使用临床筛查工具和转诊策略对慢性背痛患者中轴性脊柱炎的早期诊断。

IF 2.1 Q3 RHEUMATOLOGY
Rheumatology Advances in Practice Pub Date : 2025-07-28 eCollection Date: 2025-01-01 DOI:10.1093/rap/rkaf086
Abhijeet Danve, Swetha Alexander, Yuliya Afinogenova, Andrew Haims, Hong-Jai Park, Kaitlin R Maciejewski, Yanhong Deng, William Odell, Nicolas Page, Insoo Kang
{"title":"使用临床筛查工具和转诊策略对慢性背痛患者中轴性脊柱炎的早期诊断。","authors":"Abhijeet Danve, Swetha Alexander, Yuliya Afinogenova, Andrew Haims, Hong-Jai Park, Kaitlin R Maciejewski, Yanhong Deng, William Odell, Nicolas Page, Insoo Kang","doi":"10.1093/rap/rkaf086","DOIUrl":null,"url":null,"abstract":"<p><strong>Objective: </strong>Lack of timely referral of suspected axial spondyloarthritis (axSpA) patients to rheumatologists is an important modifiable reason for diagnostic delay of axSpA. We assessed the usefulness of a self-referral strategy using a clinical feature-based screening questionnaire (SQ) (A-tool).</p><p><strong>Methods: </strong>Finding axSpA (FaxSpA) was single-centre prospective study involving patients with chronic back pain (CBP). The A-tool, consisting of a three-question prescreen and eight-question SQ, was distributed to patients via the patient communication portal and university Facebook page. Patients with affirmative responses on all three prescreen questions, and three or more questions on SQ were eligible for study visit. Enrolled patients underwent history, physical examination, labs (CRP and HLA-B27) and imaging studies (X-ray and MRI of the pelvis). The clinician's judgement was considered the gold standard for diagnosing axSpA.</p><p><strong>Results: </strong>Eighty-six of the 100 enrolled patients completed all the study procedures, and 29 (34%) were diagnosed with axSpA. Seven patients had AS, and 22 had non-radiographic axSpA. Sensitivity and specificity of the individual A-tool questions for diagnosing axSpA ranged from 0.03 to 0.86 and 0.14 to 0.96, respectively. Positive likelihood ratios (+LR) of the individual items in the A-tool ranged from 0.84 to 1.34. There was low to moderate agreement between the patient responses on the online A-tool and the corresponding physician-confirmed responses.</p><p><strong>Conclusion: </strong>A tool-based strategy for self-referral of CBP patients is a simple, practical and feasible approach for early diagnosis of axSpA. We need a larger prospective study to validate our findings.</p>","PeriodicalId":21350,"journal":{"name":"Rheumatology Advances in Practice","volume":"9 3","pages":"rkaf086"},"PeriodicalIF":2.1000,"publicationDate":"2025-07-28","publicationTypes":"Journal Article","fieldsOfStudy":null,"isOpenAccess":false,"openAccessPdf":"https://www.ncbi.nlm.nih.gov/pmc/articles/PMC12401578/pdf/","citationCount":"0","resultStr":"{\"title\":\"Early diagnosis of axial spondyloarthritis among patients with chronic back pain using a clinical screening tool and referral strategy.\",\"authors\":\"Abhijeet Danve, Swetha Alexander, Yuliya Afinogenova, Andrew Haims, Hong-Jai Park, Kaitlin R Maciejewski, Yanhong Deng, William Odell, Nicolas Page, Insoo Kang\",\"doi\":\"10.1093/rap/rkaf086\",\"DOIUrl\":null,\"url\":null,\"abstract\":\"<p><strong>Objective: </strong>Lack of timely referral of suspected axial spondyloarthritis (axSpA) patients to rheumatologists is an important modifiable reason for diagnostic delay of axSpA. We assessed the usefulness of a self-referral strategy using a clinical feature-based screening questionnaire (SQ) (A-tool).</p><p><strong>Methods: </strong>Finding axSpA (FaxSpA) was single-centre prospective study involving patients with chronic back pain (CBP). The A-tool, consisting of a three-question prescreen and eight-question SQ, was distributed to patients via the patient communication portal and university Facebook page. Patients with affirmative responses on all three prescreen questions, and three or more questions on SQ were eligible for study visit. Enrolled patients underwent history, physical examination, labs (CRP and HLA-B27) and imaging studies (X-ray and MRI of the pelvis). The clinician's judgement was considered the gold standard for diagnosing axSpA.</p><p><strong>Results: </strong>Eighty-six of the 100 enrolled patients completed all the study procedures, and 29 (34%) were diagnosed with axSpA. Seven patients had AS, and 22 had non-radiographic axSpA. Sensitivity and specificity of the individual A-tool questions for diagnosing axSpA ranged from 0.03 to 0.86 and 0.14 to 0.96, respectively. Positive likelihood ratios (+LR) of the individual items in the A-tool ranged from 0.84 to 1.34. There was low to moderate agreement between the patient responses on the online A-tool and the corresponding physician-confirmed responses.</p><p><strong>Conclusion: </strong>A tool-based strategy for self-referral of CBP patients is a simple, practical and feasible approach for early diagnosis of axSpA. We need a larger prospective study to validate our findings.</p>\",\"PeriodicalId\":21350,\"journal\":{\"name\":\"Rheumatology Advances in Practice\",\"volume\":\"9 3\",\"pages\":\"rkaf086\"},\"PeriodicalIF\":2.1000,\"publicationDate\":\"2025-07-28\",\"publicationTypes\":\"Journal Article\",\"fieldsOfStudy\":null,\"isOpenAccess\":false,\"openAccessPdf\":\"https://www.ncbi.nlm.nih.gov/pmc/articles/PMC12401578/pdf/\",\"citationCount\":\"0\",\"resultStr\":null,\"platform\":\"Semanticscholar\",\"paperid\":null,\"PeriodicalName\":\"Rheumatology Advances in Practice\",\"FirstCategoryId\":\"1085\",\"ListUrlMain\":\"https://doi.org/10.1093/rap/rkaf086\",\"RegionNum\":0,\"RegionCategory\":null,\"ArticlePicture\":[],\"TitleCN\":null,\"AbstractTextCN\":null,\"PMCID\":null,\"EPubDate\":\"2025/1/1 0:00:00\",\"PubModel\":\"eCollection\",\"JCR\":\"Q3\",\"JCRName\":\"RHEUMATOLOGY\",\"Score\":null,\"Total\":0}","platform":"Semanticscholar","paperid":null,"PeriodicalName":"Rheumatology Advances in Practice","FirstCategoryId":"1085","ListUrlMain":"https://doi.org/10.1093/rap/rkaf086","RegionNum":0,"RegionCategory":null,"ArticlePicture":[],"TitleCN":null,"AbstractTextCN":null,"PMCID":null,"EPubDate":"2025/1/1 0:00:00","PubModel":"eCollection","JCR":"Q3","JCRName":"RHEUMATOLOGY","Score":null,"Total":0}
引用次数: 0

摘要

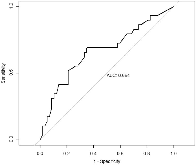
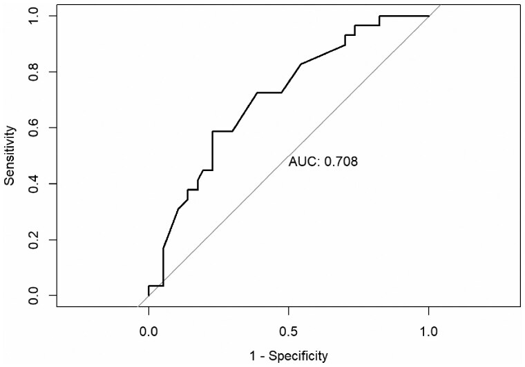
目的:对疑似轴性脊柱炎(axSpA)患者未及时转诊给风湿科医生是导致axSpA诊断延误的重要可改变原因。我们使用基于临床特征的筛查问卷(SQ) (a -tool)评估自我转诊策略的有效性。方法:寻找axSpA (FaxSpA)是一项涉及慢性背痛(CBP)患者的单中心前瞻性研究。a -tool由3个问题的预筛选和8个问题的SQ组成,通过患者交流门户网站和大学Facebook页面分发给患者。对所有三个预筛选问题和三个或更多SQ问题作出肯定回答的患者有资格进行研究访问。入组患者接受病史、体格检查、实验室检查(CRP和HLA-B27)和影像学检查(骨盆x线和MRI)。临床医生的判断被认为是诊断axSpA的金标准。结果:100名入组患者中有86名完成了所有研究程序,29名(34%)被诊断为axSpA。7例为AS, 22例为非影像学axSpA。单个A-tool问题诊断axSpA的敏感性和特异性分别为0.03 ~ 0.86和0.14 ~ 0.96。a工具中单个项目的正似然比(+LR)范围为0.84至1.34。患者对在线a -工具的反应与相应的医生确认的反应之间存在低到中等程度的一致性。结论:基于工具的CBP患者自我转诊策略是一种简单、实用、可行的axSpA早期诊断方法。我们需要更大规模的前瞻性研究来验证我们的发现。
本文章由计算机程序翻译,如有差异,请以英文原文为准。

Early diagnosis of axial spondyloarthritis among patients with chronic back pain using a clinical screening tool and referral strategy.

Early diagnosis of axial spondyloarthritis among patients with chronic back pain using a clinical screening tool and referral strategy.

Early diagnosis of axial spondyloarthritis among patients with chronic back pain using a clinical screening tool and referral strategy.

Objective: Lack of timely referral of suspected axial spondyloarthritis (axSpA) patients to rheumatologists is an important modifiable reason for diagnostic delay of axSpA. We assessed the usefulness of a self-referral strategy using a clinical feature-based screening questionnaire (SQ) (A-tool).

Methods: Finding axSpA (FaxSpA) was single-centre prospective study involving patients with chronic back pain (CBP). The A-tool, consisting of a three-question prescreen and eight-question SQ, was distributed to patients via the patient communication portal and university Facebook page. Patients with affirmative responses on all three prescreen questions, and three or more questions on SQ were eligible for study visit. Enrolled patients underwent history, physical examination, labs (CRP and HLA-B27) and imaging studies (X-ray and MRI of the pelvis). The clinician's judgement was considered the gold standard for diagnosing axSpA.

Results: Eighty-six of the 100 enrolled patients completed all the study procedures, and 29 (34%) were diagnosed with axSpA. Seven patients had AS, and 22 had non-radiographic axSpA. Sensitivity and specificity of the individual A-tool questions for diagnosing axSpA ranged from 0.03 to 0.86 and 0.14 to 0.96, respectively. Positive likelihood ratios (+LR) of the individual items in the A-tool ranged from 0.84 to 1.34. There was low to moderate agreement between the patient responses on the online A-tool and the corresponding physician-confirmed responses.

Conclusion: A tool-based strategy for self-referral of CBP patients is a simple, practical and feasible approach for early diagnosis of axSpA. We need a larger prospective study to validate our findings.

求助全文
通过发布文献求助,成功后即可免费获取论文全文。 去求助
来源期刊
Rheumatology Advances in Practice
Rheumatology Advances in Practice Medicine-Rheumatology
CiteScore
3.60
自引率
3.20%
发文量
197
审稿时长
11 weeks
×
引用
GB/T 7714-2015
复制
MLA
复制
APA
复制
导出至
BibTeX EndNote RefMan NoteFirst NoteExpress
×
提示
您的信息不完整,为了账户安全,请先补充。
现在去补充
×
提示
您因"违规操作"
具体请查看互助需知
我知道了
×
提示
确定
请完成安全验证×
copy
已复制链接
快去分享给好友吧!
我知道了
右上角分享
点击右上角分享
0
联系我们:info@booksci.cn Book学术提供免费学术资源搜索服务,方便国内外学者检索中英文文献。致力于提供最便捷和优质的服务体验。 Copyright © 2023 布克学术 All rights reserved.
京ICP备2023020795号-1
ghs 京公网安备 11010802042870号
Book学术文献互助
Book学术文献互助群
群 号:604180095
Book学术官方微信