足月、大婴儿计划生育的最佳时机和模式:一项回顾性、基于人群的队列研究。

IF 10 1区 医学 Q1 MEDICINE, GENERAL & INTERNAL
EClinicalMedicine Pub Date : 2025-07-17 eCollection Date: 2025-08-01 DOI:10.1016/j.eclinm.2025.103366
Georgia Anne Santomartino, Kylie Crawford, Jesrine Hong, Sailesh Kumar
{"title":"足月、大婴儿计划生育的最佳时机和模式:一项回顾性、基于人群的队列研究。","authors":"Georgia Anne Santomartino, Kylie Crawford, Jesrine Hong, Sailesh Kumar","doi":"10.1016/j.eclinm.2025.103366","DOIUrl":null,"url":null,"abstract":"<p><strong>Background: </strong>Large infants (birthweight > 75th centile) are at increased risk of mortality, severe neonatal neurological and non-neurological morbidity. We aimed to ascertain the optimal method and gestation of planned birth (scheduled caesarean section or induction of labor) that were associated with lower odds of adverse outcomes.</p><p><strong>Methods: </strong>This was a retrospective cohort study of term singleton births with birthweight >75th centile between January 2000 and December 2021 in Queensland, Australia. Primary outcomes were severe adverse maternal outcome, perinatal mortality (intrapartum stillbirth or neonatal death), severe neonatal neurological morbidity, and other severe neonatal morbidity. Multivariable logistic regression models were built to determine odds ratios (OR) for the effect of timing of both methods of planned birth on adverse outcomes. Induction of labor at 38<sup>+0</sup>-38<sup>+6</sup> weeks was the referent category because many international guidelines recommend this as the optimum timing of birth.</p><p><strong>Findings: </strong>There were 151,464 planned births for large infants. 86,515 (57.1%) were induction of labor while 64,949 (42.9%) were scheduled caesarean section. Compared to induction of labor at 38<sup>+0</sup>-38<sup>+6</sup> weeks, induction at ≥41<sup>+0</sup> weeks (aOR 1.28, 95% CI 1.21, 1.35) and scheduled caesarean section at 37<sup>+0</sup>-37<sup>+6</sup> weeks (aOR 1.18, 95% CI 1.08, 1.28) were associated with greater odds of severe adverse maternal outcome, whilst scheduled caesarean section at 39<sup>+0</sup>-39<sup>+6</sup> weeks (aOR 0.75, 95% CI 0.70, 0.80) was associated with lower odds of this outcome. The odds of severe neonatal neurological morbidity were lower following induction at 40<sup>+0</sup>-40<sup>+6</sup> weeks (aOR 0.72, 95% CI 0.59, 0.89) or scheduled caesarean section at 37<sup>+0</sup>-37<sup>+6</sup> weeks (aOR 0.59, 95% CI 0.43, 0.81), 39<sup>+0</sup>-39<sup>+6</sup> weeks (aOR 0.26, 95% CI 0.2, 0.33), and ≥41<sup>+0</sup> weeks (aOR 0.31, 95% CI 0.13, 0.75) respectively. For other severe neonatal morbidity, the odds were highest after induction of labor at 37<sup>+0</sup>-37<sup>+6</sup> weeks (aOR 1.35, 95% CI 1.24, 1.46), and lowest following scheduled caesarean section at 40<sup>+0</sup>-40<sup>+6</sup> weeks (aOR 0.31, 95% CI 0.26, 0.36). There were no significant differences in perinatal mortality based on method of planned birth or gestational age.</p><p><strong>Interpretation: </strong>In our cohort, scheduled caesarean section between 39<sup>+0</sup>-39<sup>+6</sup> weeks for large infants at birth was associated with lower odds of severe adverse maternal outcomes, severe neonatal neurological morbidity, and other severe neonatal morbidity compared to induction of labor at 38<sup>+0</sup>-38<sup>+6</sup> weeks. For women that underwent induction of labor, the odds of emergency caesarean section were lowest at 39<sup>+0</sup>-39<sup>+6</sup> weeks. Infants with birthweight >97th centile for gestational age had the highest risk of adverse outcomes regardless of gestation or method of planned birth.</p><p><strong>Funding: </strong>National Health and Medical Research Council and Mater Foundation.</p>","PeriodicalId":11393,"journal":{"name":"EClinicalMedicine","volume":"86 ","pages":"103366"},"PeriodicalIF":10.0000,"publicationDate":"2025-07-17","publicationTypes":"Journal Article","fieldsOfStudy":null,"isOpenAccess":false,"openAccessPdf":"https://www.ncbi.nlm.nih.gov/pmc/articles/PMC12302999/pdf/","citationCount":"0","resultStr":"{\"title\":\"Optimal timing and mode of planned birth for term, large infants: a retrospective, population-based cohort study.\",\"authors\":\"Georgia Anne Santomartino, Kylie Crawford, Jesrine Hong, Sailesh Kumar\",\"doi\":\"10.1016/j.eclinm.2025.103366\",\"DOIUrl\":null,\"url\":null,\"abstract\":\"<p><strong>Background: </strong>Large infants (birthweight > 75th centile) are at increased risk of mortality, severe neonatal neurological and non-neurological morbidity. We aimed to ascertain the optimal method and gestation of planned birth (scheduled caesarean section or induction of labor) that were associated with lower odds of adverse outcomes.</p><p><strong>Methods: </strong>This was a retrospective cohort study of term singleton births with birthweight >75th centile between January 2000 and December 2021 in Queensland, Australia. Primary outcomes were severe adverse maternal outcome, perinatal mortality (intrapartum stillbirth or neonatal death), severe neonatal neurological morbidity, and other severe neonatal morbidity. Multivariable logistic regression models were built to determine odds ratios (OR) for the effect of timing of both methods of planned birth on adverse outcomes. Induction of labor at 38<sup>+0</sup>-38<sup>+6</sup> weeks was the referent category because many international guidelines recommend this as the optimum timing of birth.</p><p><strong>Findings: </strong>There were 151,464 planned births for large infants. 86,515 (57.1%) were induction of labor while 64,949 (42.9%) were scheduled caesarean section. Compared to induction of labor at 38<sup>+0</sup>-38<sup>+6</sup> weeks, induction at ≥41<sup>+0</sup> weeks (aOR 1.28, 95% CI 1.21, 1.35) and scheduled caesarean section at 37<sup>+0</sup>-37<sup>+6</sup> weeks (aOR 1.18, 95% CI 1.08, 1.28) were associated with greater odds of severe adverse maternal outcome, whilst scheduled caesarean section at 39<sup>+0</sup>-39<sup>+6</sup> weeks (aOR 0.75, 95% CI 0.70, 0.80) was associated with lower odds of this outcome. The odds of severe neonatal neurological morbidity were lower following induction at 40<sup>+0</sup>-40<sup>+6</sup> weeks (aOR 0.72, 95% CI 0.59, 0.89) or scheduled caesarean section at 37<sup>+0</sup>-37<sup>+6</sup> weeks (aOR 0.59, 95% CI 0.43, 0.81), 39<sup>+0</sup>-39<sup>+6</sup> weeks (aOR 0.26, 95% CI 0.2, 0.33), and ≥41<sup>+0</sup> weeks (aOR 0.31, 95% CI 0.13, 0.75) respectively. For other severe neonatal morbidity, the odds were highest after induction of labor at 37<sup>+0</sup>-37<sup>+6</sup> weeks (aOR 1.35, 95% CI 1.24, 1.46), and lowest following scheduled caesarean section at 40<sup>+0</sup>-40<sup>+6</sup> weeks (aOR 0.31, 95% CI 0.26, 0.36). There were no significant differences in perinatal mortality based on method of planned birth or gestational age.</p><p><strong>Interpretation: </strong>In our cohort, scheduled caesarean section between 39<sup>+0</sup>-39<sup>+6</sup> weeks for large infants at birth was associated with lower odds of severe adverse maternal outcomes, severe neonatal neurological morbidity, and other severe neonatal morbidity compared to induction of labor at 38<sup>+0</sup>-38<sup>+6</sup> weeks. For women that underwent induction of labor, the odds of emergency caesarean section were lowest at 39<sup>+0</sup>-39<sup>+6</sup> weeks. Infants with birthweight >97th centile for gestational age had the highest risk of adverse outcomes regardless of gestation or method of planned birth.</p><p><strong>Funding: </strong>National Health and Medical Research Council and Mater Foundation.</p>\",\"PeriodicalId\":11393,\"journal\":{\"name\":\"EClinicalMedicine\",\"volume\":\"86 \",\"pages\":\"103366\"},\"PeriodicalIF\":10.0000,\"publicationDate\":\"2025-07-17\",\"publicationTypes\":\"Journal Article\",\"fieldsOfStudy\":null,\"isOpenAccess\":false,\"openAccessPdf\":\"https://www.ncbi.nlm.nih.gov/pmc/articles/PMC12302999/pdf/\",\"citationCount\":\"0\",\"resultStr\":null,\"platform\":\"Semanticscholar\",\"paperid\":null,\"PeriodicalName\":\"EClinicalMedicine\",\"FirstCategoryId\":\"3\",\"ListUrlMain\":\"https://doi.org/10.1016/j.eclinm.2025.103366\",\"RegionNum\":1,\"RegionCategory\":\"医学\",\"ArticlePicture\":[],\"TitleCN\":null,\"AbstractTextCN\":null,\"PMCID\":null,\"EPubDate\":\"2025/8/1 0:00:00\",\"PubModel\":\"eCollection\",\"JCR\":\"Q1\",\"JCRName\":\"MEDICINE, GENERAL & INTERNAL\",\"Score\":null,\"Total\":0}","platform":"Semanticscholar","paperid":null,"PeriodicalName":"EClinicalMedicine","FirstCategoryId":"3","ListUrlMain":"https://doi.org/10.1016/j.eclinm.2025.103366","RegionNum":1,"RegionCategory":"医学","ArticlePicture":[],"TitleCN":null,"AbstractTextCN":null,"PMCID":null,"EPubDate":"2025/8/1 0:00:00","PubModel":"eCollection","JCR":"Q1","JCRName":"MEDICINE, GENERAL & INTERNAL","Score":null,"Total":0}
引用次数: 0

摘要

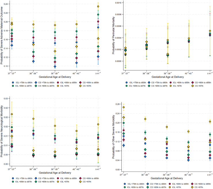
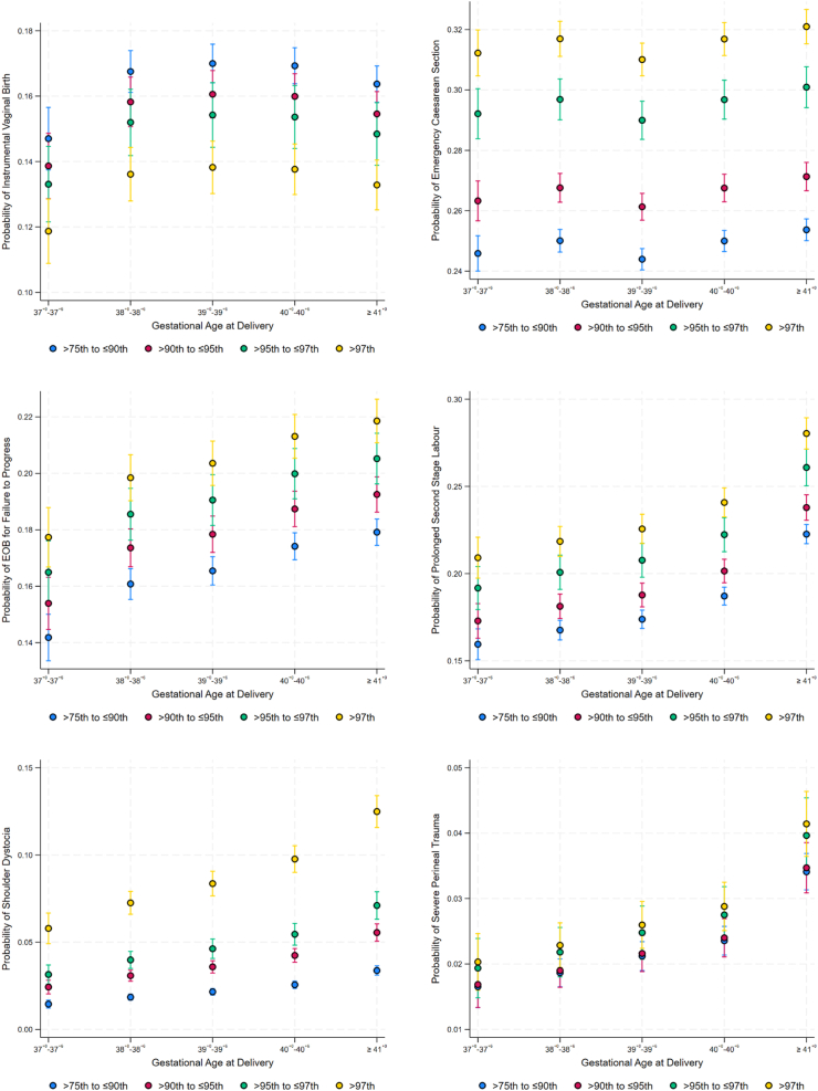
背景:大婴儿(出生体重bbb75百分位)的死亡率、严重新生儿神经系统和非神经系统疾病的风险增加。我们的目的是确定与不良后果发生率较低相关的计划生育(计划剖腹产或引产)的最佳方法和妊娠期。方法:这是一项回顾性队列研究,研究对象为2000年1月至2021年12月澳大利亚昆士兰州出生体重为75百分位的足月单胎新生儿。主要结局是严重的不良产妇结局、围产期死亡率(产时死产或新生儿死亡)、严重的新生儿神经系统发病率和其他严重的新生儿发病率。建立多变量logistic回归模型,以确定两种计划生育方法的时间对不良结局的影响的优势比(OR)。引产在38+0-38+6周是参考类别,因为许多国际指南建议这是最佳的分娩时间。结果:大婴儿计划生育151464例。引产86515例(57.1%),剖宫产64949例(42.9%)。与38+0-38+6周的引产相比,≥41+0周的引产(aOR 1.28, 95% CI 1.21, 1.35)和37+0-37+6周的计划剖宫产(aOR 1.18, 95% CI 1.08, 1.28)与严重不良产妇结局的发生率较高相关,而39+0-39+6周的计划剖宫产(aOR 0.75, 95% CI 0.70, 0.80)与该结局的发生率较低相关。在40+0-40+6周(aOR 0.72, 95% CI 0.59, 0.89)或37+0-37+6周(aOR 0.59, 95% CI 0.43, 0.81)、39+0-39+6周(aOR 0.26, 95% CI 0.2, 0.33)和≥41+0周(aOR 0.31, 95% CI 0.13, 0.75)诱导分娩后,新生儿发生严重神经系统疾病的几率较低。对于其他严重的新生儿发病率,37+0-37+6周引产后的发生率最高(aOR 1.35, 95% CI 1.24, 1.46), 40+0-40+6周剖宫产后的发生率最低(aOR 0.31, 95% CI 0.26, 0.36)。围产儿死亡率根据计划生育方式和胎龄没有显著差异。解释:在我们的队列中,与38+0-38+6周引产相比,39+0-39+6周的大婴儿计划剖腹产与严重不良产妇结局、严重新生儿神经系统疾病和其他严重新生儿疾病的发生率较低相关。对于接受引产的妇女,紧急剖腹产的几率在39+0-39+6周最低。无论妊娠或计划生育方式如何,出生体重为1.97百分位(胎龄)的婴儿发生不良后果的风险最高。资助:国家卫生和医学研究委员会和Mater基金会。
本文章由计算机程序翻译,如有差异,请以英文原文为准。

Optimal timing and mode of planned birth for term, large infants: a retrospective, population-based cohort study.

Optimal timing and mode of planned birth for term, large infants: a retrospective, population-based cohort study.

Optimal timing and mode of planned birth for term, large infants: a retrospective, population-based cohort study.

Optimal timing and mode of planned birth for term, large infants: a retrospective, population-based cohort study.

Background: Large infants (birthweight > 75th centile) are at increased risk of mortality, severe neonatal neurological and non-neurological morbidity. We aimed to ascertain the optimal method and gestation of planned birth (scheduled caesarean section or induction of labor) that were associated with lower odds of adverse outcomes.

Methods: This was a retrospective cohort study of term singleton births with birthweight >75th centile between January 2000 and December 2021 in Queensland, Australia. Primary outcomes were severe adverse maternal outcome, perinatal mortality (intrapartum stillbirth or neonatal death), severe neonatal neurological morbidity, and other severe neonatal morbidity. Multivariable logistic regression models were built to determine odds ratios (OR) for the effect of timing of both methods of planned birth on adverse outcomes. Induction of labor at 38+0-38+6 weeks was the referent category because many international guidelines recommend this as the optimum timing of birth.

Findings: There were 151,464 planned births for large infants. 86,515 (57.1%) were induction of labor while 64,949 (42.9%) were scheduled caesarean section. Compared to induction of labor at 38+0-38+6 weeks, induction at ≥41+0 weeks (aOR 1.28, 95% CI 1.21, 1.35) and scheduled caesarean section at 37+0-37+6 weeks (aOR 1.18, 95% CI 1.08, 1.28) were associated with greater odds of severe adverse maternal outcome, whilst scheduled caesarean section at 39+0-39+6 weeks (aOR 0.75, 95% CI 0.70, 0.80) was associated with lower odds of this outcome. The odds of severe neonatal neurological morbidity were lower following induction at 40+0-40+6 weeks (aOR 0.72, 95% CI 0.59, 0.89) or scheduled caesarean section at 37+0-37+6 weeks (aOR 0.59, 95% CI 0.43, 0.81), 39+0-39+6 weeks (aOR 0.26, 95% CI 0.2, 0.33), and ≥41+0 weeks (aOR 0.31, 95% CI 0.13, 0.75) respectively. For other severe neonatal morbidity, the odds were highest after induction of labor at 37+0-37+6 weeks (aOR 1.35, 95% CI 1.24, 1.46), and lowest following scheduled caesarean section at 40+0-40+6 weeks (aOR 0.31, 95% CI 0.26, 0.36). There were no significant differences in perinatal mortality based on method of planned birth or gestational age.

Interpretation: In our cohort, scheduled caesarean section between 39+0-39+6 weeks for large infants at birth was associated with lower odds of severe adverse maternal outcomes, severe neonatal neurological morbidity, and other severe neonatal morbidity compared to induction of labor at 38+0-38+6 weeks. For women that underwent induction of labor, the odds of emergency caesarean section were lowest at 39+0-39+6 weeks. Infants with birthweight >97th centile for gestational age had the highest risk of adverse outcomes regardless of gestation or method of planned birth.

Funding: National Health and Medical Research Council and Mater Foundation.

求助全文
通过发布文献求助,成功后即可免费获取论文全文。 去求助
来源期刊
EClinicalMedicine
EClinicalMedicine Medicine-Medicine (all)
CiteScore
18.90
自引率
1.30%
发文量
506
审稿时长
22 days
期刊介绍: eClinicalMedicine is a gold open-access clinical journal designed to support frontline health professionals in addressing the complex and rapid health transitions affecting societies globally. The journal aims to assist practitioners in overcoming healthcare challenges across diverse communities, spanning diagnosis, treatment, prevention, and health promotion. Integrating disciplines from various specialties and life stages, it seeks to enhance health systems as fundamental institutions within societies. With a forward-thinking approach, eClinicalMedicine aims to redefine the future of healthcare.
×
引用
GB/T 7714-2015
复制
MLA
复制
APA
复制
导出至
BibTeX EndNote RefMan NoteFirst NoteExpress
×
提示
您的信息不完整,为了账户安全,请先补充。
现在去补充
×
提示
您因"违规操作"
具体请查看互助需知
我知道了
×
提示
确定
请完成安全验证×
copy
已复制链接
快去分享给好友吧!
我知道了
右上角分享
点击右上角分享
0
联系我们:info@booksci.cn Book学术提供免费学术资源搜索服务,方便国内外学者检索中英文文献。致力于提供最便捷和优质的服务体验。 Copyright © 2023 布克学术 All rights reserved.
京ICP备2023020795号-1
ghs 京公网安备 11010802042870号
Book学术文献互助
Book学术文献互助群
群 号:604180095
Book学术官方微信