无晚期肝纤维化的SLD患者骨密度增加:来自NHANES 2017-2020数据库的证据

IF 2.3 4区 医学 Q2 Medicine
Canadian Journal of Gastroenterology and Hepatology Pub Date : 2025-08-11 eCollection Date: 2025-01-01 DOI:10.1155/cjgh/6969761
Tianhao Wu, Lu Li, Yayuan Mei, Peizhen Lv, Jiawei Cui, Lin Liu, Yuemin Nan, Ang Li
{"title":"无晚期肝纤维化的SLD患者骨密度增加:来自NHANES 2017-2020数据库的证据","authors":"Tianhao Wu, Lu Li, Yayuan Mei, Peizhen Lv, Jiawei Cui, Lin Liu, Yuemin Nan, Ang Li","doi":"10.1155/cjgh/6969761","DOIUrl":null,"url":null,"abstract":"<p><p><b>Background:</b> Recently, metabolic dysfunction-associated steatotic liver disease (MASLD) has been proposed to replace the liver condition previously known as nonalcoholic fatty liver disease (NAFLD), thereby redefining the subcategories of steatotic liver disease (SLD). However, the clinical relevance of SLD subcategories and their relationship with bone mass is lacking. In this study, we aimed to explore the potential association between the commonly proposed subclasses of fatty liver disease and bone mass. <b>Methods:</b> A cross-sectional study using the data from the 2017-2020 cycle of the National Health and Nutrition Examination Survey (NHANES), involving 4237 participants aged 18 years and older who underwent vibration-controlled transient elastography (VCTE) and dual-energy X-ray absorptiometry (DXA), was conducted. A weighted generalized linear model was used to analyze the association of the SLD subcategories and bone mass changes including bone mineral content (BMC), bone area, and bone mineral density (BMD) in the femur and spine, with adjustments for potential covariates. Furthermore, a weighted generalized additive model was employed to assess the dose-response relationships between controlled attenuation parameter (CAP), liver stiffness measurement (LSM), and BMD. <b>Results:</b> A total of 2635 and 1602 participants were included for analysis of the femur and lumbar spine, respectively. Compared to healthy individuals, positive correlations were observed between all three SLD subgroups (MASLD, MetALD, and ALD) and BMC, and BMD in the femur and spine, but no association with the bone area was identified. Moreover, CAP exhibited a strong positive correlation with BMD across all femoral and spinal scan sites. It was also positively correlated with BMC in some femoral scan sites and all spinal scan sites but was associated with the bone area only in certain femoral scan sites and not in spinal scan sites. In contrast, LSM showed clear positive correlations with BMD in some femoral and all spinal scan sites, as well as with BMC in certain femoral and spinal scan sites. However, LSM did not correlate with the bone area in any femoral or spinal scan sites. Besides, LSM showed a nonlinear association with these indicators. Subgroup analysis revealed a positive correlation between CAP and BMD only in individuals with CAP > 248 dB/m, BMI ≥ 25 kg/m<sup>2</sup>, and LSM < 11.7 kPa. Additionally, in females and individuals with LSM < 11.7 kPa, LSM was positively correlated with BMD, whereas in those with LSM ≥ 11.7 kPa, LSM showed a negative correlation with BMD. <b>Conclusions:</b> Our findings highlighted a positive association between SLD and BMD; however, the association was likely influenced by liver fibrosis. Studies in large scale cohorts with a longer follow-up are warranted to elucidate the impacts of hepatic steatosis and associated pathologies on bone health.</p>","PeriodicalId":48755,"journal":{"name":"Canadian Journal of Gastroenterology and Hepatology","volume":"2025 ","pages":"6969761"},"PeriodicalIF":2.3000,"publicationDate":"2025-08-11","publicationTypes":"Journal Article","fieldsOfStudy":null,"isOpenAccess":false,"openAccessPdf":"https://www.ncbi.nlm.nih.gov/pmc/articles/PMC12360881/pdf/","citationCount":"0","resultStr":"{\"title\":\"Increased BMD in SLD Patients Without Advanced Hepatic Fibrosis: Evidence From the NHANES 2017-2020 Database.\",\"authors\":\"Tianhao Wu, Lu Li, Yayuan Mei, Peizhen Lv, Jiawei Cui, Lin Liu, Yuemin Nan, Ang Li\",\"doi\":\"10.1155/cjgh/6969761\",\"DOIUrl\":null,\"url\":null,\"abstract\":\"<p><p><b>Background:</b> Recently, metabolic dysfunction-associated steatotic liver disease (MASLD) has been proposed to replace the liver condition previously known as nonalcoholic fatty liver disease (NAFLD), thereby redefining the subcategories of steatotic liver disease (SLD). However, the clinical relevance of SLD subcategories and their relationship with bone mass is lacking. In this study, we aimed to explore the potential association between the commonly proposed subclasses of fatty liver disease and bone mass. <b>Methods:</b> A cross-sectional study using the data from the 2017-2020 cycle of the National Health and Nutrition Examination Survey (NHANES), involving 4237 participants aged 18 years and older who underwent vibration-controlled transient elastography (VCTE) and dual-energy X-ray absorptiometry (DXA), was conducted. A weighted generalized linear model was used to analyze the association of the SLD subcategories and bone mass changes including bone mineral content (BMC), bone area, and bone mineral density (BMD) in the femur and spine, with adjustments for potential covariates. Furthermore, a weighted generalized additive model was employed to assess the dose-response relationships between controlled attenuation parameter (CAP), liver stiffness measurement (LSM), and BMD. <b>Results:</b> A total of 2635 and 1602 participants were included for analysis of the femur and lumbar spine, respectively. Compared to healthy individuals, positive correlations were observed between all three SLD subgroups (MASLD, MetALD, and ALD) and BMC, and BMD in the femur and spine, but no association with the bone area was identified. Moreover, CAP exhibited a strong positive correlation with BMD across all femoral and spinal scan sites. It was also positively correlated with BMC in some femoral scan sites and all spinal scan sites but was associated with the bone area only in certain femoral scan sites and not in spinal scan sites. In contrast, LSM showed clear positive correlations with BMD in some femoral and all spinal scan sites, as well as with BMC in certain femoral and spinal scan sites. However, LSM did not correlate with the bone area in any femoral or spinal scan sites. Besides, LSM showed a nonlinear association with these indicators. Subgroup analysis revealed a positive correlation between CAP and BMD only in individuals with CAP > 248 dB/m, BMI ≥ 25 kg/m<sup>2</sup>, and LSM < 11.7 kPa. Additionally, in females and individuals with LSM < 11.7 kPa, LSM was positively correlated with BMD, whereas in those with LSM ≥ 11.7 kPa, LSM showed a negative correlation with BMD. <b>Conclusions:</b> Our findings highlighted a positive association between SLD and BMD; however, the association was likely influenced by liver fibrosis. Studies in large scale cohorts with a longer follow-up are warranted to elucidate the impacts of hepatic steatosis and associated pathologies on bone health.</p>\",\"PeriodicalId\":48755,\"journal\":{\"name\":\"Canadian Journal of Gastroenterology and Hepatology\",\"volume\":\"2025 \",\"pages\":\"6969761\"},\"PeriodicalIF\":2.3000,\"publicationDate\":\"2025-08-11\",\"publicationTypes\":\"Journal Article\",\"fieldsOfStudy\":null,\"isOpenAccess\":false,\"openAccessPdf\":\"https://www.ncbi.nlm.nih.gov/pmc/articles/PMC12360881/pdf/\",\"citationCount\":\"0\",\"resultStr\":null,\"platform\":\"Semanticscholar\",\"paperid\":null,\"PeriodicalName\":\"Canadian Journal of Gastroenterology and Hepatology\",\"FirstCategoryId\":\"3\",\"ListUrlMain\":\"https://doi.org/10.1155/cjgh/6969761\",\"RegionNum\":4,\"RegionCategory\":\"医学\",\"ArticlePicture\":[],\"TitleCN\":null,\"AbstractTextCN\":null,\"PMCID\":null,\"EPubDate\":\"2025/1/1 0:00:00\",\"PubModel\":\"eCollection\",\"JCR\":\"Q2\",\"JCRName\":\"Medicine\",\"Score\":null,\"Total\":0}","platform":"Semanticscholar","paperid":null,"PeriodicalName":"Canadian Journal of Gastroenterology and Hepatology","FirstCategoryId":"3","ListUrlMain":"https://doi.org/10.1155/cjgh/6969761","RegionNum":4,"RegionCategory":"医学","ArticlePicture":[],"TitleCN":null,"AbstractTextCN":null,"PMCID":null,"EPubDate":"2025/1/1 0:00:00","PubModel":"eCollection","JCR":"Q2","JCRName":"Medicine","Score":null,"Total":0}
引用次数: 0

摘要

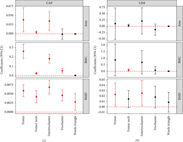
背景:最近,代谢功能障碍相关的脂肪变性肝病(MASLD)被提议取代先前被称为非酒精性脂肪性肝病(NAFLD)的肝脏状况,从而重新定义脂肪变性肝病(SLD)的亚类别。然而,SLD亚型的临床相关性及其与骨量的关系尚缺乏。在这项研究中,我们旨在探讨常见的脂肪性肝病亚类与骨量之间的潜在关联。方法:采用2017-2020年国家健康与营养检查调查(NHANES)周期的数据进行横断面研究,涉及4237名18岁及以上的参与者,他们接受了振动控制瞬态弹性成像(VCTE)和双能x射线吸收仪(DXA)。采用加权广义线性模型分析SLD亚型与骨量变化的关系,包括股骨和脊柱的骨矿物质含量(BMC)、骨面积和骨矿物质密度(BMD),并对潜在协变量进行调整。此外,采用加权广义加性模型评估控制衰减参数(CAP)、肝刚度测量(LSM)和BMD之间的剂量-反应关系。结果:共有2635名和1602名参与者分别被纳入股骨和腰椎的分析。与健康个体相比,所有三个SLD亚组(MASLD、MetALD和ALD)与BMC以及股骨和脊柱的骨密度呈正相关,但未发现与骨面积相关。此外,CAP与所有股骨和脊柱扫描部位的骨密度呈正相关。在一些股骨扫描部位和所有脊柱扫描部位,它也与BMC呈正相关,但仅在某些股骨扫描部位与骨面积相关,而在脊柱扫描部位则没有。相比之下,LSM与部分股骨和所有脊柱扫描部位的BMD以及部分股骨和脊柱扫描部位的BMC呈明显正相关。然而,LSM与任何股骨或脊柱扫描部位的骨面积无关。此外,LSM与这些指标呈非线性相关。亚组分析显示,只有在CAP值为248 dB/m、BMI≥25 kg/m2和LSM的个体中,CAP与BMD呈正相关。然而,这种关联可能受到肝纤维化的影响。为了阐明肝脂肪变性和相关病理对骨骼健康的影响,有必要进行长期随访的大规模队列研究。
本文章由计算机程序翻译,如有差异,请以英文原文为准。

Increased BMD in SLD Patients Without Advanced Hepatic Fibrosis: Evidence From the NHANES 2017-2020 Database.

Increased BMD in SLD Patients Without Advanced Hepatic Fibrosis: Evidence From the NHANES 2017-2020 Database.

Increased BMD in SLD Patients Without Advanced Hepatic Fibrosis: Evidence From the NHANES 2017-2020 Database.

Increased BMD in SLD Patients Without Advanced Hepatic Fibrosis: Evidence From the NHANES 2017-2020 Database.

Background: Recently, metabolic dysfunction-associated steatotic liver disease (MASLD) has been proposed to replace the liver condition previously known as nonalcoholic fatty liver disease (NAFLD), thereby redefining the subcategories of steatotic liver disease (SLD). However, the clinical relevance of SLD subcategories and their relationship with bone mass is lacking. In this study, we aimed to explore the potential association between the commonly proposed subclasses of fatty liver disease and bone mass. Methods: A cross-sectional study using the data from the 2017-2020 cycle of the National Health and Nutrition Examination Survey (NHANES), involving 4237 participants aged 18 years and older who underwent vibration-controlled transient elastography (VCTE) and dual-energy X-ray absorptiometry (DXA), was conducted. A weighted generalized linear model was used to analyze the association of the SLD subcategories and bone mass changes including bone mineral content (BMC), bone area, and bone mineral density (BMD) in the femur and spine, with adjustments for potential covariates. Furthermore, a weighted generalized additive model was employed to assess the dose-response relationships between controlled attenuation parameter (CAP), liver stiffness measurement (LSM), and BMD. Results: A total of 2635 and 1602 participants were included for analysis of the femur and lumbar spine, respectively. Compared to healthy individuals, positive correlations were observed between all three SLD subgroups (MASLD, MetALD, and ALD) and BMC, and BMD in the femur and spine, but no association with the bone area was identified. Moreover, CAP exhibited a strong positive correlation with BMD across all femoral and spinal scan sites. It was also positively correlated with BMC in some femoral scan sites and all spinal scan sites but was associated with the bone area only in certain femoral scan sites and not in spinal scan sites. In contrast, LSM showed clear positive correlations with BMD in some femoral and all spinal scan sites, as well as with BMC in certain femoral and spinal scan sites. However, LSM did not correlate with the bone area in any femoral or spinal scan sites. Besides, LSM showed a nonlinear association with these indicators. Subgroup analysis revealed a positive correlation between CAP and BMD only in individuals with CAP > 248 dB/m, BMI ≥ 25 kg/m2, and LSM < 11.7 kPa. Additionally, in females and individuals with LSM < 11.7 kPa, LSM was positively correlated with BMD, whereas in those with LSM ≥ 11.7 kPa, LSM showed a negative correlation with BMD. Conclusions: Our findings highlighted a positive association between SLD and BMD; however, the association was likely influenced by liver fibrosis. Studies in large scale cohorts with a longer follow-up are warranted to elucidate the impacts of hepatic steatosis and associated pathologies on bone health.

求助全文
通过发布文献求助,成功后即可免费获取论文全文。 去求助
来源期刊
CiteScore
4.80
自引率
0.00%
发文量
0
审稿时长
37 weeks
期刊介绍: Canadian Journal of Gastroenterology and Hepatology is a peer-reviewed, open access journal that publishes original research articles, review articles, and clinical studies in all areas of gastroenterology and liver disease - medicine and surgery. The Canadian Journal of Gastroenterology and Hepatology is sponsored by the Canadian Association of Gastroenterology and the Canadian Association for the Study of the Liver.
×
引用
GB/T 7714-2015
复制
MLA
复制
APA
复制
导出至
BibTeX EndNote RefMan NoteFirst NoteExpress
×
提示
您的信息不完整,为了账户安全,请先补充。
现在去补充
×
提示
您因"违规操作"
具体请查看互助需知
我知道了
×
提示
确定
请完成安全验证×
copy
已复制链接
快去分享给好友吧!
我知道了
右上角分享
点击右上角分享
0
联系我们:info@booksci.cn Book学术提供免费学术资源搜索服务,方便国内外学者检索中英文文献。致力于提供最便捷和优质的服务体验。 Copyright © 2023 布克学术 All rights reserved.
京ICP备2023020795号-1
ghs 京公网安备 11010802042870号
Book学术文献互助
Book学术文献互助群
群 号:604180095
Book学术官方微信