: The TyG index is a reliable long-term predictor of response to combined immunotherapy and targeted therapy in patients with HBV-related HCC. Patients with a low TyG index tend to experience better clinical outcomes.

求助全文
通过发布文献求助,成功后即可免费获取论文全文。 去求助
来源期刊
World Journal of Gastroenterology
World Journal of Gastroenterology 医学-胃肠肝病学
CiteScore
7.80
自引率
4.70%
发文量
464
审稿时长
2.4 months
期刊介绍: The primary aims of the WJG are to improve diagnostic, therapeutic and preventive modalities and the skills of clinicians and to guide clinical practice in gastroenterology and hepatology.
×
引用
GB/T 7714-2015
复制
MLA
复制
APA
复制
导出至
BibTeX EndNote RefMan NoteFirst NoteExpress
×
提示
您的信息不完整,为了账户安全,请先补充。
现在去补充
×
提示
您因"违规操作"
具体请查看互助需知
我知道了
×
提示
确定
请完成安全验证×
copy
已复制链接
快去分享给好友吧!
我知道了
右上角分享
点击右上角分享
0
联系我们:info@booksci.cn Book学术提供免费学术资源搜索服务,方便国内外学者检索中英文文献。致力于提供最便捷和优质的服务体验。 Copyright © 2023 布克学术 All rights reserved.
京ICP备2023020795号-1
ghs 京公网安备 11010802042870号
Book学术文献互助
Book学术文献互助群
群 号:604180095
Book学术官方微信