PRKCD中的错义变异:阐明其与乳腺癌的潜在关联。

IF 5.6 1区 医学 Q1 Medicine
Sameen Zafar, Yasmin Badshah, Maria Shabbir, Uzma Mussarat, Asma Latif, Janeen H Trembley, Tayyaba Afsar, Fohad Mabood Husain, Suhail Razak
{"title":"PRKCD中的错义变异:阐明其与乳腺癌的潜在关联。","authors":"Sameen Zafar, Yasmin Badshah, Maria Shabbir, Uzma Mussarat, Asma Latif, Janeen H Trembley, Tayyaba Afsar, Fohad Mabood Husain, Suhail Razak","doi":"10.1186/s13058-025-02090-x","DOIUrl":null,"url":null,"abstract":"<p><strong>Background: </strong>Missense single-nucleotide polymorphisms (SNPs) in various genetic pathways can lead to the development of breast cancer. Protein kinase C delta (PRKCD) is involved in various important cellular pathways, and its altered expression has been identified in different cancers. Genetic alteration in this gene can be involved in cancer onset and progression. To date, there are no studies performed to elucidate the role of PRKCD missense variants in the development of breast cancer. Therefore, this study aims to identify the association of pathogenic missense SNPs in PRKCD with breast cancer.</p><p><strong>Methods: </strong>The missense variants of PRKCD were retrieved from the Ensembl and dbSNP databases. Missense variants were analysed through various computational tools, and four variants of PRKCD rs1703806197 (T/C), rs782555227 (G/A), rs1703449438 (T/C), and rs1575535582 (T/G) were selected from the data. The genotype analysis for these variants was performed for 360 breast cancer patients and 363 healthy controls. Statistical association of variants with breast cancer clinical features was determined through chi-square/Fisher's exact test with a significant P value ≤ 0.05 using GraphPad Prism 8.0 software.</p><p><strong>Results: </strong>Genotype analysis of PRKCD variants showed that missense SNPs rs782555227 (G/A), rs1703449438 (T/C), and rs1575535582 (T/G) were associated with breast cancer (P value < 0.05). Furthermore, genotypes in these SNPs were also found to be associated with various clinical features of breast cancer patients. Genotypes AG, TC, and TT in variants rs782555227, rs1703449438, and rs1575535582, respectively, were associated with breast cancer metastasis. While genotype AG of variant rs782555227 was also found to be associated with menopausal status and hereditary breast cancer. Moreover, genotype TT in variant rs1575535582 was associated with BRCA1 positive status among the breast cancer patients.</p><p><strong>Conclusion: </strong>The present study identified for the first time the association of specific PRKCD missense variants with breast cancer. These variants could be developed into possible genetic markers for the diagnosis of breast cancer at an early stage; however, further validation studies with a multiethnic large cohort size are required. Furthermore, functional studies of these variants will also aid in attaining insight into the molecular mechanisms through which these missense variants are involved in breast cancer.</p>","PeriodicalId":49227,"journal":{"name":"Breast Cancer Research","volume":"27 1","pages":"139"},"PeriodicalIF":5.6000,"publicationDate":"2025-07-28","publicationTypes":"Journal Article","fieldsOfStudy":null,"isOpenAccess":false,"openAccessPdf":"https://www.ncbi.nlm.nih.gov/pmc/articles/PMC12305980/pdf/","citationCount":"0","resultStr":"{\"title\":\"Missense variants in PRKCD: elucidating their potential association with breast cancer.\",\"authors\":\"Sameen Zafar, Yasmin Badshah, Maria Shabbir, Uzma Mussarat, Asma Latif, Janeen H Trembley, Tayyaba Afsar, Fohad Mabood Husain, Suhail Razak\",\"doi\":\"10.1186/s13058-025-02090-x\",\"DOIUrl\":null,\"url\":null,\"abstract\":\"<p><strong>Background: </strong>Missense single-nucleotide polymorphisms (SNPs) in various genetic pathways can lead to the development of breast cancer. Protein kinase C delta (PRKCD) is involved in various important cellular pathways, and its altered expression has been identified in different cancers. Genetic alteration in this gene can be involved in cancer onset and progression. To date, there are no studies performed to elucidate the role of PRKCD missense variants in the development of breast cancer. Therefore, this study aims to identify the association of pathogenic missense SNPs in PRKCD with breast cancer.</p><p><strong>Methods: </strong>The missense variants of PRKCD were retrieved from the Ensembl and dbSNP databases. Missense variants were analysed through various computational tools, and four variants of PRKCD rs1703806197 (T/C), rs782555227 (G/A), rs1703449438 (T/C), and rs1575535582 (T/G) were selected from the data. The genotype analysis for these variants was performed for 360 breast cancer patients and 363 healthy controls. Statistical association of variants with breast cancer clinical features was determined through chi-square/Fisher's exact test with a significant P value ≤ 0.05 using GraphPad Prism 8.0 software.</p><p><strong>Results: </strong>Genotype analysis of PRKCD variants showed that missense SNPs rs782555227 (G/A), rs1703449438 (T/C), and rs1575535582 (T/G) were associated with breast cancer (P value < 0.05). Furthermore, genotypes in these SNPs were also found to be associated with various clinical features of breast cancer patients. Genotypes AG, TC, and TT in variants rs782555227, rs1703449438, and rs1575535582, respectively, were associated with breast cancer metastasis. While genotype AG of variant rs782555227 was also found to be associated with menopausal status and hereditary breast cancer. Moreover, genotype TT in variant rs1575535582 was associated with BRCA1 positive status among the breast cancer patients.</p><p><strong>Conclusion: </strong>The present study identified for the first time the association of specific PRKCD missense variants with breast cancer. These variants could be developed into possible genetic markers for the diagnosis of breast cancer at an early stage; however, further validation studies with a multiethnic large cohort size are required. Furthermore, functional studies of these variants will also aid in attaining insight into the molecular mechanisms through which these missense variants are involved in breast cancer.</p>\",\"PeriodicalId\":49227,\"journal\":{\"name\":\"Breast Cancer Research\",\"volume\":\"27 1\",\"pages\":\"139\"},\"PeriodicalIF\":5.6000,\"publicationDate\":\"2025-07-28\",\"publicationTypes\":\"Journal Article\",\"fieldsOfStudy\":null,\"isOpenAccess\":false,\"openAccessPdf\":\"https://www.ncbi.nlm.nih.gov/pmc/articles/PMC12305980/pdf/\",\"citationCount\":\"0\",\"resultStr\":null,\"platform\":\"Semanticscholar\",\"paperid\":null,\"PeriodicalName\":\"Breast Cancer Research\",\"FirstCategoryId\":\"3\",\"ListUrlMain\":\"https://doi.org/10.1186/s13058-025-02090-x\",\"RegionNum\":1,\"RegionCategory\":\"医学\",\"ArticlePicture\":[],\"TitleCN\":null,\"AbstractTextCN\":null,\"PMCID\":null,\"EPubDate\":\"\",\"PubModel\":\"\",\"JCR\":\"Q1\",\"JCRName\":\"Medicine\",\"Score\":null,\"Total\":0}","platform":"Semanticscholar","paperid":null,"PeriodicalName":"Breast Cancer Research","FirstCategoryId":"3","ListUrlMain":"https://doi.org/10.1186/s13058-025-02090-x","RegionNum":1,"RegionCategory":"医学","ArticlePicture":[],"TitleCN":null,"AbstractTextCN":null,"PMCID":null,"EPubDate":"","PubModel":"","JCR":"Q1","JCRName":"Medicine","Score":null,"Total":0}
引用次数: 0

摘要

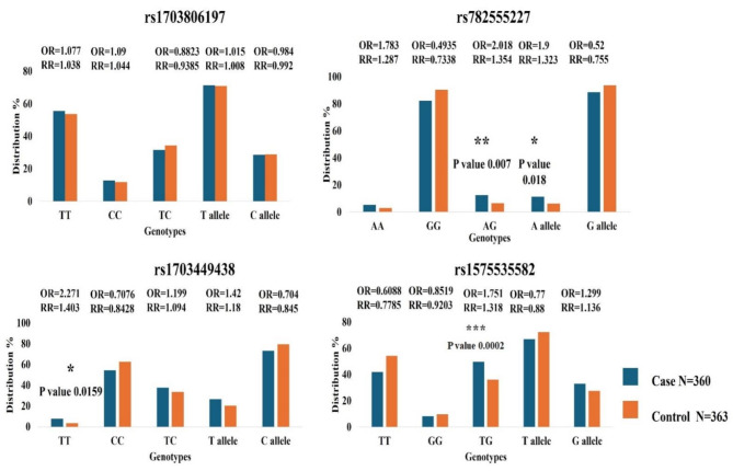
背景:多种遗传途径中的错义单核苷酸多态性(SNPs)可导致乳腺癌的发展。蛋白激酶C δ (PRKCD)参与多种重要的细胞通路,其表达改变已在不同的癌症中被发现。该基因的遗传改变可能与癌症的发生和发展有关。迄今为止,还没有研究阐明PRKCD错义变异体在乳腺癌发展中的作用。因此,本研究旨在确定PRKCD中致病性错义snp与乳腺癌的关系。方法:从Ensembl和dbSNP数据库中检索PRKCD错义变异体。通过各种计算工具分析错配变异,从数据中选择4个PRKCD变异rs1703806197 (T/C)、rs782555227 (G/A)、rs1703449438 (T/C)和rs1575535582 (T/G)。对360名乳腺癌患者和363名健康对照者进行了这些变异的基因型分析。使用GraphPad Prism 8.0软件,通过卡方/Fisher精确检验确定变异与乳腺癌临床特征的统计学相关性,P值显著≤0.05。结果:PRKCD变异的基因型分析显示,错配snp rs782555227 (G/A)、rs1703449438 (T/C)和rs1575535582 (T/G)与乳腺癌相关(P值)。结论:本研究首次发现PRKCD特异性错配变异与乳腺癌相关。这些变异可以发展成为早期诊断乳腺癌的可能的遗传标记;然而,需要进一步的多民族大队列验证研究。此外,对这些变异的功能研究也将有助于深入了解这些错义变异参与乳腺癌的分子机制。
本文章由计算机程序翻译,如有差异,请以英文原文为准。

Missense variants in PRKCD: elucidating their potential association with breast cancer.

Missense variants in PRKCD: elucidating their potential association with breast cancer.

Missense variants in PRKCD: elucidating their potential association with breast cancer.

Missense variants in PRKCD: elucidating their potential association with breast cancer.

Background: Missense single-nucleotide polymorphisms (SNPs) in various genetic pathways can lead to the development of breast cancer. Protein kinase C delta (PRKCD) is involved in various important cellular pathways, and its altered expression has been identified in different cancers. Genetic alteration in this gene can be involved in cancer onset and progression. To date, there are no studies performed to elucidate the role of PRKCD missense variants in the development of breast cancer. Therefore, this study aims to identify the association of pathogenic missense SNPs in PRKCD with breast cancer.

Methods: The missense variants of PRKCD were retrieved from the Ensembl and dbSNP databases. Missense variants were analysed through various computational tools, and four variants of PRKCD rs1703806197 (T/C), rs782555227 (G/A), rs1703449438 (T/C), and rs1575535582 (T/G) were selected from the data. The genotype analysis for these variants was performed for 360 breast cancer patients and 363 healthy controls. Statistical association of variants with breast cancer clinical features was determined through chi-square/Fisher's exact test with a significant P value ≤ 0.05 using GraphPad Prism 8.0 software.

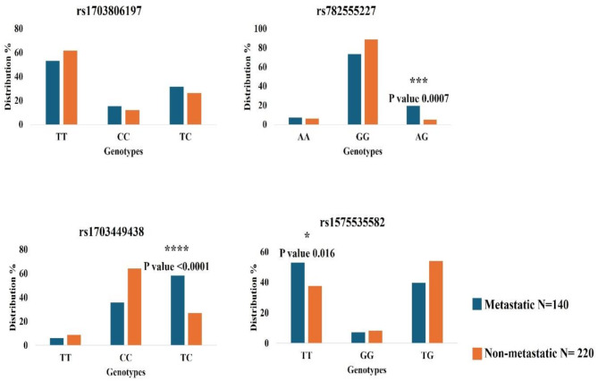
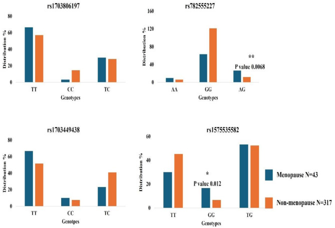
Results: Genotype analysis of PRKCD variants showed that missense SNPs rs782555227 (G/A), rs1703449438 (T/C), and rs1575535582 (T/G) were associated with breast cancer (P value < 0.05). Furthermore, genotypes in these SNPs were also found to be associated with various clinical features of breast cancer patients. Genotypes AG, TC, and TT in variants rs782555227, rs1703449438, and rs1575535582, respectively, were associated with breast cancer metastasis. While genotype AG of variant rs782555227 was also found to be associated with menopausal status and hereditary breast cancer. Moreover, genotype TT in variant rs1575535582 was associated with BRCA1 positive status among the breast cancer patients.

Conclusion: The present study identified for the first time the association of specific PRKCD missense variants with breast cancer. These variants could be developed into possible genetic markers for the diagnosis of breast cancer at an early stage; however, further validation studies with a multiethnic large cohort size are required. Furthermore, functional studies of these variants will also aid in attaining insight into the molecular mechanisms through which these missense variants are involved in breast cancer.

求助全文
通过发布文献求助,成功后即可免费获取论文全文。 去求助
来源期刊
CiteScore
12.00
自引率
0.00%
发文量
76
审稿时长
12 weeks
期刊介绍: Breast Cancer Research, an international, peer-reviewed online journal, publishes original research, reviews, editorials, and reports. It features open-access research articles of exceptional interest across all areas of biology and medicine relevant to breast cancer. This includes normal mammary gland biology, with a special emphasis on the genetic, biochemical, and cellular basis of breast cancer. In addition to basic research, the journal covers preclinical, translational, and clinical studies with a biological basis, including Phase I and Phase II trials.
×
引用
GB/T 7714-2015
复制
MLA
复制
APA
复制
导出至
BibTeX EndNote RefMan NoteFirst NoteExpress
×
提示
您的信息不完整,为了账户安全,请先补充。
现在去补充
×
提示
您因"违规操作"
具体请查看互助需知
我知道了
×
提示
确定
请完成安全验证×
copy
已复制链接
快去分享给好友吧!
我知道了
右上角分享
点击右上角分享
0
联系我们:info@booksci.cn Book学术提供免费学术资源搜索服务,方便国内外学者检索中英文文献。致力于提供最便捷和优质的服务体验。 Copyright © 2023 布克学术 All rights reserved.
京ICP备2023020795号-1
ghs 京公网安备 11010802042870号
Book学术文献互助
Book学术文献互助群
群 号:604180095
Book学术官方微信