雨林破碎化降低了植物-水果相互作用网络的鲁棒性

IF 1.7 3区 环境科学与生态学 Q3 ECOLOGY
Biotropica Pub Date : 2025-07-22 DOI:10.1111/btp.70063
David Becker, Wande Li, Ashtha Gurung, Eduardo Rodriguez Martinez, Emmanuel Rojas, Bernal Rodríguez-Herrera, Maximilian G. R. Vollstädt, Ingo Grass, Thomas Hiller
{"title":"雨林破碎化降低了植物-水果相互作用网络的鲁棒性","authors":"David Becker,&nbsp;Wande Li,&nbsp;Ashtha Gurung,&nbsp;Eduardo Rodriguez Martinez,&nbsp;Emmanuel Rojas,&nbsp;Bernal Rodríguez-Herrera,&nbsp;Maximilian G. R. Vollstädt,&nbsp;Ingo Grass,&nbsp;Thomas Hiller","doi":"10.1111/btp.70063","DOIUrl":null,"url":null,"abstract":"<p>Tropical rainforests are biodiversity hotspots that provide a variety of ecosystem functions and services. Seed dispersal by fruit-eating birds is an important ecosystem process in the regeneration of tropical rainforests, which is increasingly threatened by widespread deforestation. In particular, the expansion of agricultural land often leads to forest fragmentation, which can have a negative impact on the interactions between plants and frugivores and thus on seed dispersal. However, little is known about how forest fragmentation affects the structure and robustness of plant–frugivore interaction networks. Here, we examined the effects of forest fragmentation on species richness of frugivorous birds interacting with focal tree species, and the structure and robustness of plant–frugivore interaction networks in the tropical lowland forests of northern Costa Rica. Species richness of frugivorous birds at the forest edges increased with fragment size and forest cover in the surrounding landscape as well as with local fruit availability. Modularity and robustness of plant–frugivore networks increased with enhanced fragment size and forest cover, while network specialization (H2′) increased only with greater forest cover. Additionally, the three common tanager species (<i>Ramphocelus passerinii</i>, <i>Thraupis palmarum</i>, and <i>Thraupis episcopus</i>) were identified as key bird species for network functioning by promoting among-module and within-module connectivity. Conservation measures should therefore not only focus on threatened specialist species, but more on the key species that enhance network structure and consequently increase the robustness of these trophic interaction networks. Ultimately, our study demonstrates that tropical forest fragmentation simplifies network structure, making these interactions more vulnerable to anthropogenic disturbances.</p>","PeriodicalId":8982,"journal":{"name":"Biotropica","volume":"57 4","pages":""},"PeriodicalIF":1.7000,"publicationDate":"2025-07-22","publicationTypes":"Journal Article","fieldsOfStudy":null,"isOpenAccess":false,"openAccessPdf":"https://onlinelibrary.wiley.com/doi/epdf/10.1111/btp.70063","citationCount":"0","resultStr":"{\"title\":\"Rainforest Fragmentation Decreases the Robustness of Plant-Frugivore Interaction Networks\",\"authors\":\"David Becker,&nbsp;Wande Li,&nbsp;Ashtha Gurung,&nbsp;Eduardo Rodriguez Martinez,&nbsp;Emmanuel Rojas,&nbsp;Bernal Rodríguez-Herrera,&nbsp;Maximilian G. R. Vollstädt,&nbsp;Ingo Grass,&nbsp;Thomas Hiller\",\"doi\":\"10.1111/btp.70063\",\"DOIUrl\":null,\"url\":null,\"abstract\":\"<p>Tropical rainforests are biodiversity hotspots that provide a variety of ecosystem functions and services. Seed dispersal by fruit-eating birds is an important ecosystem process in the regeneration of tropical rainforests, which is increasingly threatened by widespread deforestation. In particular, the expansion of agricultural land often leads to forest fragmentation, which can have a negative impact on the interactions between plants and frugivores and thus on seed dispersal. However, little is known about how forest fragmentation affects the structure and robustness of plant–frugivore interaction networks. Here, we examined the effects of forest fragmentation on species richness of frugivorous birds interacting with focal tree species, and the structure and robustness of plant–frugivore interaction networks in the tropical lowland forests of northern Costa Rica. Species richness of frugivorous birds at the forest edges increased with fragment size and forest cover in the surrounding landscape as well as with local fruit availability. Modularity and robustness of plant–frugivore networks increased with enhanced fragment size and forest cover, while network specialization (H2′) increased only with greater forest cover. Additionally, the three common tanager species (<i>Ramphocelus passerinii</i>, <i>Thraupis palmarum</i>, and <i>Thraupis episcopus</i>) were identified as key bird species for network functioning by promoting among-module and within-module connectivity. Conservation measures should therefore not only focus on threatened specialist species, but more on the key species that enhance network structure and consequently increase the robustness of these trophic interaction networks. Ultimately, our study demonstrates that tropical forest fragmentation simplifies network structure, making these interactions more vulnerable to anthropogenic disturbances.</p>\",\"PeriodicalId\":8982,\"journal\":{\"name\":\"Biotropica\",\"volume\":\"57 4\",\"pages\":\"\"},\"PeriodicalIF\":1.7000,\"publicationDate\":\"2025-07-22\",\"publicationTypes\":\"Journal Article\",\"fieldsOfStudy\":null,\"isOpenAccess\":false,\"openAccessPdf\":\"https://onlinelibrary.wiley.com/doi/epdf/10.1111/btp.70063\",\"citationCount\":\"0\",\"resultStr\":null,\"platform\":\"Semanticscholar\",\"paperid\":null,\"PeriodicalName\":\"Biotropica\",\"FirstCategoryId\":\"93\",\"ListUrlMain\":\"https://onlinelibrary.wiley.com/doi/10.1111/btp.70063\",\"RegionNum\":3,\"RegionCategory\":\"环境科学与生态学\",\"ArticlePicture\":[],\"TitleCN\":null,\"AbstractTextCN\":null,\"PMCID\":null,\"EPubDate\":\"\",\"PubModel\":\"\",\"JCR\":\"Q3\",\"JCRName\":\"ECOLOGY\",\"Score\":null,\"Total\":0}","platform":"Semanticscholar","paperid":null,"PeriodicalName":"Biotropica","FirstCategoryId":"93","ListUrlMain":"https://onlinelibrary.wiley.com/doi/10.1111/btp.70063","RegionNum":3,"RegionCategory":"环境科学与生态学","ArticlePicture":[],"TitleCN":null,"AbstractTextCN":null,"PMCID":null,"EPubDate":"","PubModel":"","JCR":"Q3","JCRName":"ECOLOGY","Score":null,"Total":0}
引用次数: 0

摘要

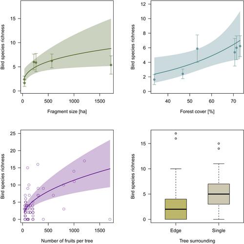
热带雨林是提供多种生态系统功能和服务的生物多样性热点地区。食果鸟类的种子传播是热带雨林再生的重要生态系统过程,而热带雨林正日益受到大面积砍伐的威胁。特别是,农业用地的扩张往往导致森林破碎化,这可能对植物与食果动物之间的相互作用产生负面影响,从而影响种子的传播。然而,人们对森林破碎化如何影响植物-果实相互作用网络的结构和稳健性知之甚少。在此,我们研究了哥斯达黎加北部热带低地森林中森林破碎化对食果鸟类与焦点树种相互作用的物种丰富度的影响,以及植物-食果动物相互作用网络的结构和稳健性。森林边缘食果鸟类的物种丰富度随碎片大小、周围景观的森林覆盖度以及当地水果的可得性而增加。植物-果食性网络的模块化和鲁棒性随碎片大小和森林覆盖的增加而增加,而网络专业化(H2 ')仅随森林覆盖的增加而增加。此外,三种常见的雀鸟(Ramphocelus passerinii, Thraupis palmarum和Thraupis episcopus)通过促进模块间和模块内的连接而被确定为网络功能的关键鸟类。因此,保护措施不应只关注受威胁的特殊物种,而应更多地关注增强网络结构的关键物种,从而增加这些营养相互作用网络的稳健性。最后,我们的研究表明,热带森林破碎化简化了网络结构,使这些相互作用更容易受到人为干扰。
本文章由计算机程序翻译,如有差异,请以英文原文为准。

Rainforest Fragmentation Decreases the Robustness of Plant-Frugivore Interaction Networks

Rainforest Fragmentation Decreases the Robustness of Plant-Frugivore Interaction Networks

Tropical rainforests are biodiversity hotspots that provide a variety of ecosystem functions and services. Seed dispersal by fruit-eating birds is an important ecosystem process in the regeneration of tropical rainforests, which is increasingly threatened by widespread deforestation. In particular, the expansion of agricultural land often leads to forest fragmentation, which can have a negative impact on the interactions between plants and frugivores and thus on seed dispersal. However, little is known about how forest fragmentation affects the structure and robustness of plant–frugivore interaction networks. Here, we examined the effects of forest fragmentation on species richness of frugivorous birds interacting with focal tree species, and the structure and robustness of plant–frugivore interaction networks in the tropical lowland forests of northern Costa Rica. Species richness of frugivorous birds at the forest edges increased with fragment size and forest cover in the surrounding landscape as well as with local fruit availability. Modularity and robustness of plant–frugivore networks increased with enhanced fragment size and forest cover, while network specialization (H2′) increased only with greater forest cover. Additionally, the three common tanager species (Ramphocelus passerinii, Thraupis palmarum, and Thraupis episcopus) were identified as key bird species for network functioning by promoting among-module and within-module connectivity. Conservation measures should therefore not only focus on threatened specialist species, but more on the key species that enhance network structure and consequently increase the robustness of these trophic interaction networks. Ultimately, our study demonstrates that tropical forest fragmentation simplifies network structure, making these interactions more vulnerable to anthropogenic disturbances.

求助全文
通过发布文献求助,成功后即可免费获取论文全文。 去求助
来源期刊
Biotropica
Biotropica 环境科学-生态学
CiteScore
4.10
自引率
9.50%
发文量
122
审稿时长
8-16 weeks
期刊介绍: Ranked by the ISI index, Biotropica is a highly regarded source of original research on the ecology, conservation and management of all tropical ecosystems, and on the evolution, behavior, and population biology of tropical organisms. Published on behalf of the Association of Tropical Biology and Conservation, the journal''s Special Issues and Special Sections quickly become indispensable references for researchers in the field. Biotropica publishes timely Papers, Reviews, Commentaries, and Insights. Commentaries generate thought-provoking ideas that frequently initiate fruitful debate and discussion, while Reviews provide authoritative and analytical overviews of topics of current conservation or ecological importance. The newly instituted category Insights replaces Short Communications.
×
引用
GB/T 7714-2015
复制
MLA
复制
APA
复制
导出至
BibTeX EndNote RefMan NoteFirst NoteExpress
×
提示
您的信息不完整,为了账户安全,请先补充。
现在去补充
×
提示
您因"违规操作"
具体请查看互助需知
我知道了
×
提示
确定
请完成安全验证×
copy
已复制链接
快去分享给好友吧!
我知道了
右上角分享
点击右上角分享
0
联系我们:info@booksci.cn Book学术提供免费学术资源搜索服务,方便国内外学者检索中英文文献。致力于提供最便捷和优质的服务体验。 Copyright © 2023 布克学术 All rights reserved.
京ICP备2023020795号-1
ghs 京公网安备 11010802042870号
Book学术文献互助
Book学术文献互助群
群 号:604180095
Book学术官方微信