特发性肺纤维化患者肺功能的改变和患者报告的预后。

IF 3.9 2区 医学 Q1 RESPIRATORY SYSTEM
Lung Pub Date : 2025-08-27 DOI:10.1007/s00408-025-00845-z
Jamie L Todd, Megan L Neely, Anne S Hellkamp, Daniel A Culver, Justin M Oldham, Peide Li, Divya C Patel, Scott M Palmer
{"title":"特发性肺纤维化患者肺功能的改变和患者报告的预后。","authors":"Jamie L Todd, Megan L Neely, Anne S Hellkamp, Daniel A Culver, Justin M Oldham, Peide Li, Divya C Patel, Scott M Palmer","doi":"10.1007/s00408-025-00845-z","DOIUrl":null,"url":null,"abstract":"<p><p>We evaluated relationships between changes in lung function and changes in patient-reported outcomes (PROs) in 736 patients with idiopathic pulmonary fibrosis (IPF) enrolled in the IPF-PRO Registry. Weak correlations were observed between changes in percent predicted values for forced vital capacity or diffusing capacity of the lungs (DLco) and changes in St George's Respiratory Questionnaire (SGRQ) total and activity scores and the 12-item Short Form Survey (SF-12) physical component summary score over 12-month periods. Patients who had a deterioration in SGRQ activity score or SF-12 PCS score of ≥ 5 units had numerically larger declines in lung function than other patients, but the differences were small. The weak relationships observed between changes in lung function and changes in PROs underscore the importance of evaluating both changes in lung function and changes in HRQL in clinical practice and clinical trials.</p>","PeriodicalId":18163,"journal":{"name":"Lung","volume":"203 1","pages":"90"},"PeriodicalIF":3.9000,"publicationDate":"2025-08-27","publicationTypes":"Journal Article","fieldsOfStudy":null,"isOpenAccess":false,"openAccessPdf":"https://www.ncbi.nlm.nih.gov/pmc/articles/PMC12390864/pdf/","citationCount":"0","resultStr":"{\"title\":\"Changes in Lung Function and Patient-Reported Outcomes in Patients with Idiopathic Pulmonary Fibrosis.\",\"authors\":\"Jamie L Todd, Megan L Neely, Anne S Hellkamp, Daniel A Culver, Justin M Oldham, Peide Li, Divya C Patel, Scott M Palmer\",\"doi\":\"10.1007/s00408-025-00845-z\",\"DOIUrl\":null,\"url\":null,\"abstract\":\"<p><p>We evaluated relationships between changes in lung function and changes in patient-reported outcomes (PROs) in 736 patients with idiopathic pulmonary fibrosis (IPF) enrolled in the IPF-PRO Registry. Weak correlations were observed between changes in percent predicted values for forced vital capacity or diffusing capacity of the lungs (DLco) and changes in St George's Respiratory Questionnaire (SGRQ) total and activity scores and the 12-item Short Form Survey (SF-12) physical component summary score over 12-month periods. Patients who had a deterioration in SGRQ activity score or SF-12 PCS score of ≥ 5 units had numerically larger declines in lung function than other patients, but the differences were small. The weak relationships observed between changes in lung function and changes in PROs underscore the importance of evaluating both changes in lung function and changes in HRQL in clinical practice and clinical trials.</p>\",\"PeriodicalId\":18163,\"journal\":{\"name\":\"Lung\",\"volume\":\"203 1\",\"pages\":\"90\"},\"PeriodicalIF\":3.9000,\"publicationDate\":\"2025-08-27\",\"publicationTypes\":\"Journal Article\",\"fieldsOfStudy\":null,\"isOpenAccess\":false,\"openAccessPdf\":\"https://www.ncbi.nlm.nih.gov/pmc/articles/PMC12390864/pdf/\",\"citationCount\":\"0\",\"resultStr\":null,\"platform\":\"Semanticscholar\",\"paperid\":null,\"PeriodicalName\":\"Lung\",\"FirstCategoryId\":\"3\",\"ListUrlMain\":\"https://doi.org/10.1007/s00408-025-00845-z\",\"RegionNum\":2,\"RegionCategory\":\"医学\",\"ArticlePicture\":[],\"TitleCN\":null,\"AbstractTextCN\":null,\"PMCID\":null,\"EPubDate\":\"\",\"PubModel\":\"\",\"JCR\":\"Q1\",\"JCRName\":\"RESPIRATORY SYSTEM\",\"Score\":null,\"Total\":0}","platform":"Semanticscholar","paperid":null,"PeriodicalName":"Lung","FirstCategoryId":"3","ListUrlMain":"https://doi.org/10.1007/s00408-025-00845-z","RegionNum":2,"RegionCategory":"医学","ArticlePicture":[],"TitleCN":null,"AbstractTextCN":null,"PMCID":null,"EPubDate":"","PubModel":"","JCR":"Q1","JCRName":"RESPIRATORY SYSTEM","Score":null,"Total":0}
引用次数: 0

摘要

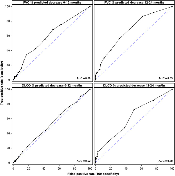
我们评估了在IPF- pro注册的736例特发性肺纤维化(IPF)患者肺功能变化与患者报告预后(PROs)变化之间的关系。在12个月期间,在强迫肺活量或肺弥散能力(DLco)的百分比预测值的变化与圣乔治呼吸问卷(SGRQ)总得分和活动得分以及12项简短形式调查(SF-12)物理成分总结得分的变化之间观察到弱相关性。SGRQ活动评分恶化或SF-12 PCS评分≥5个单位的患者肺功能下降的数值大于其他患者,但差异很小。肺功能变化与pro变化之间的弱相关性强调了在临床实践和临床试验中评估肺功能变化和HRQL变化的重要性。
本文章由计算机程序翻译,如有差异,请以英文原文为准。

Changes in Lung Function and Patient-Reported Outcomes in Patients with Idiopathic Pulmonary Fibrosis.

Changes in Lung Function and Patient-Reported Outcomes in Patients with Idiopathic Pulmonary Fibrosis.

We evaluated relationships between changes in lung function and changes in patient-reported outcomes (PROs) in 736 patients with idiopathic pulmonary fibrosis (IPF) enrolled in the IPF-PRO Registry. Weak correlations were observed between changes in percent predicted values for forced vital capacity or diffusing capacity of the lungs (DLco) and changes in St George's Respiratory Questionnaire (SGRQ) total and activity scores and the 12-item Short Form Survey (SF-12) physical component summary score over 12-month periods. Patients who had a deterioration in SGRQ activity score or SF-12 PCS score of ≥ 5 units had numerically larger declines in lung function than other patients, but the differences were small. The weak relationships observed between changes in lung function and changes in PROs underscore the importance of evaluating both changes in lung function and changes in HRQL in clinical practice and clinical trials.

求助全文
通过发布文献求助,成功后即可免费获取论文全文。 去求助
来源期刊
Lung
Lung 医学-呼吸系统
CiteScore
9.10
自引率
10.00%
发文量
95
审稿时长
6-12 weeks
期刊介绍: Lung publishes original articles, reviews and editorials on all aspects of the healthy and diseased lungs, of the airways, and of breathing. Epidemiological, clinical, pathophysiological, biochemical, and pharmacological studies fall within the scope of the journal. Case reports, short communications and technical notes can be accepted if they are of particular interest.
×
引用
GB/T 7714-2015
复制
MLA
复制
APA
复制
导出至
BibTeX EndNote RefMan NoteFirst NoteExpress
×
提示
您的信息不完整,为了账户安全,请先补充。
现在去补充
×
提示
您因"违规操作"
具体请查看互助需知
我知道了
×
提示
确定
请完成安全验证×
copy
已复制链接
快去分享给好友吧!
我知道了
右上角分享
点击右上角分享
0
联系我们:info@booksci.cn Book学术提供免费学术资源搜索服务,方便国内外学者检索中英文文献。致力于提供最便捷和优质的服务体验。 Copyright © 2023 布克学术 All rights reserved.
京ICP备2023020795号-1
ghs 京公网安备 11010802042870号
Book学术文献互助
Book学术文献互助群
群 号:604180095
Book学术官方微信