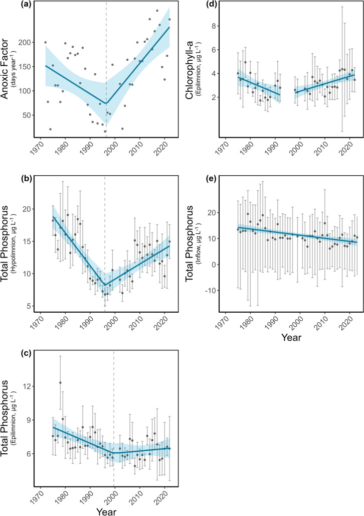
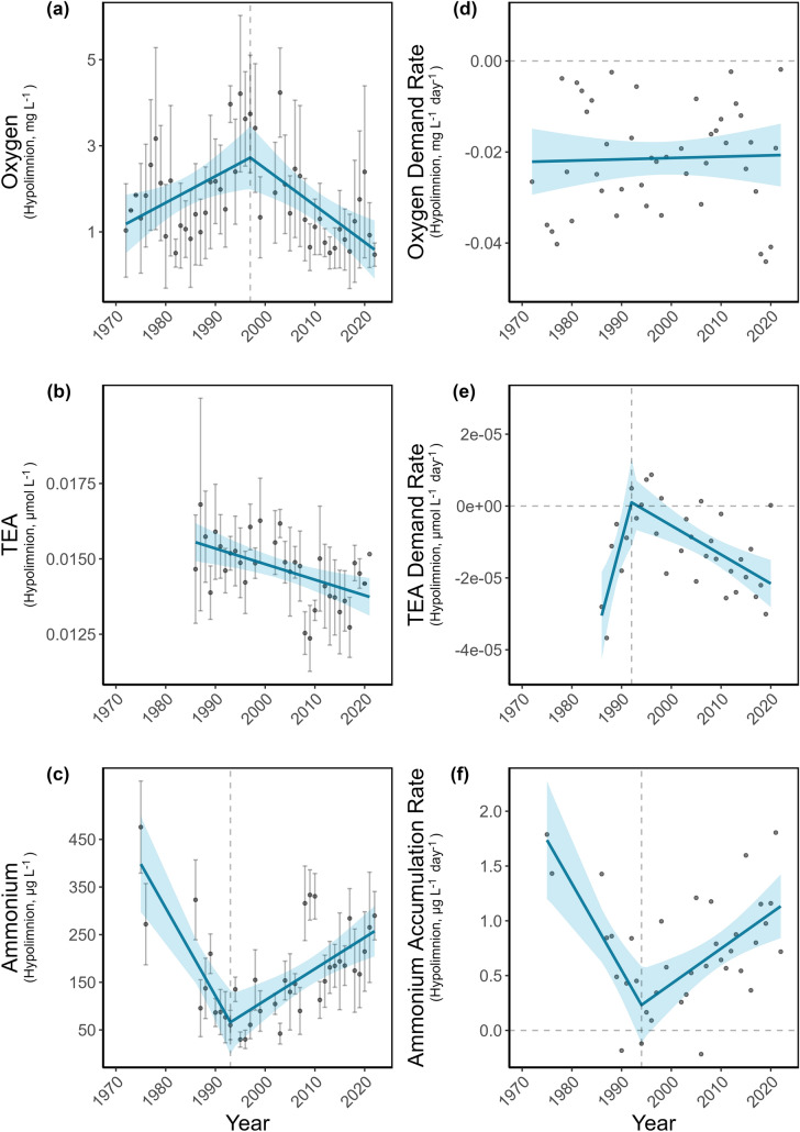
五十年来的趋势揭示了从恢复到再富营养化和强化缺氧的逆转。

IF 3.3 2区 环境科学与生态学 Q2 ECOLOGY
Ecosystems Pub Date : 2025-01-01 Epub Date: 2025-08-29 DOI:10.1007/s10021-025-01003-5
Eric Weniger, Ruben Sommaruga
{"title":"五十年来的趋势揭示了从恢复到再富营养化和强化缺氧的逆转。","authors":"Eric Weniger, Ruben Sommaruga","doi":"10.1007/s10021-025-01003-5","DOIUrl":null,"url":null,"abstract":"<p><p>Anoxia in lakes has intensified in recent decades, threatening ecosystem functioning. Yet, the mechanisms driving long-term trends in anoxia intensity and duration are complex, especially in managed ecosystems, where field data are limited. Using a 50-year dataset from a lake affected by both eutrophication and restoration measures, we examined annual oxygen dynamics, assessing the effect of external drivers, such as climate warming and hypolimnetic withdrawal effectiveness, and of in-lake processes influencing anoxia. Breakpoint analysis revealed a major ecosystem regime shift around 1996, reversing the earlier recovery trend. Between 1972 and 1996, both the anoxic factor and hypolimnetic total phosphorus concentrations declined, but both rose significantly afterward, with phosphorus concentrations eventually exceeding pre-restoration levels, despite declining watershed inputs. This reversal coincided with a marked increase in thermal stratification duration, which likely intensified deoxygenation by limiting oxygen renewal in the hypolimnion. Our results also show that higher anoxia levels in 1 year significantly reinforced anoxia in the following year, suggesting a self-sustaining feedback mechanism. In addition, our results provide evidence that anaerobic mineralization is important to this feedback, accumulating reduced compounds that further enhance deoxygenation. Despite management efforts, the intensification of internal phosphorus loading and the accumulation of reduced substances have progressively diminished the effectiveness of the cost-effective hypolimnetic withdrawal system implemented since 1970. Our findings demonstrate how the emergence of reinforcing feedbacks, linking oxygen depletion, internal phosphorus release, and climate-driven stratification, can undermine traditional restoration strategies. This highlights the urgent need for adaptive management that explicitly addresses these interacting mechanisms among oxygen dynamics, nutrient cycling, and climate warming.</p><p><strong>Supplementary information: </strong>The online version contains supplementary material available at 10.1007/s10021-025-01003-5.</p>","PeriodicalId":11406,"journal":{"name":"Ecosystems","volume":"28 5","pages":"56"},"PeriodicalIF":3.3000,"publicationDate":"2025-01-01","publicationTypes":"Journal Article","fieldsOfStudy":null,"isOpenAccess":false,"openAccessPdf":"https://www.ncbi.nlm.nih.gov/pmc/articles/PMC12397146/pdf/","citationCount":"0","resultStr":"{\"title\":\"Fifty-Year Trends Reveal Reversal from Recovery to Re-eutrophication and Reinforced Anoxia in a Managed Mountain Lake.\",\"authors\":\"Eric Weniger, Ruben Sommaruga\",\"doi\":\"10.1007/s10021-025-01003-5\",\"DOIUrl\":null,\"url\":null,\"abstract\":\"<p><p>Anoxia in lakes has intensified in recent decades, threatening ecosystem functioning. Yet, the mechanisms driving long-term trends in anoxia intensity and duration are complex, especially in managed ecosystems, where field data are limited. Using a 50-year dataset from a lake affected by both eutrophication and restoration measures, we examined annual oxygen dynamics, assessing the effect of external drivers, such as climate warming and hypolimnetic withdrawal effectiveness, and of in-lake processes influencing anoxia. Breakpoint analysis revealed a major ecosystem regime shift around 1996, reversing the earlier recovery trend. Between 1972 and 1996, both the anoxic factor and hypolimnetic total phosphorus concentrations declined, but both rose significantly afterward, with phosphorus concentrations eventually exceeding pre-restoration levels, despite declining watershed inputs. This reversal coincided with a marked increase in thermal stratification duration, which likely intensified deoxygenation by limiting oxygen renewal in the hypolimnion. Our results also show that higher anoxia levels in 1 year significantly reinforced anoxia in the following year, suggesting a self-sustaining feedback mechanism. In addition, our results provide evidence that anaerobic mineralization is important to this feedback, accumulating reduced compounds that further enhance deoxygenation. Despite management efforts, the intensification of internal phosphorus loading and the accumulation of reduced substances have progressively diminished the effectiveness of the cost-effective hypolimnetic withdrawal system implemented since 1970. Our findings demonstrate how the emergence of reinforcing feedbacks, linking oxygen depletion, internal phosphorus release, and climate-driven stratification, can undermine traditional restoration strategies. This highlights the urgent need for adaptive management that explicitly addresses these interacting mechanisms among oxygen dynamics, nutrient cycling, and climate warming.</p><p><strong>Supplementary information: </strong>The online version contains supplementary material available at 10.1007/s10021-025-01003-5.</p>\",\"PeriodicalId\":11406,\"journal\":{\"name\":\"Ecosystems\",\"volume\":\"28 5\",\"pages\":\"56\"},\"PeriodicalIF\":3.3000,\"publicationDate\":\"2025-01-01\",\"publicationTypes\":\"Journal Article\",\"fieldsOfStudy\":null,\"isOpenAccess\":false,\"openAccessPdf\":\"https://www.ncbi.nlm.nih.gov/pmc/articles/PMC12397146/pdf/\",\"citationCount\":\"0\",\"resultStr\":null,\"platform\":\"Semanticscholar\",\"paperid\":null,\"PeriodicalName\":\"Ecosystems\",\"FirstCategoryId\":\"93\",\"ListUrlMain\":\"https://doi.org/10.1007/s10021-025-01003-5\",\"RegionNum\":2,\"RegionCategory\":\"环境科学与生态学\",\"ArticlePicture\":[],\"TitleCN\":null,\"AbstractTextCN\":null,\"PMCID\":null,\"EPubDate\":\"2025/8/29 0:00:00\",\"PubModel\":\"Epub\",\"JCR\":\"Q2\",\"JCRName\":\"ECOLOGY\",\"Score\":null,\"Total\":0}","platform":"Semanticscholar","paperid":null,"PeriodicalName":"Ecosystems","FirstCategoryId":"93","ListUrlMain":"https://doi.org/10.1007/s10021-025-01003-5","RegionNum":2,"RegionCategory":"环境科学与生态学","ArticlePicture":[],"TitleCN":null,"AbstractTextCN":null,"PMCID":null,"EPubDate":"2025/8/29 0:00:00","PubModel":"Epub","JCR":"Q2","JCRName":"ECOLOGY","Score":null,"Total":0}
引用次数: 0

摘要

近几十年来,湖泊缺氧加剧,威胁着生态系统的功能。然而,驱动缺氧强度和持续时间长期趋势的机制是复杂的,特别是在现场数据有限的管理生态系统中。利用受富营养化和恢复措施影响的湖泊的50年数据集,研究了湖泊的年氧动态,评估了外部驱动因素的影响,如气候变暖和低通量退出有效性,以及影响缺氧的湖内过程。断点分析显示,1996年前后发生了重大的生态系统变化,扭转了早期的恢复趋势。1972 - 1996年间,缺氧因子和低代谢总磷浓度均呈下降趋势,但恢复后均显著上升,尽管流域投入减少,但磷浓度最终超过恢复前水平。这种逆转与热分层持续时间的显著增加相一致,这可能通过限制低磷离子中的氧更新而加强了脱氧。我们的研究结果还表明,1年内较高的缺氧水平显著增强了次年的缺氧,表明存在自我维持的反馈机制。此外,我们的研究结果提供了厌氧矿化对这种反馈很重要的证据,积累了进一步增强脱氧的还原化合物。尽管进行了管理努力,但内部磷负荷的加剧和还原物质的积累逐渐降低了自1970年以来实施的具有成本效益的低代谢回收系统的有效性。我们的研究结果表明,强化反馈的出现,将氧气消耗、内部磷释放和气候驱动的分层联系起来,如何破坏传统的恢复策略。这突出了迫切需要适应性管理,明确解决这些相互作用机制之间的氧动力学,养分循环和气候变暖。补充资料:在线版本包含补充资料,下载地址:10.1007/s10021-025-01003-5。
本文章由计算机程序翻译,如有差异,请以英文原文为准。

Fifty-Year Trends Reveal Reversal from Recovery to Re-eutrophication and Reinforced Anoxia in a Managed Mountain Lake.

Fifty-Year Trends Reveal Reversal from Recovery to Re-eutrophication and Reinforced Anoxia in a Managed Mountain Lake.

Fifty-Year Trends Reveal Reversal from Recovery to Re-eutrophication and Reinforced Anoxia in a Managed Mountain Lake.

Fifty-Year Trends Reveal Reversal from Recovery to Re-eutrophication and Reinforced Anoxia in a Managed Mountain Lake.

Anoxia in lakes has intensified in recent decades, threatening ecosystem functioning. Yet, the mechanisms driving long-term trends in anoxia intensity and duration are complex, especially in managed ecosystems, where field data are limited. Using a 50-year dataset from a lake affected by both eutrophication and restoration measures, we examined annual oxygen dynamics, assessing the effect of external drivers, such as climate warming and hypolimnetic withdrawal effectiveness, and of in-lake processes influencing anoxia. Breakpoint analysis revealed a major ecosystem regime shift around 1996, reversing the earlier recovery trend. Between 1972 and 1996, both the anoxic factor and hypolimnetic total phosphorus concentrations declined, but both rose significantly afterward, with phosphorus concentrations eventually exceeding pre-restoration levels, despite declining watershed inputs. This reversal coincided with a marked increase in thermal stratification duration, which likely intensified deoxygenation by limiting oxygen renewal in the hypolimnion. Our results also show that higher anoxia levels in 1 year significantly reinforced anoxia in the following year, suggesting a self-sustaining feedback mechanism. In addition, our results provide evidence that anaerobic mineralization is important to this feedback, accumulating reduced compounds that further enhance deoxygenation. Despite management efforts, the intensification of internal phosphorus loading and the accumulation of reduced substances have progressively diminished the effectiveness of the cost-effective hypolimnetic withdrawal system implemented since 1970. Our findings demonstrate how the emergence of reinforcing feedbacks, linking oxygen depletion, internal phosphorus release, and climate-driven stratification, can undermine traditional restoration strategies. This highlights the urgent need for adaptive management that explicitly addresses these interacting mechanisms among oxygen dynamics, nutrient cycling, and climate warming.

Supplementary information: The online version contains supplementary material available at 10.1007/s10021-025-01003-5.

求助全文
通过发布文献求助,成功后即可免费获取论文全文。 去求助
来源期刊
Ecosystems
Ecosystems 环境科学-生态学
CiteScore
8.20
自引率
2.70%
发文量
71
审稿时长
1.7 months
期刊介绍: The study and management of ecosystems represent the most dynamic field of contemporary ecology. Ecosystem research bridges fundamental ecology and environmental ecology and environmental problem-solving, and spans boundaries of scale, discipline and perspective. Ecosystems features a distinguished team of editors-in-chief and an outstanding international editorial board, and is seen worldwide as a vital home for publishing significant research as well as editorials, mini-reviews and special features.
×
引用
GB/T 7714-2015
复制
MLA
复制
APA
复制
导出至
BibTeX EndNote RefMan NoteFirst NoteExpress
×
提示
您的信息不完整,为了账户安全,请先补充。
现在去补充
×
提示
您因"违规操作"
具体请查看互助需知
我知道了
×
提示
确定
请完成安全验证×
copy
已复制链接
快去分享给好友吧!
我知道了
右上角分享
点击右上角分享
0
联系我们:info@booksci.cn Book学术提供免费学术资源搜索服务,方便国内外学者检索中英文文献。致力于提供最便捷和优质的服务体验。 Copyright © 2023 布克学术 All rights reserved.
京ICP备2023020795号-1
ghs 京公网安备 11010802042870号
Book学术文献互助
Book学术文献互助群
群 号:604180095
Book学术官方微信