食管癌手术患者运动康复的可行性、安全性和初步效果:一项开放标签、随机、平行组的试点和可行性研究

IF 2.8 3区 医学 Q1 REHABILITATION
Chen Gong, Beibei Feng, Huashe Wang, Yafei Wang, Jiadan Yu, Biru Wang, Shi Chen, Junsheng Peng, Yuling Wang
{"title":"食管癌手术患者运动康复的可行性、安全性和初步效果:一项开放标签、随机、平行组的试点和可行性研究","authors":"Chen Gong, Beibei Feng, Huashe Wang, Yafei Wang, Jiadan Yu, Biru Wang, Shi Chen, Junsheng Peng, Yuling Wang","doi":"10.1186/s13102-025-01276-2","DOIUrl":null,"url":null,"abstract":"<p><strong>Background: </strong>Increasing evidence underscores the effectiveness of prehabilitation in improving postoperative outcomes in patients with cancer. However, evidence on structured exercise prehabilitation, specifically for functional recovery after esophagectomy, remains limited. Hence, this pilot study aimed to examine the feasibility and safety of a one-week exercise prehabilitation protocol and to explore its preliminary effects on functional capacity in patients with esophageal cancer undergoing surgery.</p><p><strong>Methods: </strong>This is a parallel-group, randomized, open-label, pragmatic pilot trial. Patients with esophageal cancer awaiting surgery were randomly assigned to either the prehabilitation group or the control group. The prehabilitation group received a one-week structured exercise prehabilitation program that included respiratory, resistance and aerobic exercise before surgery, whereas the control group received no preoperative intervention. Feasibility was evaluated by the eligibility rate, recruitment rate, follow-up assessment rate, and exercise adherence rate. Safety was assessed by monitoring and recording any serious adverse events that occurred during the exercise program. Preliminary efficacy was determined via changes in functional capacity, postoperative complications, and quality of life.</p><p><strong>Results: </strong>Twenty-one patients were randomized, and 16 were included in the primary analysis. Prehabilitation is feasible, with a recognized eligibility rate (69%), recruitment rate (95%) and follow-up completion rate (76%). All (100%) participants attended each treatment session during the prehabilitation and postoperative rehabilitation phases. No serious adverse events were reported. A statistically significant improvement in the change in the 6-minute walking distance from baseline was found in the prehabilitation group after one week of prehabilitation intervention compared with the control group (P < 0.001). A significant interaction effect (group × time) was also observed (P = 0.011). There was no significant difference in the occurrence of postoperative complications between the groups. Prehabilitation also potentially improved the preoperative quality of life (P < 0.05).</p><p><strong>Conclusions: </strong>The one-week structured exercise prehabilitation protocol is feasible and safe for esophagectomy patients and has the potential to enhance preoperative functional capacity and quality of life. These findings support further investigations in large-scale randomized controlled trials to validate the efficacy for clinical endpoints.</p><p><strong>Trial registration: </strong>This trial was retrospectively registered with the Chinese Clinical Trial Registry on 25/09/2024 (ChiCTR2400090172).</p>","PeriodicalId":48585,"journal":{"name":"BMC Sports Science Medicine and Rehabilitation","volume":"17 1","pages":"223"},"PeriodicalIF":2.8000,"publicationDate":"2025-08-02","publicationTypes":"Journal Article","fieldsOfStudy":null,"isOpenAccess":false,"openAccessPdf":"https://www.ncbi.nlm.nih.gov/pmc/articles/PMC12318388/pdf/","citationCount":"0","resultStr":"{\"title\":\"Feasibility, safety and preliminary effect of exercise prehabilitation in patients with esophageal cancer undergoing surgery: an open-label, randomized, parallel-group pilot and feasibility study.\",\"authors\":\"Chen Gong, Beibei Feng, Huashe Wang, Yafei Wang, Jiadan Yu, Biru Wang, Shi Chen, Junsheng Peng, Yuling Wang\",\"doi\":\"10.1186/s13102-025-01276-2\",\"DOIUrl\":null,\"url\":null,\"abstract\":\"<p><strong>Background: </strong>Increasing evidence underscores the effectiveness of prehabilitation in improving postoperative outcomes in patients with cancer. However, evidence on structured exercise prehabilitation, specifically for functional recovery after esophagectomy, remains limited. Hence, this pilot study aimed to examine the feasibility and safety of a one-week exercise prehabilitation protocol and to explore its preliminary effects on functional capacity in patients with esophageal cancer undergoing surgery.</p><p><strong>Methods: </strong>This is a parallel-group, randomized, open-label, pragmatic pilot trial. Patients with esophageal cancer awaiting surgery were randomly assigned to either the prehabilitation group or the control group. The prehabilitation group received a one-week structured exercise prehabilitation program that included respiratory, resistance and aerobic exercise before surgery, whereas the control group received no preoperative intervention. Feasibility was evaluated by the eligibility rate, recruitment rate, follow-up assessment rate, and exercise adherence rate. Safety was assessed by monitoring and recording any serious adverse events that occurred during the exercise program. Preliminary efficacy was determined via changes in functional capacity, postoperative complications, and quality of life.</p><p><strong>Results: </strong>Twenty-one patients were randomized, and 16 were included in the primary analysis. Prehabilitation is feasible, with a recognized eligibility rate (69%), recruitment rate (95%) and follow-up completion rate (76%). All (100%) participants attended each treatment session during the prehabilitation and postoperative rehabilitation phases. No serious adverse events were reported. A statistically significant improvement in the change in the 6-minute walking distance from baseline was found in the prehabilitation group after one week of prehabilitation intervention compared with the control group (P < 0.001). A significant interaction effect (group × time) was also observed (P = 0.011). There was no significant difference in the occurrence of postoperative complications between the groups. Prehabilitation also potentially improved the preoperative quality of life (P < 0.05).</p><p><strong>Conclusions: </strong>The one-week structured exercise prehabilitation protocol is feasible and safe for esophagectomy patients and has the potential to enhance preoperative functional capacity and quality of life. These findings support further investigations in large-scale randomized controlled trials to validate the efficacy for clinical endpoints.</p><p><strong>Trial registration: </strong>This trial was retrospectively registered with the Chinese Clinical Trial Registry on 25/09/2024 (ChiCTR2400090172).</p>\",\"PeriodicalId\":48585,\"journal\":{\"name\":\"BMC Sports Science Medicine and Rehabilitation\",\"volume\":\"17 1\",\"pages\":\"223\"},\"PeriodicalIF\":2.8000,\"publicationDate\":\"2025-08-02\",\"publicationTypes\":\"Journal Article\",\"fieldsOfStudy\":null,\"isOpenAccess\":false,\"openAccessPdf\":\"https://www.ncbi.nlm.nih.gov/pmc/articles/PMC12318388/pdf/\",\"citationCount\":\"0\",\"resultStr\":null,\"platform\":\"Semanticscholar\",\"paperid\":null,\"PeriodicalName\":\"BMC Sports Science Medicine and Rehabilitation\",\"FirstCategoryId\":\"3\",\"ListUrlMain\":\"https://doi.org/10.1186/s13102-025-01276-2\",\"RegionNum\":3,\"RegionCategory\":\"医学\",\"ArticlePicture\":[],\"TitleCN\":null,\"AbstractTextCN\":null,\"PMCID\":null,\"EPubDate\":\"\",\"PubModel\":\"\",\"JCR\":\"Q1\",\"JCRName\":\"REHABILITATION\",\"Score\":null,\"Total\":0}","platform":"Semanticscholar","paperid":null,"PeriodicalName":"BMC Sports Science Medicine and Rehabilitation","FirstCategoryId":"3","ListUrlMain":"https://doi.org/10.1186/s13102-025-01276-2","RegionNum":3,"RegionCategory":"医学","ArticlePicture":[],"TitleCN":null,"AbstractTextCN":null,"PMCID":null,"EPubDate":"","PubModel":"","JCR":"Q1","JCRName":"REHABILITATION","Score":null,"Total":0}
引用次数: 0

摘要

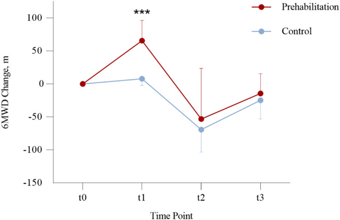
背景:越来越多的证据强调了康复在改善癌症患者术后预后方面的有效性。然而,关于有组织的运动康复,特别是食管切除术后功能恢复的证据仍然有限。因此,本初步研究旨在检验一周运动康复方案的可行性和安全性,并探讨其对食管癌手术患者功能能力的初步影响。方法:这是一项平行组、随机、开放标签、实用的试点试验。等待手术的食管癌患者被随机分为康复组和对照组。康复组在手术前接受了为期一周的有组织的运动康复计划,包括呼吸、阻力和有氧运动,而对照组在手术前没有接受任何干预。通过入选率、招募率、随访评估率和运动坚持率来评估可行性。通过监测和记录运动过程中发生的任何严重不良事件来评估安全性。初步疗效是通过功能变化、术后并发症和生活质量来确定的。结果:21例患者被随机分组,16例纳入初步分析。预适应是可行的,有认可的合格率(69%),招募率(95%)和随访完成率(76%)。在康复前和术后康复阶段,所有(100%)参与者都参加了每次治疗。无严重不良事件报告。预康复干预1周后,预康复组与对照组相比,6分钟步行距离与基线的变化有统计学意义的改善(P)。结论:为期1周的结构化运动预康复方案对食管切除术患者是可行和安全的,并有可能提高术前功能能力和生活质量。这些发现支持在大规模随机对照试验中进一步研究,以验证临床终点的有效性。试验注册:该试验于2024年9月25日在中国临床试验注册中心回顾性注册(ChiCTR2400090172)。
本文章由计算机程序翻译,如有差异,请以英文原文为准。

Feasibility, safety and preliminary effect of exercise prehabilitation in patients with esophageal cancer undergoing surgery: an open-label, randomized, parallel-group pilot and feasibility study.

Feasibility, safety and preliminary effect of exercise prehabilitation in patients with esophageal cancer undergoing surgery: an open-label, randomized, parallel-group pilot and feasibility study.

Feasibility, safety and preliminary effect of exercise prehabilitation in patients with esophageal cancer undergoing surgery: an open-label, randomized, parallel-group pilot and feasibility study.

Background: Increasing evidence underscores the effectiveness of prehabilitation in improving postoperative outcomes in patients with cancer. However, evidence on structured exercise prehabilitation, specifically for functional recovery after esophagectomy, remains limited. Hence, this pilot study aimed to examine the feasibility and safety of a one-week exercise prehabilitation protocol and to explore its preliminary effects on functional capacity in patients with esophageal cancer undergoing surgery.

Methods: This is a parallel-group, randomized, open-label, pragmatic pilot trial. Patients with esophageal cancer awaiting surgery were randomly assigned to either the prehabilitation group or the control group. The prehabilitation group received a one-week structured exercise prehabilitation program that included respiratory, resistance and aerobic exercise before surgery, whereas the control group received no preoperative intervention. Feasibility was evaluated by the eligibility rate, recruitment rate, follow-up assessment rate, and exercise adherence rate. Safety was assessed by monitoring and recording any serious adverse events that occurred during the exercise program. Preliminary efficacy was determined via changes in functional capacity, postoperative complications, and quality of life.

Results: Twenty-one patients were randomized, and 16 were included in the primary analysis. Prehabilitation is feasible, with a recognized eligibility rate (69%), recruitment rate (95%) and follow-up completion rate (76%). All (100%) participants attended each treatment session during the prehabilitation and postoperative rehabilitation phases. No serious adverse events were reported. A statistically significant improvement in the change in the 6-minute walking distance from baseline was found in the prehabilitation group after one week of prehabilitation intervention compared with the control group (P < 0.001). A significant interaction effect (group × time) was also observed (P = 0.011). There was no significant difference in the occurrence of postoperative complications between the groups. Prehabilitation also potentially improved the preoperative quality of life (P < 0.05).

Conclusions: The one-week structured exercise prehabilitation protocol is feasible and safe for esophagectomy patients and has the potential to enhance preoperative functional capacity and quality of life. These findings support further investigations in large-scale randomized controlled trials to validate the efficacy for clinical endpoints.

Trial registration: This trial was retrospectively registered with the Chinese Clinical Trial Registry on 25/09/2024 (ChiCTR2400090172).

求助全文
通过发布文献求助,成功后即可免费获取论文全文。 去求助
来源期刊
BMC Sports Science Medicine and Rehabilitation
BMC Sports Science Medicine and Rehabilitation Medicine-Orthopedics and Sports Medicine
CiteScore
3.00
自引率
5.30%
发文量
196
审稿时长
26 weeks
期刊介绍: BMC Sports Science, Medicine and Rehabilitation is an open access, peer reviewed journal that considers articles on all aspects of sports medicine and the exercise sciences, including rehabilitation, traumatology, cardiology, physiology, and nutrition.
×
引用
GB/T 7714-2015
复制
MLA
复制
APA
复制
导出至
BibTeX EndNote RefMan NoteFirst NoteExpress
×
提示
您的信息不完整,为了账户安全,请先补充。
现在去补充
×
提示
您因"违规操作"
具体请查看互助需知
我知道了
×
提示
确定
请完成安全验证×
copy
已复制链接
快去分享给好友吧!
我知道了
右上角分享
点击右上角分享
0
联系我们:info@booksci.cn Book学术提供免费学术资源搜索服务,方便国内外学者检索中英文文献。致力于提供最便捷和优质的服务体验。 Copyright © 2023 布克学术 All rights reserved.
京ICP备2023020795号-1
ghs 京公网安备 11010802042870号
Book学术文献互助
Book学术文献互助群
群 号:604180095
Book学术官方微信