结核上双平面内侧开口楔形胫骨高位截骨术中不同平面对胫骨结核滑车沟距离的影响。

IF 2.1 2区 医学 Q2 ORTHOPEDICS
Orthopaedic Surgery Pub Date : 2025-10-01 Epub Date: 2025-08-19 DOI:10.1111/os.70119
Lizhong Jing, Weiguo Wang, Yulian Ren, Yanrong Chen, Xia Zhang, Meifeng Shen, Jiushan Yang, Jian Wang
{"title":"结核上双平面内侧开口楔形胫骨高位截骨术中不同平面对胫骨结核滑车沟距离的影响。","authors":"Lizhong Jing, Weiguo Wang, Yulian Ren, Yanrong Chen, Xia Zhang, Meifeng Shen, Jiushan Yang, Jian Wang","doi":"10.1111/os.70119","DOIUrl":null,"url":null,"abstract":"<p><strong>Objective: </strong>Changes in the coronal, sagittal, and axial alignments during supra-tubercular biplanar medial opening wedge high tibial osteotomy (STB-MOWHTO) may have different influences on tibial tubercle-trochlear groove (TT-TG) distance, but few pieces of literature have addressed this specific concern. We aimed to analyze the impacts of changes in alignments in different planes during STB-MOWHTO on the TT-TG distance.</p><p><strong>Methods: </strong>Patients who underwent STB-MOWHTO for varus knee deformity at our hospital were reviewed retrospectively from January 2020 to December 2022. Radiographic parameters, including opening width (OW), distal tibial rotation (DTR), posterior tibial slope (PTS), and TT-TG distance, were assessed before operation and directly postoperatively. Multivariate mixed linear regression analyses were employed to investigate the relationships between OW, the changes in DTR, PTS, and TT-TG distance. Restricted cubic spline curve fitting and threshold effects were used to assess potential non-linear relationships between the independent variables and changes in TT-TG distance. Stratification analysis was conducted to assess the stability of the results.</p><p><strong>Results: </strong>One hundred and two knee joints from 66 patients were included. TT-TG distance change was positively correlated with OW (β = 0.551, 95% CI: 0.340, 0.762, p < 0.001) and DTR change (β = 0.284, 95% CI: 0.196, 0.371, p < 0.001). Restricted cubic spline curve fitting and threshold effect analyses did not identify any non-linear relationships or inflection points between OW, DTR change, and TT-TG distance change. Further, stratification analysis of DTR in various directions confirmed the stability of the linear relationship between DTR change and TT-TG distance change.</p><p><strong>Conclusions: </strong>The TT-TG distance change exhibited a positively correlated linear relationship with OW and DTR change during STB-MOWHTO. For every 1 mm increase in OW, TT-TG distance increased by an average of 0.551 mm. For every 1° increase in DTR, TT-TG distance increased by an average of 0.284 mm.</p><p><strong>Level of evidence: </strong>Level III.</p>","PeriodicalId":19566,"journal":{"name":"Orthopaedic Surgery","volume":" ","pages":"2844-2850"},"PeriodicalIF":2.1000,"publicationDate":"2025-10-01","publicationTypes":"Journal Article","fieldsOfStudy":null,"isOpenAccess":false,"openAccessPdf":"https://www.ncbi.nlm.nih.gov/pmc/articles/PMC12497537/pdf/","citationCount":"0","resultStr":"{\"title\":\"Influence of Alignment Changes in Different Planes During Supra-Tubercular Biplanar Medial Opening Wedge High Tibial Osteotomy on Tibial Tubercle-Trochlear Groove Distance.\",\"authors\":\"Lizhong Jing, Weiguo Wang, Yulian Ren, Yanrong Chen, Xia Zhang, Meifeng Shen, Jiushan Yang, Jian Wang\",\"doi\":\"10.1111/os.70119\",\"DOIUrl\":null,\"url\":null,\"abstract\":\"<p><strong>Objective: </strong>Changes in the coronal, sagittal, and axial alignments during supra-tubercular biplanar medial opening wedge high tibial osteotomy (STB-MOWHTO) may have different influences on tibial tubercle-trochlear groove (TT-TG) distance, but few pieces of literature have addressed this specific concern. We aimed to analyze the impacts of changes in alignments in different planes during STB-MOWHTO on the TT-TG distance.</p><p><strong>Methods: </strong>Patients who underwent STB-MOWHTO for varus knee deformity at our hospital were reviewed retrospectively from January 2020 to December 2022. Radiographic parameters, including opening width (OW), distal tibial rotation (DTR), posterior tibial slope (PTS), and TT-TG distance, were assessed before operation and directly postoperatively. Multivariate mixed linear regression analyses were employed to investigate the relationships between OW, the changes in DTR, PTS, and TT-TG distance. Restricted cubic spline curve fitting and threshold effects were used to assess potential non-linear relationships between the independent variables and changes in TT-TG distance. Stratification analysis was conducted to assess the stability of the results.</p><p><strong>Results: </strong>One hundred and two knee joints from 66 patients were included. TT-TG distance change was positively correlated with OW (β = 0.551, 95% CI: 0.340, 0.762, p < 0.001) and DTR change (β = 0.284, 95% CI: 0.196, 0.371, p < 0.001). Restricted cubic spline curve fitting and threshold effect analyses did not identify any non-linear relationships or inflection points between OW, DTR change, and TT-TG distance change. Further, stratification analysis of DTR in various directions confirmed the stability of the linear relationship between DTR change and TT-TG distance change.</p><p><strong>Conclusions: </strong>The TT-TG distance change exhibited a positively correlated linear relationship with OW and DTR change during STB-MOWHTO. For every 1 mm increase in OW, TT-TG distance increased by an average of 0.551 mm. For every 1° increase in DTR, TT-TG distance increased by an average of 0.284 mm.</p><p><strong>Level of evidence: </strong>Level III.</p>\",\"PeriodicalId\":19566,\"journal\":{\"name\":\"Orthopaedic Surgery\",\"volume\":\" \",\"pages\":\"2844-2850\"},\"PeriodicalIF\":2.1000,\"publicationDate\":\"2025-10-01\",\"publicationTypes\":\"Journal Article\",\"fieldsOfStudy\":null,\"isOpenAccess\":false,\"openAccessPdf\":\"https://www.ncbi.nlm.nih.gov/pmc/articles/PMC12497537/pdf/\",\"citationCount\":\"0\",\"resultStr\":null,\"platform\":\"Semanticscholar\",\"paperid\":null,\"PeriodicalName\":\"Orthopaedic Surgery\",\"FirstCategoryId\":\"3\",\"ListUrlMain\":\"https://doi.org/10.1111/os.70119\",\"RegionNum\":2,\"RegionCategory\":\"医学\",\"ArticlePicture\":[],\"TitleCN\":null,\"AbstractTextCN\":null,\"PMCID\":null,\"EPubDate\":\"2025/8/19 0:00:00\",\"PubModel\":\"Epub\",\"JCR\":\"Q2\",\"JCRName\":\"ORTHOPEDICS\",\"Score\":null,\"Total\":0}","platform":"Semanticscholar","paperid":null,"PeriodicalName":"Orthopaedic Surgery","FirstCategoryId":"3","ListUrlMain":"https://doi.org/10.1111/os.70119","RegionNum":2,"RegionCategory":"医学","ArticlePicture":[],"TitleCN":null,"AbstractTextCN":null,"PMCID":null,"EPubDate":"2025/8/19 0:00:00","PubModel":"Epub","JCR":"Q2","JCRName":"ORTHOPEDICS","Score":null,"Total":0}
引用次数: 0

摘要

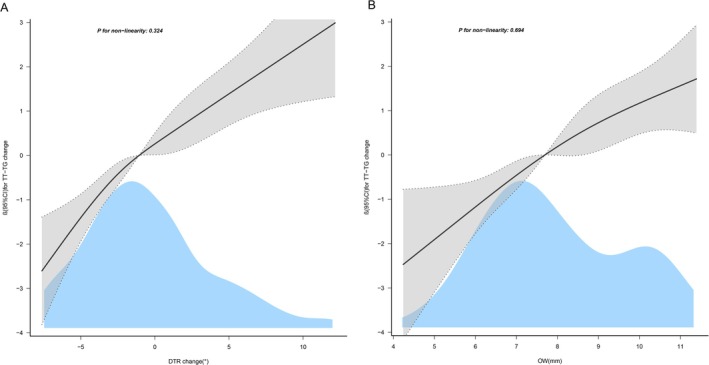
目的:在结核上双平面内侧开口楔形高位胫骨截骨术(STB-MOWHTO)中冠状、矢状和轴向排列的变化可能对胫骨结节-滑车沟(TT-TG)距离有不同的影响,但很少有文献讨论这一特定问题。我们的目的是分析STB-MOWHTO期间不同平面的排列变化对TT-TG距离的影响。方法:回顾性分析2020年1月至2022年12月在我院行STB-MOWHTO治疗膝内翻畸形的患者。术前和术后直接评估影像学参数,包括开口宽度(OW)、胫骨远端旋转(DTR)、胫骨后斜率(PTS)和TT-TG距离。采用多元混合线性回归分析,探讨OW与DTR、PTS、TT-TG距离变化的关系。使用限制三次样条曲线拟合和阈值效应来评估自变量与TT-TG距离变化之间潜在的非线性关系。分层分析评价结果的稳定性。结果:纳入66例患者的102个膝关节。TT-TG距离变化与OW呈正相关(β = 0.551, 95% CI: 0.340, 0.762, p)。结论:STB-MOWHTO期间TT-TG距离变化与OW、DTR变化呈线性正相关。OW每增加1 mm, TT-TG距离平均增加0.551 mm。DTR每增加1°,TT-TG距离平均增加0.284 mm。证据等级:三级。
本文章由计算机程序翻译,如有差异,请以英文原文为准。

Influence of Alignment Changes in Different Planes During Supra-Tubercular Biplanar Medial Opening Wedge High Tibial Osteotomy on Tibial Tubercle-Trochlear Groove Distance.

Influence of Alignment Changes in Different Planes During Supra-Tubercular Biplanar Medial Opening Wedge High Tibial Osteotomy on Tibial Tubercle-Trochlear Groove Distance.

Influence of Alignment Changes in Different Planes During Supra-Tubercular Biplanar Medial Opening Wedge High Tibial Osteotomy on Tibial Tubercle-Trochlear Groove Distance.

Influence of Alignment Changes in Different Planes During Supra-Tubercular Biplanar Medial Opening Wedge High Tibial Osteotomy on Tibial Tubercle-Trochlear Groove Distance.

Objective: Changes in the coronal, sagittal, and axial alignments during supra-tubercular biplanar medial opening wedge high tibial osteotomy (STB-MOWHTO) may have different influences on tibial tubercle-trochlear groove (TT-TG) distance, but few pieces of literature have addressed this specific concern. We aimed to analyze the impacts of changes in alignments in different planes during STB-MOWHTO on the TT-TG distance.

Methods: Patients who underwent STB-MOWHTO for varus knee deformity at our hospital were reviewed retrospectively from January 2020 to December 2022. Radiographic parameters, including opening width (OW), distal tibial rotation (DTR), posterior tibial slope (PTS), and TT-TG distance, were assessed before operation and directly postoperatively. Multivariate mixed linear regression analyses were employed to investigate the relationships between OW, the changes in DTR, PTS, and TT-TG distance. Restricted cubic spline curve fitting and threshold effects were used to assess potential non-linear relationships between the independent variables and changes in TT-TG distance. Stratification analysis was conducted to assess the stability of the results.

Results: One hundred and two knee joints from 66 patients were included. TT-TG distance change was positively correlated with OW (β = 0.551, 95% CI: 0.340, 0.762, p < 0.001) and DTR change (β = 0.284, 95% CI: 0.196, 0.371, p < 0.001). Restricted cubic spline curve fitting and threshold effect analyses did not identify any non-linear relationships or inflection points between OW, DTR change, and TT-TG distance change. Further, stratification analysis of DTR in various directions confirmed the stability of the linear relationship between DTR change and TT-TG distance change.

Conclusions: The TT-TG distance change exhibited a positively correlated linear relationship with OW and DTR change during STB-MOWHTO. For every 1 mm increase in OW, TT-TG distance increased by an average of 0.551 mm. For every 1° increase in DTR, TT-TG distance increased by an average of 0.284 mm.

Level of evidence: Level III.

求助全文
通过发布文献求助,成功后即可免费获取论文全文。 去求助
来源期刊
Orthopaedic Surgery
Orthopaedic Surgery ORTHOPEDICS-
CiteScore
3.40
自引率
14.30%
发文量
374
审稿时长
20 weeks
期刊介绍: Orthopaedic Surgery (OS) is the official journal of the Chinese Orthopaedic Association, focusing on all aspects of orthopaedic technique and surgery. The journal publishes peer-reviewed articles in the following categories: Original Articles, Clinical Articles, Review Articles, Guidelines, Editorials, Commentaries, Surgical Techniques, Case Reports and Meeting Reports.
×
引用
GB/T 7714-2015
复制
MLA
复制
APA
复制
导出至
BibTeX EndNote RefMan NoteFirst NoteExpress
×
提示
您的信息不完整,为了账户安全,请先补充。
现在去补充
×
提示
您因"违规操作"
具体请查看互助需知
我知道了
×
提示
确定
请完成安全验证×
copy
已复制链接
快去分享给好友吧!
我知道了
右上角分享
点击右上角分享
0
联系我们:info@booksci.cn Book学术提供免费学术资源搜索服务,方便国内外学者检索中英文文献。致力于提供最便捷和优质的服务体验。 Copyright © 2023 布克学术 All rights reserved.
京ICP备2023020795号-1
ghs 京公网安备 11010802042870号
Book学术文献互助
Book学术文献互助群
群 号:604180095
Book学术官方微信