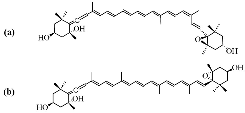
新黄质:一种有药用价值和营养价值的类胡萝卜素。

IF 5.4 2区 医学 Q1 CHEMISTRY, MEDICINAL
Marine Drugs Pub Date : 2025-08-01 DOI:10.3390/md23080317
Jiarong Zhao, Gengjie Zhuang, Jinrong Zhang
{"title":"新黄质:一种有药用价值和营养价值的类胡萝卜素。","authors":"Jiarong Zhao, Gengjie Zhuang, Jinrong Zhang","doi":"10.3390/md23080317","DOIUrl":null,"url":null,"abstract":"<p><p>Neoxanthin is a xanthophyll carotenoid with high-value nutritional functions for human health due to its anti-cancer, anti-oxidative, and anti-obesity activities. In this present work, we systematically reviewed the structure, source, and biosynthetic pathways of neoxanthin, and discussed the advantages and disadvantages of the prevailing extraction methods of neoxanthin. Meanwhile, this review described the latest research progress on the pharmacological activities of neoxanthin. Finally, we concluded with a discussion on the main challenges of neoxanthin production from microalgae, and proposed some future development prospects and potential solutions.</p>","PeriodicalId":18222,"journal":{"name":"Marine Drugs","volume":"23 8","pages":""},"PeriodicalIF":5.4000,"publicationDate":"2025-08-01","publicationTypes":"Journal Article","fieldsOfStudy":null,"isOpenAccess":false,"openAccessPdf":"https://www.ncbi.nlm.nih.gov/pmc/articles/PMC12387748/pdf/","citationCount":"0","resultStr":"{\"title\":\"Neoxanthin: A Promising Medicinal and Nutritional Carotenoid.\",\"authors\":\"Jiarong Zhao, Gengjie Zhuang, Jinrong Zhang\",\"doi\":\"10.3390/md23080317\",\"DOIUrl\":null,\"url\":null,\"abstract\":\"<p><p>Neoxanthin is a xanthophyll carotenoid with high-value nutritional functions for human health due to its anti-cancer, anti-oxidative, and anti-obesity activities. In this present work, we systematically reviewed the structure, source, and biosynthetic pathways of neoxanthin, and discussed the advantages and disadvantages of the prevailing extraction methods of neoxanthin. Meanwhile, this review described the latest research progress on the pharmacological activities of neoxanthin. Finally, we concluded with a discussion on the main challenges of neoxanthin production from microalgae, and proposed some future development prospects and potential solutions.</p>\",\"PeriodicalId\":18222,\"journal\":{\"name\":\"Marine Drugs\",\"volume\":\"23 8\",\"pages\":\"\"},\"PeriodicalIF\":5.4000,\"publicationDate\":\"2025-08-01\",\"publicationTypes\":\"Journal Article\",\"fieldsOfStudy\":null,\"isOpenAccess\":false,\"openAccessPdf\":\"https://www.ncbi.nlm.nih.gov/pmc/articles/PMC12387748/pdf/\",\"citationCount\":\"0\",\"resultStr\":null,\"platform\":\"Semanticscholar\",\"paperid\":null,\"PeriodicalName\":\"Marine Drugs\",\"FirstCategoryId\":\"3\",\"ListUrlMain\":\"https://doi.org/10.3390/md23080317\",\"RegionNum\":2,\"RegionCategory\":\"医学\",\"ArticlePicture\":[],\"TitleCN\":null,\"AbstractTextCN\":null,\"PMCID\":null,\"EPubDate\":\"\",\"PubModel\":\"\",\"JCR\":\"Q1\",\"JCRName\":\"CHEMISTRY, MEDICINAL\",\"Score\":null,\"Total\":0}","platform":"Semanticscholar","paperid":null,"PeriodicalName":"Marine Drugs","FirstCategoryId":"3","ListUrlMain":"https://doi.org/10.3390/md23080317","RegionNum":2,"RegionCategory":"医学","ArticlePicture":[],"TitleCN":null,"AbstractTextCN":null,"PMCID":null,"EPubDate":"","PubModel":"","JCR":"Q1","JCRName":"CHEMISTRY, MEDICINAL","Score":null,"Total":0}
引用次数: 0

摘要

新黄素是一种具有抗癌、抗氧化、抗肥胖作用的类黄素类胡萝卜素,对人体健康具有很高的营养价值。本文系统地综述了新黄质的结构、来源和生物合成途径,并讨论了目前常用的新黄质提取方法的优缺点。同时,综述了新黄质药理活性的最新研究进展。最后,讨论了微藻生产新黄质面临的主要挑战,并提出了未来的发展前景和可能的解决方案。
本文章由计算机程序翻译,如有差异,请以英文原文为准。

Neoxanthin: A Promising Medicinal and Nutritional Carotenoid.

Neoxanthin: A Promising Medicinal and Nutritional Carotenoid.

Neoxanthin: A Promising Medicinal and Nutritional Carotenoid.

Neoxanthin: A Promising Medicinal and Nutritional Carotenoid.

Neoxanthin is a xanthophyll carotenoid with high-value nutritional functions for human health due to its anti-cancer, anti-oxidative, and anti-obesity activities. In this present work, we systematically reviewed the structure, source, and biosynthetic pathways of neoxanthin, and discussed the advantages and disadvantages of the prevailing extraction methods of neoxanthin. Meanwhile, this review described the latest research progress on the pharmacological activities of neoxanthin. Finally, we concluded with a discussion on the main challenges of neoxanthin production from microalgae, and proposed some future development prospects and potential solutions.

求助全文
通过发布文献求助,成功后即可免费获取论文全文。 去求助
来源期刊
Marine Drugs
Marine Drugs 医学-医药化学
CiteScore
9.60
自引率
14.80%
发文量
671
审稿时长
1 months
期刊介绍: Marine Drugs (ISSN 1660-3397) publishes reviews, regular research papers and short notes on the research, development and production of drugs from the sea. Our aim is to encourage scientists to publish their experimental and theoretical research in as much detail as possible, particularly synthetic procedures and characterization information for bioactive compounds. There is no restriction on the length of the experimental section.
×
引用
GB/T 7714-2015
复制
MLA
复制
APA
复制
导出至
BibTeX EndNote RefMan NoteFirst NoteExpress
×
提示
您的信息不完整,为了账户安全,请先补充。
现在去补充
×
提示
您因"违规操作"
具体请查看互助需知
我知道了
×
提示
确定
请完成安全验证×
copy
已复制链接
快去分享给好友吧!
我知道了
右上角分享
点击右上角分享
0
联系我们:info@booksci.cn Book学术提供免费学术资源搜索服务,方便国内外学者检索中英文文献。致力于提供最便捷和优质的服务体验。 Copyright © 2023 布克学术 All rights reserved.
京ICP备2023020795号-1
ghs 京公网安备 11010802042870号
Book学术文献互助
Book学术文献互助群
群 号:604180095
Book学术官方微信