线粒体肌病对日常生活活动的深远影响:标准化结构化和半结构化患者访谈的观察性定性研究。

IF 2.8 3区 医学 Q2 PHARMACOLOGY & PHARMACY
Therapeutic Advances in Chronic Disease Pub Date : 2025-07-25 eCollection Date: 2025-01-01 DOI:10.1177/20406223251344763
Elizabeth M McCormick, James T Peterson, Joaquim Diego D Santos, Jean Flickinger, Rui Xiao, Richard Haas, Zarazuela Zolkipli-Cunningham
{"title":"线粒体肌病对日常生活活动的深远影响:标准化结构化和半结构化患者访谈的观察性定性研究。","authors":"Elizabeth M McCormick, James T Peterson, Joaquim Diego D Santos, Jean Flickinger, Rui Xiao, Richard Haas, Zarazuela Zolkipli-Cunningham","doi":"10.1177/20406223251344763","DOIUrl":null,"url":null,"abstract":"<p><strong>Background: </strong>The impact of Mitochondrial Myopathy (MM) symptoms on functional ability across activities of daily living (ADLs) has not been fully characterized, nor is it understood how MM patients define their key symptoms. Furthermore, it is unclear what MM individuals perceive as a clinically meaningful improvement.</p><p><strong>Objective: </strong>We sought to characterize how MM patients feel about their symptoms in the key MM domains of muscle weakness, muscle fatigue, exercise intolerance, imbalance, and peripheral neuropathy; as well as their functional ability.</p><p><strong>Design: </strong>We conducted a single-center, observational, qualitative study that involved standardized structured and semi-structured patient interviews.</p><p><strong>Methods: </strong>Most interview questions were open-ended, allowing individuals to provide personalized narratives that were transcribed in real time. A total of 33 individuals with MM were interviewed either in-person or remotely. Interview transcripts underwent thematic analysis in accordance with grounded theory. Data was presented using a mixed-methods approach.</p><p><strong>Results: </strong>Subjects provided extensive narratives that demonstrated the substantial and widespread impact of MM across many aspects of MM patient lives, including the impact of each MM domain of muscle weakness, muscle fatigue, exercise intolerance, imbalance, and peripheral neuropathy on ADLs; the need to adapt to preserve independence and quality of life (QOL); impaired self-perception, participation in social activities, hobbies, and relationships; and change in circumstances over time.</p><p><strong>Conclusion: </strong>These meaningful insights highlight the critical and emergent need for approved drug treatment(s) in this profoundly burdened patient population. Our results will serve as a comprehensive resource to inform the physician, patient, industry and advocacy communities on outcome measure selection and clinical trial design; and to help inform regulatory agencies in the United States Food and Drug Administration (FDA) drug approval process for MM.</p>","PeriodicalId":22960,"journal":{"name":"Therapeutic Advances in Chronic Disease","volume":"16 ","pages":"20406223251344763"},"PeriodicalIF":2.8000,"publicationDate":"2025-07-25","publicationTypes":"Journal Article","fieldsOfStudy":null,"isOpenAccess":false,"openAccessPdf":"https://www.ncbi.nlm.nih.gov/pmc/articles/PMC12304646/pdf/","citationCount":"0","resultStr":"{\"title\":\"The profound implications of mitochondrial myopathy on activities of daily living: an observational qualitative study of standardized structured and semi-structured patient interviews.\",\"authors\":\"Elizabeth M McCormick, James T Peterson, Joaquim Diego D Santos, Jean Flickinger, Rui Xiao, Richard Haas, Zarazuela Zolkipli-Cunningham\",\"doi\":\"10.1177/20406223251344763\",\"DOIUrl\":null,\"url\":null,\"abstract\":\"<p><strong>Background: </strong>The impact of Mitochondrial Myopathy (MM) symptoms on functional ability across activities of daily living (ADLs) has not been fully characterized, nor is it understood how MM patients define their key symptoms. Furthermore, it is unclear what MM individuals perceive as a clinically meaningful improvement.</p><p><strong>Objective: </strong>We sought to characterize how MM patients feel about their symptoms in the key MM domains of muscle weakness, muscle fatigue, exercise intolerance, imbalance, and peripheral neuropathy; as well as their functional ability.</p><p><strong>Design: </strong>We conducted a single-center, observational, qualitative study that involved standardized structured and semi-structured patient interviews.</p><p><strong>Methods: </strong>Most interview questions were open-ended, allowing individuals to provide personalized narratives that were transcribed in real time. A total of 33 individuals with MM were interviewed either in-person or remotely. Interview transcripts underwent thematic analysis in accordance with grounded theory. Data was presented using a mixed-methods approach.</p><p><strong>Results: </strong>Subjects provided extensive narratives that demonstrated the substantial and widespread impact of MM across many aspects of MM patient lives, including the impact of each MM domain of muscle weakness, muscle fatigue, exercise intolerance, imbalance, and peripheral neuropathy on ADLs; the need to adapt to preserve independence and quality of life (QOL); impaired self-perception, participation in social activities, hobbies, and relationships; and change in circumstances over time.</p><p><strong>Conclusion: </strong>These meaningful insights highlight the critical and emergent need for approved drug treatment(s) in this profoundly burdened patient population. Our results will serve as a comprehensive resource to inform the physician, patient, industry and advocacy communities on outcome measure selection and clinical trial design; and to help inform regulatory agencies in the United States Food and Drug Administration (FDA) drug approval process for MM.</p>\",\"PeriodicalId\":22960,\"journal\":{\"name\":\"Therapeutic Advances in Chronic Disease\",\"volume\":\"16 \",\"pages\":\"20406223251344763\"},\"PeriodicalIF\":2.8000,\"publicationDate\":\"2025-07-25\",\"publicationTypes\":\"Journal Article\",\"fieldsOfStudy\":null,\"isOpenAccess\":false,\"openAccessPdf\":\"https://www.ncbi.nlm.nih.gov/pmc/articles/PMC12304646/pdf/\",\"citationCount\":\"0\",\"resultStr\":null,\"platform\":\"Semanticscholar\",\"paperid\":null,\"PeriodicalName\":\"Therapeutic Advances in Chronic Disease\",\"FirstCategoryId\":\"3\",\"ListUrlMain\":\"https://doi.org/10.1177/20406223251344763\",\"RegionNum\":3,\"RegionCategory\":\"医学\",\"ArticlePicture\":[],\"TitleCN\":null,\"AbstractTextCN\":null,\"PMCID\":null,\"EPubDate\":\"2025/1/1 0:00:00\",\"PubModel\":\"eCollection\",\"JCR\":\"Q2\",\"JCRName\":\"PHARMACOLOGY & PHARMACY\",\"Score\":null,\"Total\":0}","platform":"Semanticscholar","paperid":null,"PeriodicalName":"Therapeutic Advances in Chronic Disease","FirstCategoryId":"3","ListUrlMain":"https://doi.org/10.1177/20406223251344763","RegionNum":3,"RegionCategory":"医学","ArticlePicture":[],"TitleCN":null,"AbstractTextCN":null,"PMCID":null,"EPubDate":"2025/1/1 0:00:00","PubModel":"eCollection","JCR":"Q2","JCRName":"PHARMACOLOGY & PHARMACY","Score":null,"Total":0}
引用次数: 0

摘要

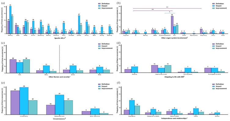
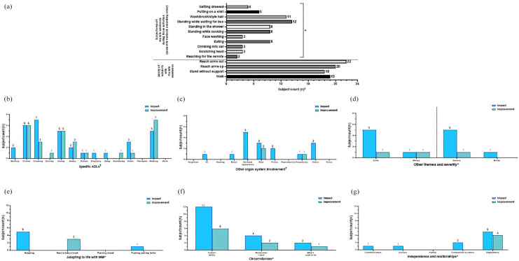
背景:线粒体肌病(MM)症状对日常生活活动(ADLs)功能能力的影响尚未完全表征,也不清楚MM患者如何定义其关键症状。此外,尚不清楚MM个体认为什么是临床有意义的改善。目的:我们试图描述MM患者在肌肉无力、肌肉疲劳、运动不耐受、失衡和周围神经病变等关键MM领域的症状;以及他们的功能能力。设计:我们进行了一项单中心、观察性、定性研究,包括标准化的结构化和半结构化患者访谈。方法:大多数采访问题是开放式的,允许个人提供实时转录的个性化叙述。共对33名MM患者进行了面对面或远程访谈。根据扎根理论对访谈笔录进行专题分析。数据采用混合方法呈现。结果:受试者提供了大量的叙述,证明MM在MM患者生活的许多方面具有实质性和广泛的影响,包括肌肉无力、肌肉疲劳、运动不耐受、不平衡和周围神经病变对ADLs的影响;适应以保持独立性和生活质量的需要;自我认知、社会活动、爱好和人际关系受损;随着时间的推移,环境也会发生变化。结论:这些有意义的见解强调了在这一负担沉重的患者群体中批准药物治疗的关键和迫切需求。我们的结果将作为一个综合资源,告知医生、患者、行业和倡导团体结局测量选择和临床试验设计;并帮助向美国食品和药物管理局(FDA)的监管机构通报MM的药物批准程序。
本文章由计算机程序翻译,如有差异,请以英文原文为准。

The profound implications of mitochondrial myopathy on activities of daily living: an observational qualitative study of standardized structured and semi-structured patient interviews.

The profound implications of mitochondrial myopathy on activities of daily living: an observational qualitative study of standardized structured and semi-structured patient interviews.

The profound implications of mitochondrial myopathy on activities of daily living: an observational qualitative study of standardized structured and semi-structured patient interviews.

The profound implications of mitochondrial myopathy on activities of daily living: an observational qualitative study of standardized structured and semi-structured patient interviews.

Background: The impact of Mitochondrial Myopathy (MM) symptoms on functional ability across activities of daily living (ADLs) has not been fully characterized, nor is it understood how MM patients define their key symptoms. Furthermore, it is unclear what MM individuals perceive as a clinically meaningful improvement.

Objective: We sought to characterize how MM patients feel about their symptoms in the key MM domains of muscle weakness, muscle fatigue, exercise intolerance, imbalance, and peripheral neuropathy; as well as their functional ability.

Design: We conducted a single-center, observational, qualitative study that involved standardized structured and semi-structured patient interviews.

Methods: Most interview questions were open-ended, allowing individuals to provide personalized narratives that were transcribed in real time. A total of 33 individuals with MM were interviewed either in-person or remotely. Interview transcripts underwent thematic analysis in accordance with grounded theory. Data was presented using a mixed-methods approach.

Results: Subjects provided extensive narratives that demonstrated the substantial and widespread impact of MM across many aspects of MM patient lives, including the impact of each MM domain of muscle weakness, muscle fatigue, exercise intolerance, imbalance, and peripheral neuropathy on ADLs; the need to adapt to preserve independence and quality of life (QOL); impaired self-perception, participation in social activities, hobbies, and relationships; and change in circumstances over time.

Conclusion: These meaningful insights highlight the critical and emergent need for approved drug treatment(s) in this profoundly burdened patient population. Our results will serve as a comprehensive resource to inform the physician, patient, industry and advocacy communities on outcome measure selection and clinical trial design; and to help inform regulatory agencies in the United States Food and Drug Administration (FDA) drug approval process for MM.

求助全文
通过发布文献求助,成功后即可免费获取论文全文。 去求助
来源期刊
Therapeutic Advances in Chronic Disease
Therapeutic Advances in Chronic Disease Medicine-Medicine (miscellaneous)
CiteScore
6.20
自引率
0.00%
发文量
108
审稿时长
12 weeks
期刊介绍: Therapeutic Advances in Chronic Disease publishes the highest quality peer-reviewed research, reviews and scholarly comment in the drug treatment of all chronic diseases. The journal has a strong clinical and pharmacological focus and is aimed at clinicians and researchers involved in the medical treatment of chronic disease, providing a forum in print and online for publishing the highest quality articles in this area.
×
引用
GB/T 7714-2015
复制
MLA
复制
APA
复制
导出至
BibTeX EndNote RefMan NoteFirst NoteExpress
×
提示
您的信息不完整,为了账户安全,请先补充。
现在去补充
×
提示
您因"违规操作"
具体请查看互助需知
我知道了
×
提示
确定
请完成安全验证×
copy
已复制链接
快去分享给好友吧!
我知道了
右上角分享
点击右上角分享
0
联系我们:info@booksci.cn Book学术提供免费学术资源搜索服务,方便国内外学者检索中英文文献。致力于提供最便捷和优质的服务体验。 Copyright © 2023 布克学术 All rights reserved.
京ICP备2023020795号-1
ghs 京公网安备 11010802042870号
Book学术文献互助
Book学术文献互助群
群 号:604180095
Book学术官方微信