加那利群岛推定健康人群中抗异尖线虫IgG和IgE抗体的血清阳性率

IF 2.7 Q3 IMMUNOLOGY
Antibodies Pub Date : 2025-07-17 DOI:10.3390/antib14030060
Eligia González-Rodríguez, Marta Rodero, J Alberto Montoya-Alonso, Kevin M Santana-Hernández, Myriam R Ventura, Carmen Cuéllar, Eligia Rodríguez-Ponce
{"title":"加那利群岛推定健康人群中抗异尖线虫IgG和IgE抗体的血清阳性率","authors":"Eligia González-Rodríguez, Marta Rodero, J Alberto Montoya-Alonso, Kevin M Santana-Hernández, Myriam R Ventura, Carmen Cuéllar, Eligia Rodríguez-Ponce","doi":"10.3390/antib14030060","DOIUrl":null,"url":null,"abstract":"<p><p>Food-borne zoonoses, particularly anisakiosis caused by <i>Anisakis</i> spp., are an increasing public health concern due to the rising consumption of raw fish. Anisakiosis results from the ingestion of third-stage larvae of Anisakidae nematodes, with the genus <i>Anisakis</i> re-sponsible for approximately 97% of human cases. While regulatory protocols exist to minimize infection risk in commercial settings, domestic food preparation often lacks such safeguards, creating a gap in public health protection. In the Canary Islands, a major Spanish aquaculture region, farmed fish exhibit a low <i>Anisakis</i> prevalence, suggesting minimal risk from aquaculture products. In contrast, wild-caught fish demonstrate varia-ble parasitism, with recent studies reporting a 25% prevalence among commercial species.</p><p><strong>Methods: </strong>This study assessed <i>Anisakis</i> exposure in the Canary Islands by measuring specific IgG and IgE antibodies in 1043 serum samples collected from all seven islands between March 2014 and October 2015. ELISA assays detected anti-<i>Anisakis</i> antibodies, and the results were analyzed by age, sex, island, and isoclimatic zone.</p><p><strong>Results: </strong>Overall, 16.9% of samples were IgG-positive and 6.8% were IgE-positive. Seroprevalence was significantly higher in indi-viduals aged 60 years and above. Geographic heterogeneity was notable: La Palma had the highest IgG seroprevalence (35.3%), while El Hierro showed the highest IgE prevalence (16.3%). Temperate isoclimatic zones exhibited higher antibody prevalence than dry zones. These findings indicate variable <i>Anisakis</i> exposure across the Canary Islands, likely influenced by environmental and behavioral factors.</p><p><strong>Conclusions: </strong>The results highlight the need for targeted public health interventions to reduce the anisakiosis risk, particularly in regions and populations with elevated exposure.</p>","PeriodicalId":8188,"journal":{"name":"Antibodies","volume":"14 3","pages":""},"PeriodicalIF":2.7000,"publicationDate":"2025-07-17","publicationTypes":"Journal Article","fieldsOfStudy":null,"isOpenAccess":false,"openAccessPdf":"https://www.ncbi.nlm.nih.gov/pmc/articles/PMC12286113/pdf/","citationCount":"0","resultStr":"{\"title\":\"Seroprevalence of IgG and IgE Antibodies Against <i>Anisakis</i> in the Presumably Healthy Population of the Canary Islands.\",\"authors\":\"Eligia González-Rodríguez, Marta Rodero, J Alberto Montoya-Alonso, Kevin M Santana-Hernández, Myriam R Ventura, Carmen Cuéllar, Eligia Rodríguez-Ponce\",\"doi\":\"10.3390/antib14030060\",\"DOIUrl\":null,\"url\":null,\"abstract\":\"<p><p>Food-borne zoonoses, particularly anisakiosis caused by <i>Anisakis</i> spp., are an increasing public health concern due to the rising consumption of raw fish. Anisakiosis results from the ingestion of third-stage larvae of Anisakidae nematodes, with the genus <i>Anisakis</i> re-sponsible for approximately 97% of human cases. While regulatory protocols exist to minimize infection risk in commercial settings, domestic food preparation often lacks such safeguards, creating a gap in public health protection. In the Canary Islands, a major Spanish aquaculture region, farmed fish exhibit a low <i>Anisakis</i> prevalence, suggesting minimal risk from aquaculture products. In contrast, wild-caught fish demonstrate varia-ble parasitism, with recent studies reporting a 25% prevalence among commercial species.</p><p><strong>Methods: </strong>This study assessed <i>Anisakis</i> exposure in the Canary Islands by measuring specific IgG and IgE antibodies in 1043 serum samples collected from all seven islands between March 2014 and October 2015. ELISA assays detected anti-<i>Anisakis</i> antibodies, and the results were analyzed by age, sex, island, and isoclimatic zone.</p><p><strong>Results: </strong>Overall, 16.9% of samples were IgG-positive and 6.8% were IgE-positive. Seroprevalence was significantly higher in indi-viduals aged 60 years and above. Geographic heterogeneity was notable: La Palma had the highest IgG seroprevalence (35.3%), while El Hierro showed the highest IgE prevalence (16.3%). Temperate isoclimatic zones exhibited higher antibody prevalence than dry zones. These findings indicate variable <i>Anisakis</i> exposure across the Canary Islands, likely influenced by environmental and behavioral factors.</p><p><strong>Conclusions: </strong>The results highlight the need for targeted public health interventions to reduce the anisakiosis risk, particularly in regions and populations with elevated exposure.</p>\",\"PeriodicalId\":8188,\"journal\":{\"name\":\"Antibodies\",\"volume\":\"14 3\",\"pages\":\"\"},\"PeriodicalIF\":2.7000,\"publicationDate\":\"2025-07-17\",\"publicationTypes\":\"Journal Article\",\"fieldsOfStudy\":null,\"isOpenAccess\":false,\"openAccessPdf\":\"https://www.ncbi.nlm.nih.gov/pmc/articles/PMC12286113/pdf/\",\"citationCount\":\"0\",\"resultStr\":null,\"platform\":\"Semanticscholar\",\"paperid\":null,\"PeriodicalName\":\"Antibodies\",\"FirstCategoryId\":\"1085\",\"ListUrlMain\":\"https://doi.org/10.3390/antib14030060\",\"RegionNum\":0,\"RegionCategory\":null,\"ArticlePicture\":[],\"TitleCN\":null,\"AbstractTextCN\":null,\"PMCID\":null,\"EPubDate\":\"\",\"PubModel\":\"\",\"JCR\":\"Q3\",\"JCRName\":\"IMMUNOLOGY\",\"Score\":null,\"Total\":0}","platform":"Semanticscholar","paperid":null,"PeriodicalName":"Antibodies","FirstCategoryId":"1085","ListUrlMain":"https://doi.org/10.3390/antib14030060","RegionNum":0,"RegionCategory":null,"ArticlePicture":[],"TitleCN":null,"AbstractTextCN":null,"PMCID":null,"EPubDate":"","PubModel":"","JCR":"Q3","JCRName":"IMMUNOLOGY","Score":null,"Total":0}
引用次数: 0

摘要

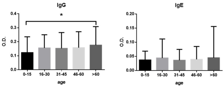
食源性人畜共患病,特别是由异尖线虫引起的异尖线虫病,由于生鱼消费量的增加而日益引起公共卫生关注。异尖线虫病是由摄入异尖线虫科第三期幼虫引起的,人类病例中约97%为异尖线虫属。虽然存在管理规程,以尽量减少商业环境中的感染风险,但家庭食品制备往往缺乏此类保障措施,从而在公共卫生保护方面造成空白。在西班牙主要水产养殖区加那利群岛,养殖鱼类的异尖线虫感染率较低,表明水产养殖产品的风险很小。相比之下,野生捕捞的鱼类表现出不同程度的寄生,最近的研究报告称,商业物种的患病率为25%。方法:本研究通过检测2014年3月至2015年10月在加那利群岛采集的1043份血清样本中特异性IgG和IgE抗体,评估加那利群岛Anisakis暴露情况。ELISA法检测抗异尖线虫抗体,并根据年龄、性别、岛屿和等气候带对结果进行分析。结果:igg阳性率为16.9%,ige阳性率为6.8%。60岁及以上人群血清阳性率明显较高。地理异质性显著:拉帕尔马的IgG血清患病率最高(35.3%),而耶罗的IgE患病率最高(16.3%)。温带等气候带的抗体流行率高于干燥区。这些发现表明,加那利群岛的异尖线虫暴露程度不同,可能受到环境和行为因素的影响。结论:研究结果强调,需要有针对性的公共卫生干预措施,以降低异烟样病的风险,特别是在暴露量高的地区和人群中。
本文章由计算机程序翻译,如有差异,请以英文原文为准。

Seroprevalence of IgG and IgE Antibodies Against <i>Anisakis</i> in the Presumably Healthy Population of the Canary Islands.

Seroprevalence of IgG and IgE Antibodies Against <i>Anisakis</i> in the Presumably Healthy Population of the Canary Islands.

Seroprevalence of IgG and IgE Antibodies Against <i>Anisakis</i> in the Presumably Healthy Population of the Canary Islands.

Seroprevalence of IgG and IgE Antibodies Against Anisakis in the Presumably Healthy Population of the Canary Islands.

Food-borne zoonoses, particularly anisakiosis caused by Anisakis spp., are an increasing public health concern due to the rising consumption of raw fish. Anisakiosis results from the ingestion of third-stage larvae of Anisakidae nematodes, with the genus Anisakis re-sponsible for approximately 97% of human cases. While regulatory protocols exist to minimize infection risk in commercial settings, domestic food preparation often lacks such safeguards, creating a gap in public health protection. In the Canary Islands, a major Spanish aquaculture region, farmed fish exhibit a low Anisakis prevalence, suggesting minimal risk from aquaculture products. In contrast, wild-caught fish demonstrate varia-ble parasitism, with recent studies reporting a 25% prevalence among commercial species.

Methods: This study assessed Anisakis exposure in the Canary Islands by measuring specific IgG and IgE antibodies in 1043 serum samples collected from all seven islands between March 2014 and October 2015. ELISA assays detected anti-Anisakis antibodies, and the results were analyzed by age, sex, island, and isoclimatic zone.

Results: Overall, 16.9% of samples were IgG-positive and 6.8% were IgE-positive. Seroprevalence was significantly higher in indi-viduals aged 60 years and above. Geographic heterogeneity was notable: La Palma had the highest IgG seroprevalence (35.3%), while El Hierro showed the highest IgE prevalence (16.3%). Temperate isoclimatic zones exhibited higher antibody prevalence than dry zones. These findings indicate variable Anisakis exposure across the Canary Islands, likely influenced by environmental and behavioral factors.

Conclusions: The results highlight the need for targeted public health interventions to reduce the anisakiosis risk, particularly in regions and populations with elevated exposure.

求助全文
通过发布文献求助,成功后即可免费获取论文全文。 去求助
来源期刊
Antibodies
Antibodies IMMUNOLOGY-
CiteScore
7.10
自引率
6.40%
发文量
68
审稿时长
11 weeks
期刊介绍: Antibodies (ISSN 2073-4468), an international, peer-reviewed open access journal which provides an advanced forum for studies related to antibodies and antigens. It publishes reviews, research articles, communications and short notes. Our aim is to encourage scientists to publish their experimental and theoretical results in as much detail as possible. There is no restriction on the length of the papers. Full experimental and/or methodical details must be provided. Electronic files or software regarding the full details of the calculation and experimental procedure - if unable to be published in a normal way - can be deposited as supplementary material. This journal covers all topics related to antibodies and antigens, topics of interest include (but are not limited to): antibody-producing cells (including B cells), antibody structure and function, antibody-antigen interactions, Fc receptors, antibody manufacturing antibody engineering, antibody therapy, immunoassays, antibody diagnosis, tissue antigens, exogenous antigens, endogenous antigens, autoantigens, monoclonal antibodies, natural antibodies, humoral immune responses, immunoregulatory molecules.
×
引用
GB/T 7714-2015
复制
MLA
复制
APA
复制
导出至
BibTeX EndNote RefMan NoteFirst NoteExpress
×
提示
您的信息不完整,为了账户安全,请先补充。
现在去补充
×
提示
您因"违规操作"
具体请查看互助需知
我知道了
×
提示
确定
请完成安全验证×
copy
已复制链接
快去分享给好友吧!
我知道了
右上角分享
点击右上角分享
0
联系我们:info@booksci.cn Book学术提供免费学术资源搜索服务,方便国内外学者检索中英文文献。致力于提供最便捷和优质的服务体验。 Copyright © 2023 布克学术 All rights reserved.
京ICP备2023020795号-1
ghs 京公网安备 11010802042870号
Book学术文献互助
Book学术文献互助群
群 号:604180095
Book学术官方微信