一般成人血脂异常的全球患病率:系统回顾和荟萃分析。

IF 2.8 3区 医学 Q3 ENVIRONMENTAL SCIENCES
Jhosmer Ballena-Caicedo, Fiorella E Zuzunaga-Montoya, Joan A Loayza-Castro, Luisa Erika Milagros Vásquez-Romero, Rafael Tapia-Limonchi, Carmen Inés Gutierrez De Carrillo, Víctor Juan Vera-Ponce
{"title":"一般成人血脂异常的全球患病率:系统回顾和荟萃分析。","authors":"Jhosmer Ballena-Caicedo, Fiorella E Zuzunaga-Montoya, Joan A Loayza-Castro, Luisa Erika Milagros Vásquez-Romero, Rafael Tapia-Limonchi, Carmen Inés Gutierrez De Carrillo, Víctor Juan Vera-Ponce","doi":"10.1186/s41043-025-01054-3","DOIUrl":null,"url":null,"abstract":"<p><strong>Introduction: </strong>Global regional variations in dyslipidemia prevalence underscore the need for an updated global overview of the magnitude of dyslipidemia over time.</p><p><strong>Objective: </strong>To estimate the global prevalence of dyslipidemia in adults, considering scientific evidence published in the last 20 years, while analyzing associated sociodemographic and geographic factors.</p><p><strong>Methodology: </strong>A systematic review and meta-analysis were conducted following PRISMA guidelines. The bibliographic search was performed in PubMed, SCOPUS, Web of Science, and EMBASE, including observational studies published between 2000 and 2025 that reported the prevalence of dyslipidemia components in general adult populations, including hypertriglyceridemia, hypercholesterolemia, hypoalphalipoproteinemia or low high-density lipoprotein cholesterol (HDL-C) levels (< 40 mg/dL for men and < 50 mg/dL for women), and elevated low-density lipoprotein cholesterol (LDL-C). Statistical analyses included meta-analysis with random effects models, stratified analyses by sex and country, and meta-regression by publication year.</p><p><strong>Results: </strong>A total of 206 studies were included, primarily cross-sectional (98.5%). The global prevalence was 28.8% for hypertriglyceridemia, 24.1% for hypercholesterolemia, 38.4% for low HDL-C, and 18.93% for high LDL-C. Men presented a higher prevalence of hypertriglyceridemia (33.8% vs. 24.5% in women), while women showed a higher frequency of low HDL-C (40.5% vs. 34.1% in men). The highest prevalences of low HDL-C and mixed dyslipidemia patterns were observed in the Middle East and Latin America. Temporal trends revealed a progressive increase in hypertriglyceridemia and low HDL-C, with a decrease in hypercholesterolemia and high LDL-C.</p><p><strong>Conclusions: </strong>There is an epidemiological transition in the dyslipidemia profile, from classic hypercholesterolemia toward a predominance of hypertriglyceridemia and low HDL-C, with important differences by sex and region. These findings significantly affect cardiovascular prevention and health policies addressing residual risk beyond LDL-C control.</p>","PeriodicalId":15969,"journal":{"name":"Journal of Health, Population, and Nutrition","volume":"44 1","pages":"308"},"PeriodicalIF":2.8000,"publicationDate":"2025-08-26","publicationTypes":"Journal Article","fieldsOfStudy":null,"isOpenAccess":false,"openAccessPdf":"https://www.ncbi.nlm.nih.gov/pmc/articles/PMC12379389/pdf/","citationCount":"0","resultStr":"{\"title\":\"Global prevalence of dyslipidemias in the general adult population: a systematic review and meta-analysis.\",\"authors\":\"Jhosmer Ballena-Caicedo, Fiorella E Zuzunaga-Montoya, Joan A Loayza-Castro, Luisa Erika Milagros Vásquez-Romero, Rafael Tapia-Limonchi, Carmen Inés Gutierrez De Carrillo, Víctor Juan Vera-Ponce\",\"doi\":\"10.1186/s41043-025-01054-3\",\"DOIUrl\":null,\"url\":null,\"abstract\":\"<p><strong>Introduction: </strong>Global regional variations in dyslipidemia prevalence underscore the need for an updated global overview of the magnitude of dyslipidemia over time.</p><p><strong>Objective: </strong>To estimate the global prevalence of dyslipidemia in adults, considering scientific evidence published in the last 20 years, while analyzing associated sociodemographic and geographic factors.</p><p><strong>Methodology: </strong>A systematic review and meta-analysis were conducted following PRISMA guidelines. The bibliographic search was performed in PubMed, SCOPUS, Web of Science, and EMBASE, including observational studies published between 2000 and 2025 that reported the prevalence of dyslipidemia components in general adult populations, including hypertriglyceridemia, hypercholesterolemia, hypoalphalipoproteinemia or low high-density lipoprotein cholesterol (HDL-C) levels (< 40 mg/dL for men and < 50 mg/dL for women), and elevated low-density lipoprotein cholesterol (LDL-C). Statistical analyses included meta-analysis with random effects models, stratified analyses by sex and country, and meta-regression by publication year.</p><p><strong>Results: </strong>A total of 206 studies were included, primarily cross-sectional (98.5%). The global prevalence was 28.8% for hypertriglyceridemia, 24.1% for hypercholesterolemia, 38.4% for low HDL-C, and 18.93% for high LDL-C. Men presented a higher prevalence of hypertriglyceridemia (33.8% vs. 24.5% in women), while women showed a higher frequency of low HDL-C (40.5% vs. 34.1% in men). The highest prevalences of low HDL-C and mixed dyslipidemia patterns were observed in the Middle East and Latin America. Temporal trends revealed a progressive increase in hypertriglyceridemia and low HDL-C, with a decrease in hypercholesterolemia and high LDL-C.</p><p><strong>Conclusions: </strong>There is an epidemiological transition in the dyslipidemia profile, from classic hypercholesterolemia toward a predominance of hypertriglyceridemia and low HDL-C, with important differences by sex and region. These findings significantly affect cardiovascular prevention and health policies addressing residual risk beyond LDL-C control.</p>\",\"PeriodicalId\":15969,\"journal\":{\"name\":\"Journal of Health, Population, and Nutrition\",\"volume\":\"44 1\",\"pages\":\"308\"},\"PeriodicalIF\":2.8000,\"publicationDate\":\"2025-08-26\",\"publicationTypes\":\"Journal Article\",\"fieldsOfStudy\":null,\"isOpenAccess\":false,\"openAccessPdf\":\"https://www.ncbi.nlm.nih.gov/pmc/articles/PMC12379389/pdf/\",\"citationCount\":\"0\",\"resultStr\":null,\"platform\":\"Semanticscholar\",\"paperid\":null,\"PeriodicalName\":\"Journal of Health, Population, and Nutrition\",\"FirstCategoryId\":\"3\",\"ListUrlMain\":\"https://doi.org/10.1186/s41043-025-01054-3\",\"RegionNum\":3,\"RegionCategory\":\"医学\",\"ArticlePicture\":[],\"TitleCN\":null,\"AbstractTextCN\":null,\"PMCID\":null,\"EPubDate\":\"\",\"PubModel\":\"\",\"JCR\":\"Q3\",\"JCRName\":\"ENVIRONMENTAL SCIENCES\",\"Score\":null,\"Total\":0}","platform":"Semanticscholar","paperid":null,"PeriodicalName":"Journal of Health, Population, and Nutrition","FirstCategoryId":"3","ListUrlMain":"https://doi.org/10.1186/s41043-025-01054-3","RegionNum":3,"RegionCategory":"医学","ArticlePicture":[],"TitleCN":null,"AbstractTextCN":null,"PMCID":null,"EPubDate":"","PubModel":"","JCR":"Q3","JCRName":"ENVIRONMENTAL SCIENCES","Score":null,"Total":0}
引用次数: 0

摘要

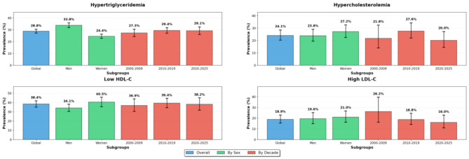
简介:血脂异常患病率的全球区域差异强调了对血脂异常程度随时间变化的最新全球概况的需要。目的:考虑近20年来发表的科学证据,同时分析相关的社会人口和地理因素,估计成人血脂异常的全球患病率。方法:按照PRISMA指南进行系统评价和荟萃分析。文献检索在PubMed、SCOPUS、Web of Science和EMBASE中进行,包括2000年至2025年间发表的观察性研究,这些研究报告了一般成年人中血脂异常成分的患病率,包括高甘油三酯血症、高胆固醇血症、低脂蛋白血症或低高密度脂蛋白胆固醇(HDL-C)水平(结果:共纳入206项研究,主要是横断研究(98.5%)。高甘油三酯血症的全球患病率为28.8%,高胆固醇血症为24.1%,低HDL-C为38.4%,高LDL-C为18.93%。男性的高甘油三酯血症患病率更高(33.8% vs. 24.5%),而女性的低HDL-C患病率更高(40.5% vs. 34.1%)。在中东和拉丁美洲观察到低HDL-C和混合性血脂异常模式的最高患病率。时间趋势显示高甘油三酯血症和低HDL-C逐渐增加,高胆固醇血症和高LDL-C逐渐减少。结论:血脂异常有一个流行病学转变,从典型的高胆固醇血症向高甘油三酯血症和低HDL-C为主转变,在性别和地区之间存在重要差异。这些发现显著影响心血管预防和健康政策,以解决LDL-C控制之外的剩余风险。
本文章由计算机程序翻译,如有差异,请以英文原文为准。

Global prevalence of dyslipidemias in the general adult population: a systematic review and meta-analysis.

Global prevalence of dyslipidemias in the general adult population: a systematic review and meta-analysis.

Global prevalence of dyslipidemias in the general adult population: a systematic review and meta-analysis.

Global prevalence of dyslipidemias in the general adult population: a systematic review and meta-analysis.

Introduction: Global regional variations in dyslipidemia prevalence underscore the need for an updated global overview of the magnitude of dyslipidemia over time.

Objective: To estimate the global prevalence of dyslipidemia in adults, considering scientific evidence published in the last 20 years, while analyzing associated sociodemographic and geographic factors.

Methodology: A systematic review and meta-analysis were conducted following PRISMA guidelines. The bibliographic search was performed in PubMed, SCOPUS, Web of Science, and EMBASE, including observational studies published between 2000 and 2025 that reported the prevalence of dyslipidemia components in general adult populations, including hypertriglyceridemia, hypercholesterolemia, hypoalphalipoproteinemia or low high-density lipoprotein cholesterol (HDL-C) levels (< 40 mg/dL for men and < 50 mg/dL for women), and elevated low-density lipoprotein cholesterol (LDL-C). Statistical analyses included meta-analysis with random effects models, stratified analyses by sex and country, and meta-regression by publication year.

Results: A total of 206 studies were included, primarily cross-sectional (98.5%). The global prevalence was 28.8% for hypertriglyceridemia, 24.1% for hypercholesterolemia, 38.4% for low HDL-C, and 18.93% for high LDL-C. Men presented a higher prevalence of hypertriglyceridemia (33.8% vs. 24.5% in women), while women showed a higher frequency of low HDL-C (40.5% vs. 34.1% in men). The highest prevalences of low HDL-C and mixed dyslipidemia patterns were observed in the Middle East and Latin America. Temporal trends revealed a progressive increase in hypertriglyceridemia and low HDL-C, with a decrease in hypercholesterolemia and high LDL-C.

Conclusions: There is an epidemiological transition in the dyslipidemia profile, from classic hypercholesterolemia toward a predominance of hypertriglyceridemia and low HDL-C, with important differences by sex and region. These findings significantly affect cardiovascular prevention and health policies addressing residual risk beyond LDL-C control.

求助全文
通过发布文献求助,成功后即可免费获取论文全文。 去求助
来源期刊
Journal of Health, Population, and Nutrition
Journal of Health, Population, and Nutrition 医学-公共卫生、环境卫生与职业卫生
CiteScore
2.20
自引率
0.00%
发文量
49
审稿时长
6 months
期刊介绍: Journal of Health, Population and Nutrition brings together research on all aspects of issues related to population, nutrition and health. The journal publishes articles across a broad range of topics including global health, maternal and child health, nutrition, common illnesses and determinants of population health.
×
引用
GB/T 7714-2015
复制
MLA
复制
APA
复制
导出至
BibTeX EndNote RefMan NoteFirst NoteExpress
×
提示
您的信息不完整,为了账户安全,请先补充。
现在去补充
×
提示
您因"违规操作"
具体请查看互助需知
我知道了
×
提示
确定
请完成安全验证×
copy
已复制链接
快去分享给好友吧!
我知道了
右上角分享
点击右上角分享
0
联系我们:info@booksci.cn Book学术提供免费学术资源搜索服务,方便国内外学者检索中英文文献。致力于提供最便捷和优质的服务体验。 Copyright © 2023 布克学术 All rights reserved.
京ICP备2023020795号-1
ghs 京公网安备 11010802042870号
Book学术文献互助
Book学术文献互助群
群 号:604180095
Book学术官方微信