胶质母细胞瘤放化疗后延长淋巴细胞减少的预后价值评估及预测模型的建立。

IF 2 4区 医学 Q2 BIOLOGY
Shuhei Takahashi, Kentaro Nishioka, Takashi Mori, Shigeru Yamaguchi, Yukitomo Ishi, Keiji Kobashi, Yoichi M Ito, Zen-Ichi Tanei, Hiromi Kanno-Okada, Shinya Tanaka, Hidefumi Aoyama
{"title":"胶质母细胞瘤放化疗后延长淋巴细胞减少的预后价值评估及预测模型的建立。","authors":"Shuhei Takahashi, Kentaro Nishioka, Takashi Mori, Shigeru Yamaguchi, Yukitomo Ishi, Keiji Kobashi, Yoichi M Ito, Zen-Ichi Tanei, Hiromi Kanno-Okada, Shinya Tanaka, Hidefumi Aoyama","doi":"10.1093/jrr/rraf045","DOIUrl":null,"url":null,"abstract":"<p><p>Lymphopenia during chemoradiotherapy (CRT) for glioblastoma has been shown to be a poor prognostic factor. However, the relationship between prolonged lymphopenia (PL) after CRT and prognosis remains unclear. This study aimed to explore the relationship between PL and glioblastoma prognosis and develop a predictive model for PL risk. We analyzed 87 patients with primary glioblastoma who underwent postoperative CRT with 60 Gy in 30 fractions of radiotherapy and temozolomide. PL was defined as grade 2 or higher lymphopenia 1 month after the completion of CRT. We conducted survival analysis, identified risk factors for PL, and developed a predictive model for PL risk. Of the 87 patients, 41 developed PL, and progression-free survival (PFS) was significantly shorter in the PL group (median 8.0 months vs 15.4 months, P = 0.003). However, there was no significant difference in overall survival between the two groups. PL was also a significant factor for shorter PFS in multivariable analysis (P = 0.040). Brain V20Gy (percentage of brain volume receiving ≥20 Gy), gross total resection (GTR), and preoperative Karnofsky performance status (KPS) were identified as significant risk factors for PL. The predictive model showed that the risk of PL could be predicted by brain V20Gy, sex, age, GTR and preoperative KPS. PL was identified as a PFS shortening factor. Our model suggests that reducing irradiated brain volume may help prevent PL and could potentially improve glioblastoma prognosis by preserving cancer immunity.</p>","PeriodicalId":16922,"journal":{"name":"Journal of Radiation Research","volume":" ","pages":"542-550"},"PeriodicalIF":2.0000,"publicationDate":"2025-09-23","publicationTypes":"Journal Article","fieldsOfStudy":null,"isOpenAccess":false,"openAccessPdf":"https://www.ncbi.nlm.nih.gov/pmc/articles/PMC12460052/pdf/","citationCount":"0","resultStr":"{\"title\":\"Assessment of prognostic value and development of predictive model for prolonged lymphopenia in patients with glioblastoma following chemoradiotherapy.\",\"authors\":\"Shuhei Takahashi, Kentaro Nishioka, Takashi Mori, Shigeru Yamaguchi, Yukitomo Ishi, Keiji Kobashi, Yoichi M Ito, Zen-Ichi Tanei, Hiromi Kanno-Okada, Shinya Tanaka, Hidefumi Aoyama\",\"doi\":\"10.1093/jrr/rraf045\",\"DOIUrl\":null,\"url\":null,\"abstract\":\"<p><p>Lymphopenia during chemoradiotherapy (CRT) for glioblastoma has been shown to be a poor prognostic factor. However, the relationship between prolonged lymphopenia (PL) after CRT and prognosis remains unclear. This study aimed to explore the relationship between PL and glioblastoma prognosis and develop a predictive model for PL risk. We analyzed 87 patients with primary glioblastoma who underwent postoperative CRT with 60 Gy in 30 fractions of radiotherapy and temozolomide. PL was defined as grade 2 or higher lymphopenia 1 month after the completion of CRT. We conducted survival analysis, identified risk factors for PL, and developed a predictive model for PL risk. Of the 87 patients, 41 developed PL, and progression-free survival (PFS) was significantly shorter in the PL group (median 8.0 months vs 15.4 months, P = 0.003). However, there was no significant difference in overall survival between the two groups. PL was also a significant factor for shorter PFS in multivariable analysis (P = 0.040). Brain V20Gy (percentage of brain volume receiving ≥20 Gy), gross total resection (GTR), and preoperative Karnofsky performance status (KPS) were identified as significant risk factors for PL. The predictive model showed that the risk of PL could be predicted by brain V20Gy, sex, age, GTR and preoperative KPS. PL was identified as a PFS shortening factor. Our model suggests that reducing irradiated brain volume may help prevent PL and could potentially improve glioblastoma prognosis by preserving cancer immunity.</p>\",\"PeriodicalId\":16922,\"journal\":{\"name\":\"Journal of Radiation Research\",\"volume\":\" \",\"pages\":\"542-550\"},\"PeriodicalIF\":2.0000,\"publicationDate\":\"2025-09-23\",\"publicationTypes\":\"Journal Article\",\"fieldsOfStudy\":null,\"isOpenAccess\":false,\"openAccessPdf\":\"https://www.ncbi.nlm.nih.gov/pmc/articles/PMC12460052/pdf/\",\"citationCount\":\"0\",\"resultStr\":null,\"platform\":\"Semanticscholar\",\"paperid\":null,\"PeriodicalName\":\"Journal of Radiation Research\",\"FirstCategoryId\":\"3\",\"ListUrlMain\":\"https://doi.org/10.1093/jrr/rraf045\",\"RegionNum\":4,\"RegionCategory\":\"医学\",\"ArticlePicture\":[],\"TitleCN\":null,\"AbstractTextCN\":null,\"PMCID\":null,\"EPubDate\":\"\",\"PubModel\":\"\",\"JCR\":\"Q2\",\"JCRName\":\"BIOLOGY\",\"Score\":null,\"Total\":0}","platform":"Semanticscholar","paperid":null,"PeriodicalName":"Journal of Radiation Research","FirstCategoryId":"3","ListUrlMain":"https://doi.org/10.1093/jrr/rraf045","RegionNum":4,"RegionCategory":"医学","ArticlePicture":[],"TitleCN":null,"AbstractTextCN":null,"PMCID":null,"EPubDate":"","PubModel":"","JCR":"Q2","JCRName":"BIOLOGY","Score":null,"Total":0}
引用次数: 0

摘要

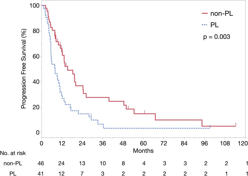
胶质母细胞瘤放化疗(CRT)期间淋巴细胞减少已被证明是一个不良的预后因素。然而,CRT后延长淋巴细胞减少(PL)与预后的关系尚不清楚。本研究旨在探讨PL与胶质母细胞瘤预后的关系,并建立PL风险的预测模型。我们分析了87例原发性胶质母细胞瘤患者,他们在术后接受了60 Gy的放射治疗和替莫唑胺30次放射治疗。PL定义为在CRT完成1个月后2级或以上淋巴细胞减少。我们进行了生存分析,确定了PL的危险因素,并建立了PL风险的预测模型。在87例患者中,41例发生了PL, PL组的无进展生存期(PFS)显著缩短(中位8.0个月vs 15.4个月,P = 0.003)。然而,两组患者的总生存率无显著差异。在多变量分析中,PL也是缩短PFS的重要因素(P = 0.040)。脑V20Gy(脑容量接受≥20gy的百分比)、总切除量(GTR)和术前Karnofsky性能状态(KPS)是PL发生的显著危险因素,预测模型显示脑V20Gy、性别、年龄、GTR和术前KPS可预测PL发生的风险。PL被确定为PFS缩短因子。我们的模型表明,减少受辐射的脑容量可能有助于预防PL,并可能通过保持癌症免疫来改善胶质母细胞瘤的预后。
本文章由计算机程序翻译,如有差异,请以英文原文为准。

Assessment of prognostic value and development of predictive model for prolonged lymphopenia in patients with glioblastoma following chemoradiotherapy.

Assessment of prognostic value and development of predictive model for prolonged lymphopenia in patients with glioblastoma following chemoradiotherapy.

Assessment of prognostic value and development of predictive model for prolonged lymphopenia in patients with glioblastoma following chemoradiotherapy.

Assessment of prognostic value and development of predictive model for prolonged lymphopenia in patients with glioblastoma following chemoradiotherapy.

Lymphopenia during chemoradiotherapy (CRT) for glioblastoma has been shown to be a poor prognostic factor. However, the relationship between prolonged lymphopenia (PL) after CRT and prognosis remains unclear. This study aimed to explore the relationship between PL and glioblastoma prognosis and develop a predictive model for PL risk. We analyzed 87 patients with primary glioblastoma who underwent postoperative CRT with 60 Gy in 30 fractions of radiotherapy and temozolomide. PL was defined as grade 2 or higher lymphopenia 1 month after the completion of CRT. We conducted survival analysis, identified risk factors for PL, and developed a predictive model for PL risk. Of the 87 patients, 41 developed PL, and progression-free survival (PFS) was significantly shorter in the PL group (median 8.0 months vs 15.4 months, P = 0.003). However, there was no significant difference in overall survival between the two groups. PL was also a significant factor for shorter PFS in multivariable analysis (P = 0.040). Brain V20Gy (percentage of brain volume receiving ≥20 Gy), gross total resection (GTR), and preoperative Karnofsky performance status (KPS) were identified as significant risk factors for PL. The predictive model showed that the risk of PL could be predicted by brain V20Gy, sex, age, GTR and preoperative KPS. PL was identified as a PFS shortening factor. Our model suggests that reducing irradiated brain volume may help prevent PL and could potentially improve glioblastoma prognosis by preserving cancer immunity.

求助全文
通过发布文献求助,成功后即可免费获取论文全文。 去求助
来源期刊
CiteScore
3.60
自引率
5.00%
发文量
86
审稿时长
4-8 weeks
期刊介绍: The Journal of Radiation Research (JRR) is an official journal of The Japanese Radiation Research Society (JRRS), and the Japanese Society for Radiation Oncology (JASTRO). Since its launch in 1960 as the official journal of the JRRS, the journal has published scientific articles in radiation science in biology, chemistry, physics, epidemiology, and environmental sciences. JRR broadened its scope to include oncology in 2009, when JASTRO partnered with the JRRS to publish the journal. Articles considered fall into two broad categories: Oncology & Medicine - including all aspects of research with patients that impacts on the treatment of cancer using radiation. Papers which cover related radiation therapies, radiation dosimetry, and those describing the basis for treatment methods including techniques, are also welcomed. Clinical case reports are not acceptable. Radiation Research - basic science studies of radiation effects on livings in the area of physics, chemistry, biology, epidemiology and environmental sciences. Please be advised that JRR does not accept any papers of pure physics or chemistry. The journal is bimonthly, and is edited and published by the JRR Editorial Committee.
×
引用
GB/T 7714-2015
复制
MLA
复制
APA
复制
导出至
BibTeX EndNote RefMan NoteFirst NoteExpress
×
提示
您的信息不完整,为了账户安全,请先补充。
现在去补充
×
提示
您因"违规操作"
具体请查看互助需知
我知道了
×
提示
确定
请完成安全验证×
copy
已复制链接
快去分享给好友吧!
我知道了
右上角分享
点击右上角分享
0
联系我们:info@booksci.cn Book学术提供免费学术资源搜索服务,方便国内外学者检索中英文文献。致力于提供最便捷和优质的服务体验。 Copyright © 2023 布克学术 All rights reserved.
京ICP备2023020795号-1
ghs 京公网安备 11010802042870号
Book学术文献互助
Book学术文献互助群
群 号:604180095
Book学术官方微信