不同底物在猫饲粮中的替代营养评价及其对粪便微生物群的影响。

IF 3.2 3区 农林科学 Q1 AGRICULTURE, DAIRY & ANIMAL SCIENCE
Journal of Animal Science and Technology Pub Date : 2025-07-01 Epub Date: 2025-07-31 DOI:10.5187/jast.2025.e58
Kyeongho Jeon, Jihwan Lee, Minho Song, Kwanho Park, Seyeon Chang, Dongcheol Song, Hyuck Kim, Jinmo Yang, Jinho Cho
{"title":"不同底物在猫饲粮中的替代营养评价及其对粪便微生物群的影响。","authors":"Kyeongho Jeon, Jihwan Lee, Minho Song, Kwanho Park, Seyeon Chang, Dongcheol Song, Hyuck Kim, Jinmo Yang, Jinho Cho","doi":"10.5187/jast.2025.e58","DOIUrl":null,"url":null,"abstract":"<p><p>This study aimed to examine the effects of proper substitution ratios and organic substrates of black soldier fly larvae (<i>Hermetia illucens</i> larvae; HIL) on cats. A total of 30 mixed-sex domestic cats (<i>Felis domestica</i>) with an initial body weight of 5.06 ± 0.89 kg were used in this experiment, which used an incomplete 5 × 5 replicated Latin square design. The experimental period was 10 d, with 7 d of diet adaptation followed by 3 d of dietary treatment. The dietary treatments were provided: 1) CON (basal diet), 2) HA3 (replacing 3% of the poultry meal (PM) in the basal diet with HIL fed on animal-based substrate), 3) HA6 (replacing 6% of the PM in the basal diet with HIL fed on animal-based substrate), 4) HP3 (replacing 3% of the PM in the basal diet with HIL fed on plant-based substrate) 5) HP6 (replacing 6% of the PM in the basal diet with HIL fed on plant-based substrate). The HA3 group showed significantly higher (<i>p</i> < 0.05) crude protein digestibility than the CON group. The groups replaced by HIL had significantly higher (<i>p</i> < 0.05) ether extract digestibility than the CON group. The leucine, tryptophan, serine, and aspartic acid digestibility were significantly increased (<i>p</i> < 0.05) in the groups replaced by HIL compared to the CON group. The HP6 group showed distinct (<i>p</i> < 0.05) unweighted UniFrac distances from all other groups and weighted UniFrac distances from the CON and HP3 groups. In addition, the CON group exhibited significant differences (<i>p</i> < 0.05) in weighted UniFrac distances compared to all treatment groups. At the genus level, the HP6 group showed increased (<i>p</i> < 0.05) abundance of Bacteroidota compared with the CON group, while the CON exhibited higher (<i>p</i> < 0.05) levels of Firmicutes than the HP6 group. In conclusion, substituting PM with HIL in cat diets improved nutrient digestibility and had no negative impact on the fecal microbiota. Therefore, it is considered safe and effective to substitute up to 6% of the protein source with HIL in cat diets.</p>","PeriodicalId":14923,"journal":{"name":"Journal of Animal Science and Technology","volume":"67 4","pages":"922-943"},"PeriodicalIF":3.2000,"publicationDate":"2025-07-01","publicationTypes":"Journal Article","fieldsOfStudy":null,"isOpenAccess":false,"openAccessPdf":"https://www.ncbi.nlm.nih.gov/pmc/articles/PMC12380016/pdf/","citationCount":"0","resultStr":"{\"title\":\"Alternative nutritional evaluation of black soldier fly with various substrates in cat diets and its effects on fecal microbiota.\",\"authors\":\"Kyeongho Jeon, Jihwan Lee, Minho Song, Kwanho Park, Seyeon Chang, Dongcheol Song, Hyuck Kim, Jinmo Yang, Jinho Cho\",\"doi\":\"10.5187/jast.2025.e58\",\"DOIUrl\":null,\"url\":null,\"abstract\":\"<p><p>This study aimed to examine the effects of proper substitution ratios and organic substrates of black soldier fly larvae (<i>Hermetia illucens</i> larvae; HIL) on cats. A total of 30 mixed-sex domestic cats (<i>Felis domestica</i>) with an initial body weight of 5.06 ± 0.89 kg were used in this experiment, which used an incomplete 5 × 5 replicated Latin square design. The experimental period was 10 d, with 7 d of diet adaptation followed by 3 d of dietary treatment. The dietary treatments were provided: 1) CON (basal diet), 2) HA3 (replacing 3% of the poultry meal (PM) in the basal diet with HIL fed on animal-based substrate), 3) HA6 (replacing 6% of the PM in the basal diet with HIL fed on animal-based substrate), 4) HP3 (replacing 3% of the PM in the basal diet with HIL fed on plant-based substrate) 5) HP6 (replacing 6% of the PM in the basal diet with HIL fed on plant-based substrate). The HA3 group showed significantly higher (<i>p</i> < 0.05) crude protein digestibility than the CON group. The groups replaced by HIL had significantly higher (<i>p</i> < 0.05) ether extract digestibility than the CON group. The leucine, tryptophan, serine, and aspartic acid digestibility were significantly increased (<i>p</i> < 0.05) in the groups replaced by HIL compared to the CON group. The HP6 group showed distinct (<i>p</i> < 0.05) unweighted UniFrac distances from all other groups and weighted UniFrac distances from the CON and HP3 groups. In addition, the CON group exhibited significant differences (<i>p</i> < 0.05) in weighted UniFrac distances compared to all treatment groups. At the genus level, the HP6 group showed increased (<i>p</i> < 0.05) abundance of Bacteroidota compared with the CON group, while the CON exhibited higher (<i>p</i> < 0.05) levels of Firmicutes than the HP6 group. In conclusion, substituting PM with HIL in cat diets improved nutrient digestibility and had no negative impact on the fecal microbiota. Therefore, it is considered safe and effective to substitute up to 6% of the protein source with HIL in cat diets.</p>\",\"PeriodicalId\":14923,\"journal\":{\"name\":\"Journal of Animal Science and Technology\",\"volume\":\"67 4\",\"pages\":\"922-943\"},\"PeriodicalIF\":3.2000,\"publicationDate\":\"2025-07-01\",\"publicationTypes\":\"Journal Article\",\"fieldsOfStudy\":null,\"isOpenAccess\":false,\"openAccessPdf\":\"https://www.ncbi.nlm.nih.gov/pmc/articles/PMC12380016/pdf/\",\"citationCount\":\"0\",\"resultStr\":null,\"platform\":\"Semanticscholar\",\"paperid\":null,\"PeriodicalName\":\"Journal of Animal Science and Technology\",\"FirstCategoryId\":\"97\",\"ListUrlMain\":\"https://doi.org/10.5187/jast.2025.e58\",\"RegionNum\":3,\"RegionCategory\":\"农林科学\",\"ArticlePicture\":[],\"TitleCN\":null,\"AbstractTextCN\":null,\"PMCID\":null,\"EPubDate\":\"2025/7/31 0:00:00\",\"PubModel\":\"Epub\",\"JCR\":\"Q1\",\"JCRName\":\"AGRICULTURE, DAIRY & ANIMAL SCIENCE\",\"Score\":null,\"Total\":0}","platform":"Semanticscholar","paperid":null,"PeriodicalName":"Journal of Animal Science and Technology","FirstCategoryId":"97","ListUrlMain":"https://doi.org/10.5187/jast.2025.e58","RegionNum":3,"RegionCategory":"农林科学","ArticlePicture":[],"TitleCN":null,"AbstractTextCN":null,"PMCID":null,"EPubDate":"2025/7/31 0:00:00","PubModel":"Epub","JCR":"Q1","JCRName":"AGRICULTURE, DAIRY & ANIMAL SCIENCE","Score":null,"Total":0}
引用次数: 0

摘要

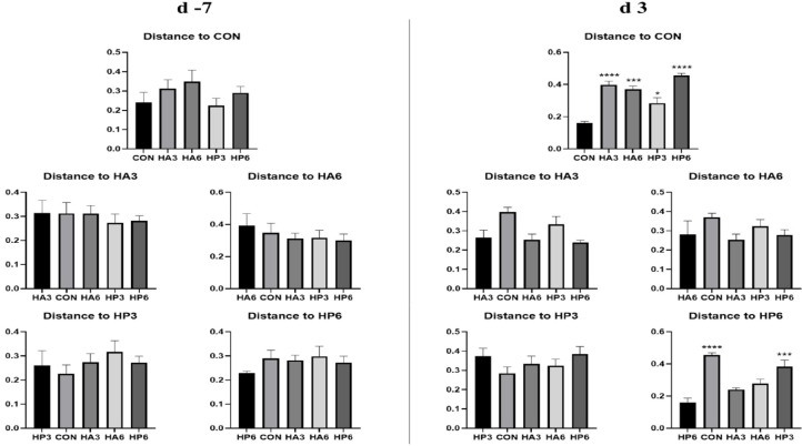
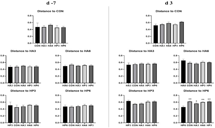
本研究旨在探讨黑兵蝇幼虫(Hermetia illucens幼虫;HIL)适当的替代比例和有机基质对猫的影响。试验选用30只初始体重为5.06±0.89 kg的混合性别家猫(Felis domestica),采用不完全5 × 5拉丁方设计。试验期10 d,其中7 d为日粮适应期,3 d为日粮处理期。饲粮处理分别为:1)CON(基础饲粮)、2)HA3(用动物性底物的HIL代替基础饲粮中3%的禽粕)、3)HA6(用动物性底物的HIL代替基础饲粮中6%的PM)、4)HP3(用植物性底物的HIL代替基础饲粮中3%的PM)、5)HP6(用植物性底物的HIL代替基础饲粮中6%的PM)。HA3组粗蛋白质消化率显著高于CON组(p < 0.05)。HIL组粗脂肪消化率显著高于CON组(p < 0.05)。与CON组相比,HIL组的亮氨酸、色氨酸、丝氨酸和天冬氨酸消化率显著提高(p < 0.05)。与其他各组相比,HP6组的UniFrac加权距离显著(p < 0.05);与CON、HP3组相比,HP6组的UniFrac加权距离显著(p < 0.05)。此外,CON组与所有治疗组相比,加权UniFrac距离有显著差异(p < 0.05)。在属水平上,HP6组拟杆菌门(Bacteroidota)丰度高于CON组(p < 0.05),厚壁菌门(Firmicutes)丰度高于CON组(p < 0.05)。综上所述,猫粮中用HIL替代PM提高了营养物质的消化率,并且对粪便微生物群没有负面影响。因此,在猫的日粮中,用HIL代替高达6%的蛋白质来源被认为是安全有效的。
本文章由计算机程序翻译,如有差异,请以英文原文为准。

Alternative nutritional evaluation of black soldier fly with various substrates in cat diets and its effects on fecal microbiota.

Alternative nutritional evaluation of black soldier fly with various substrates in cat diets and its effects on fecal microbiota.

Alternative nutritional evaluation of black soldier fly with various substrates in cat diets and its effects on fecal microbiota.

Alternative nutritional evaluation of black soldier fly with various substrates in cat diets and its effects on fecal microbiota.

This study aimed to examine the effects of proper substitution ratios and organic substrates of black soldier fly larvae (Hermetia illucens larvae; HIL) on cats. A total of 30 mixed-sex domestic cats (Felis domestica) with an initial body weight of 5.06 ± 0.89 kg were used in this experiment, which used an incomplete 5 × 5 replicated Latin square design. The experimental period was 10 d, with 7 d of diet adaptation followed by 3 d of dietary treatment. The dietary treatments were provided: 1) CON (basal diet), 2) HA3 (replacing 3% of the poultry meal (PM) in the basal diet with HIL fed on animal-based substrate), 3) HA6 (replacing 6% of the PM in the basal diet with HIL fed on animal-based substrate), 4) HP3 (replacing 3% of the PM in the basal diet with HIL fed on plant-based substrate) 5) HP6 (replacing 6% of the PM in the basal diet with HIL fed on plant-based substrate). The HA3 group showed significantly higher (p < 0.05) crude protein digestibility than the CON group. The groups replaced by HIL had significantly higher (p < 0.05) ether extract digestibility than the CON group. The leucine, tryptophan, serine, and aspartic acid digestibility were significantly increased (p < 0.05) in the groups replaced by HIL compared to the CON group. The HP6 group showed distinct (p < 0.05) unweighted UniFrac distances from all other groups and weighted UniFrac distances from the CON and HP3 groups. In addition, the CON group exhibited significant differences (p < 0.05) in weighted UniFrac distances compared to all treatment groups. At the genus level, the HP6 group showed increased (p < 0.05) abundance of Bacteroidota compared with the CON group, while the CON exhibited higher (p < 0.05) levels of Firmicutes than the HP6 group. In conclusion, substituting PM with HIL in cat diets improved nutrient digestibility and had no negative impact on the fecal microbiota. Therefore, it is considered safe and effective to substitute up to 6% of the protein source with HIL in cat diets.

求助全文
通过发布文献求助,成功后即可免费获取论文全文。 去求助
来源期刊
Journal of Animal Science and Technology
Journal of Animal Science and Technology Agricultural and Biological Sciences-Food Science
CiteScore
4.50
自引率
8.70%
发文量
96
审稿时长
7 weeks
期刊介绍: Journal of Animal Science and Technology (J. Anim. Sci. Technol. or JAST) is a peer-reviewed, open access journal publishing original research, review articles and notes in all fields of animal science. Topics covered by the journal include: genetics and breeding, physiology, nutrition of monogastric animals, nutrition of ruminants, animal products (milk, meat, eggs and their by-products) and their processing, grasslands and roughages, livestock environment, animal biotechnology, animal behavior and welfare. Articles generally report research involving beef cattle, dairy cattle, pigs, companion animals, goats, horses, and sheep. However, studies involving other farm animals, aquatic and wildlife species, and laboratory animal species that address fundamental questions related to livestock and companion animal biology will also be considered for publication. The Journal of Animal Science and Technology (J. Anim. Technol. or JAST) has been the official journal of The Korean Society of Animal Science and Technology (KSAST) since 2000, formerly known as The Korean Journal of Animal Sciences (launched in 1956).
×
引用
GB/T 7714-2015
复制
MLA
复制
APA
复制
导出至
BibTeX EndNote RefMan NoteFirst NoteExpress
×
提示
您的信息不完整,为了账户安全,请先补充。
现在去补充
×
提示
您因"违规操作"
具体请查看互助需知
我知道了
×
提示
确定
请完成安全验证×
copy
已复制链接
快去分享给好友吧!
我知道了
右上角分享
点击右上角分享
0
联系我们:info@booksci.cn Book学术提供免费学术资源搜索服务,方便国内外学者检索中英文文献。致力于提供最便捷和优质的服务体验。 Copyright © 2023 布克学术 All rights reserved.
京ICP备2023020795号-1
ghs 京公网安备 11010802042870号
Book学术文献互助
Book学术文献互助群
群 号:604180095
Book学术官方微信