光调节疗法对迟发性肌肉酸痛的影响:系统回顾和荟萃分析。

IF 2.5 Q1 SPORT SCIENCES
Yung-An Tsou, Nai-Jen Chang, Wen-Dien Chang
{"title":"光调节疗法对迟发性肌肉酸痛的影响:系统回顾和荟萃分析。","authors":"Yung-An Tsou, Nai-Jen Chang, Wen-Dien Chang","doi":"10.3390/jfmk10030277","DOIUrl":null,"url":null,"abstract":"<p><p><b>Objectives:</b> This study aimed to evaluate the effects of photomodulation therapy (PMT) on delayed onset muscle soreness (DOMS). <b>Methods:</b> Controlled studies investigating PMT for DOMS were identified through systematic searches of PubMed and EMBASE databases. Selected articles were reviewed for the effects of PMT, and the outcome data were extracted according to specific assessments and time points for meta-analysis. <b>Results:</b> A total of 14 studies met the inclusion criteria, all of which evaluated the effects of PMT following the induction of DOMS. The wavelength of PMT ranged from 660 to 950 nm and was applied to one to six points on the affected muscles. Four studies provided sufficient data for quantitative synthesis, comparing PMT with the placebo in terms of visual analog scale (VAS) scores and muscle strength at 24, 48, 72, and 96 h after the induction of DOMS. The results demonstrated a statistically significant reduction in VAS scores at 72 h (pooled SMD = -0.55) and 96 h (pooled SMD = -0.56), indicating a moderate effect. Muscle strength showed significant improvement at 24 h (pooled SMD = 0.97) and 48 h (pooled SMD = 0.99), reflecting a large effect size. <b>Conclusions:</b> These findings suggested that PMT may be an effective intervention for managing DOMS, with potential effects on reducing pain, enhancing muscle strength, and decreasing biochemical markers of muscle damage.</p>","PeriodicalId":16052,"journal":{"name":"Journal of Functional Morphology and Kinesiology","volume":"10 3","pages":""},"PeriodicalIF":2.5000,"publicationDate":"2025-07-17","publicationTypes":"Journal Article","fieldsOfStudy":null,"isOpenAccess":false,"openAccessPdf":"https://www.ncbi.nlm.nih.gov/pmc/articles/PMC12286287/pdf/","citationCount":"0","resultStr":"{\"title\":\"Effects of Photomodulation Therapy for Delayed Onset Muscle Soreness: A Systematic Review and Meta-Analysis.\",\"authors\":\"Yung-An Tsou, Nai-Jen Chang, Wen-Dien Chang\",\"doi\":\"10.3390/jfmk10030277\",\"DOIUrl\":null,\"url\":null,\"abstract\":\"<p><p><b>Objectives:</b> This study aimed to evaluate the effects of photomodulation therapy (PMT) on delayed onset muscle soreness (DOMS). <b>Methods:</b> Controlled studies investigating PMT for DOMS were identified through systematic searches of PubMed and EMBASE databases. Selected articles were reviewed for the effects of PMT, and the outcome data were extracted according to specific assessments and time points for meta-analysis. <b>Results:</b> A total of 14 studies met the inclusion criteria, all of which evaluated the effects of PMT following the induction of DOMS. The wavelength of PMT ranged from 660 to 950 nm and was applied to one to six points on the affected muscles. Four studies provided sufficient data for quantitative synthesis, comparing PMT with the placebo in terms of visual analog scale (VAS) scores and muscle strength at 24, 48, 72, and 96 h after the induction of DOMS. The results demonstrated a statistically significant reduction in VAS scores at 72 h (pooled SMD = -0.55) and 96 h (pooled SMD = -0.56), indicating a moderate effect. Muscle strength showed significant improvement at 24 h (pooled SMD = 0.97) and 48 h (pooled SMD = 0.99), reflecting a large effect size. <b>Conclusions:</b> These findings suggested that PMT may be an effective intervention for managing DOMS, with potential effects on reducing pain, enhancing muscle strength, and decreasing biochemical markers of muscle damage.</p>\",\"PeriodicalId\":16052,\"journal\":{\"name\":\"Journal of Functional Morphology and Kinesiology\",\"volume\":\"10 3\",\"pages\":\"\"},\"PeriodicalIF\":2.5000,\"publicationDate\":\"2025-07-17\",\"publicationTypes\":\"Journal Article\",\"fieldsOfStudy\":null,\"isOpenAccess\":false,\"openAccessPdf\":\"https://www.ncbi.nlm.nih.gov/pmc/articles/PMC12286287/pdf/\",\"citationCount\":\"0\",\"resultStr\":null,\"platform\":\"Semanticscholar\",\"paperid\":null,\"PeriodicalName\":\"Journal of Functional Morphology and Kinesiology\",\"FirstCategoryId\":\"1085\",\"ListUrlMain\":\"https://doi.org/10.3390/jfmk10030277\",\"RegionNum\":0,\"RegionCategory\":null,\"ArticlePicture\":[],\"TitleCN\":null,\"AbstractTextCN\":null,\"PMCID\":null,\"EPubDate\":\"\",\"PubModel\":\"\",\"JCR\":\"Q1\",\"JCRName\":\"SPORT SCIENCES\",\"Score\":null,\"Total\":0}","platform":"Semanticscholar","paperid":null,"PeriodicalName":"Journal of Functional Morphology and Kinesiology","FirstCategoryId":"1085","ListUrlMain":"https://doi.org/10.3390/jfmk10030277","RegionNum":0,"RegionCategory":null,"ArticlePicture":[],"TitleCN":null,"AbstractTextCN":null,"PMCID":null,"EPubDate":"","PubModel":"","JCR":"Q1","JCRName":"SPORT SCIENCES","Score":null,"Total":0}
引用次数: 0

摘要

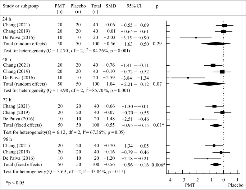
目的:本研究旨在评价光调节疗法(PMT)对迟发性肌肉酸痛(DOMS)的影响。方法:通过系统检索PubMed和EMBASE数据库,确定调查PMT对DOMS的对照研究。对选定的文章进行PMT效果的回顾,并根据具体评估和时间点提取结果数据进行meta分析。结果:共有14项研究符合纳入标准,所有研究都评估了DOMS诱导后PMT的效果。PMT的波长为660 ~ 950 nm,应用于患处肌肉的1 ~ 6个点。四项研究为定量合成提供了足够的数据,比较了PMT与安慰剂在诱导DOMS后24、48、72和96小时的视觉模拟量表(VAS)评分和肌肉力量。结果显示,在72 h(合并SMD = -0.55)和96 h(合并SMD = -0.56)时,VAS评分有统计学意义上的显著降低,表明效果中等。肌肉力量在24 h (pooled SMD = 0.97)和48 h (pooled SMD = 0.99)时有显著改善,反映了较大的效应量。结论:这些发现表明PMT可能是治疗DOMS的有效干预措施,具有减轻疼痛、增强肌肉力量和减少肌肉损伤生化指标的潜在作用。
本文章由计算机程序翻译,如有差异,请以英文原文为准。

Effects of Photomodulation Therapy for Delayed Onset Muscle Soreness: A Systematic Review and Meta-Analysis.

Effects of Photomodulation Therapy for Delayed Onset Muscle Soreness: A Systematic Review and Meta-Analysis.

Effects of Photomodulation Therapy for Delayed Onset Muscle Soreness: A Systematic Review and Meta-Analysis.

Effects of Photomodulation Therapy for Delayed Onset Muscle Soreness: A Systematic Review and Meta-Analysis.

Objectives: This study aimed to evaluate the effects of photomodulation therapy (PMT) on delayed onset muscle soreness (DOMS). Methods: Controlled studies investigating PMT for DOMS were identified through systematic searches of PubMed and EMBASE databases. Selected articles were reviewed for the effects of PMT, and the outcome data were extracted according to specific assessments and time points for meta-analysis. Results: A total of 14 studies met the inclusion criteria, all of which evaluated the effects of PMT following the induction of DOMS. The wavelength of PMT ranged from 660 to 950 nm and was applied to one to six points on the affected muscles. Four studies provided sufficient data for quantitative synthesis, comparing PMT with the placebo in terms of visual analog scale (VAS) scores and muscle strength at 24, 48, 72, and 96 h after the induction of DOMS. The results demonstrated a statistically significant reduction in VAS scores at 72 h (pooled SMD = -0.55) and 96 h (pooled SMD = -0.56), indicating a moderate effect. Muscle strength showed significant improvement at 24 h (pooled SMD = 0.97) and 48 h (pooled SMD = 0.99), reflecting a large effect size. Conclusions: These findings suggested that PMT may be an effective intervention for managing DOMS, with potential effects on reducing pain, enhancing muscle strength, and decreasing biochemical markers of muscle damage.

求助全文
通过发布文献求助,成功后即可免费获取论文全文。 去求助
来源期刊
Journal of Functional Morphology and Kinesiology
Journal of Functional Morphology and Kinesiology Health Professions-Physical Therapy, Sports Therapy and Rehabilitation
CiteScore
4.20
自引率
0.00%
发文量
94
审稿时长
12 weeks
×
引用
GB/T 7714-2015
复制
MLA
复制
APA
复制
导出至
BibTeX EndNote RefMan NoteFirst NoteExpress
×
提示
您的信息不完整,为了账户安全,请先补充。
现在去补充
×
提示
您因"违规操作"
具体请查看互助需知
我知道了
×
提示
确定
请完成安全验证×
copy
已复制链接
快去分享给好友吧!
我知道了
右上角分享
点击右上角分享
0
联系我们:info@booksci.cn Book学术提供免费学术资源搜索服务,方便国内外学者检索中英文文献。致力于提供最便捷和优质的服务体验。 Copyright © 2023 布克学术 All rights reserved.
京ICP备2023020795号-1
ghs 京公网安备 11010802042870号
Book学术文献互助
Book学术文献互助群
群 号:604180095
Book学术官方微信