不同钾肥来源对“哈佛”猕猴桃产量、果实品质和养分吸收的影响。

IF 1.7 4区 生物学 Q3 BIOLOGY
Open Life Sciences Pub Date : 2025-07-07 eCollection Date: 2025-01-01 DOI:10.1515/biol-2025-1114
Long Ma, Chunming Chi, Shuangqing Lv, Yan'an Tong, Lili Yang
{"title":"不同钾肥来源对“哈佛”猕猴桃产量、果实品质和养分吸收的影响。","authors":"Long Ma, Chunming Chi, Shuangqing Lv, Yan'an Tong, Lili Yang","doi":"10.1515/biol-2025-1114","DOIUrl":null,"url":null,"abstract":"<p><p>Potassium plays an important role in improving crop growth, yield, and quality; however, choosing the right potassium fertiliser remains challenging. To determine the optimal potassium fertiliser for kiwifruit, this study investigated the effects of different potassium sources on kiwifruit yield and postharvest quality as well as plant and soil nutrient contents in an orchard in Shaanxi Province, Northwest China. Two types of potassium fertiliser were examined (K<sub>2</sub>SO<sub>4</sub> and KCl; total K<sub>2</sub>O = 584 kg ha<sup>-1</sup>) at two different application stages (basal and topdressing) under the following four treatments: basal K<sub>2</sub>SO<sub>4</sub> + KCl topdressing, basal K<sub>2</sub>SO<sub>4</sub> + K<sub>2</sub>SO<sub>4</sub> topdressing, basal KCl + K<sub>2</sub>SO<sub>4</sub> topdressing, and basal KCl + KCl topdressing. The different potassium sources had no significant effect on kiwifruit yield; however, a slight increase in yield and economic gain was observed under combined treatment with K<sub>2</sub>SO<sub>4</sub> and KCl compared to single fertiliser treatment. Meanwhile, the single fruit weight and vitamin C content of the fruit were 7.0 and 4.6% higher under treatment with basal K<sub>2</sub>SO<sub>4</sub> + KCl topdressing compared with K<sub>2</sub>SO<sub>4</sub> treatment alone, and 3.1 and 14.9% higher compared with KCl treatment alone. Moreover, application of KCl promoted potassium and chlorine absorption by both the leaves and fruit. However, no significant differences in the content of sulphate or chloride ions in the surface soil (0-40 cm) were observed between potassium sources. In contrast, in deeper soil, the content of chloride ions was highest after KCl treatment, while that of sulphate ions was highest after K<sub>2</sub>SO<sub>4</sub> topdressing. Overall, these findings suggest that the most appropriate potassium source for kiwifruit production is basal application of K<sub>2</sub>SO<sub>4</sub> followed by KCl as topdressing in the study region.</p>","PeriodicalId":19605,"journal":{"name":"Open Life Sciences","volume":"20 1","pages":"20251114"},"PeriodicalIF":1.7000,"publicationDate":"2025-07-07","publicationTypes":"Journal Article","fieldsOfStudy":null,"isOpenAccess":false,"openAccessPdf":"https://www.ncbi.nlm.nih.gov/pmc/articles/PMC12260344/pdf/","citationCount":"0","resultStr":"{\"title\":\"Effects of different sources of potassium fertiliser on yield, fruit quality and nutrient absorption in \\\"<i>Harward</i>\\\" kiwifruit (<i>Actinidia deliciosa</i>).\",\"authors\":\"Long Ma, Chunming Chi, Shuangqing Lv, Yan'an Tong, Lili Yang\",\"doi\":\"10.1515/biol-2025-1114\",\"DOIUrl\":null,\"url\":null,\"abstract\":\"<p><p>Potassium plays an important role in improving crop growth, yield, and quality; however, choosing the right potassium fertiliser remains challenging. To determine the optimal potassium fertiliser for kiwifruit, this study investigated the effects of different potassium sources on kiwifruit yield and postharvest quality as well as plant and soil nutrient contents in an orchard in Shaanxi Province, Northwest China. Two types of potassium fertiliser were examined (K<sub>2</sub>SO<sub>4</sub> and KCl; total K<sub>2</sub>O = 584 kg ha<sup>-1</sup>) at two different application stages (basal and topdressing) under the following four treatments: basal K<sub>2</sub>SO<sub>4</sub> + KCl topdressing, basal K<sub>2</sub>SO<sub>4</sub> + K<sub>2</sub>SO<sub>4</sub> topdressing, basal KCl + K<sub>2</sub>SO<sub>4</sub> topdressing, and basal KCl + KCl topdressing. The different potassium sources had no significant effect on kiwifruit yield; however, a slight increase in yield and economic gain was observed under combined treatment with K<sub>2</sub>SO<sub>4</sub> and KCl compared to single fertiliser treatment. Meanwhile, the single fruit weight and vitamin C content of the fruit were 7.0 and 4.6% higher under treatment with basal K<sub>2</sub>SO<sub>4</sub> + KCl topdressing compared with K<sub>2</sub>SO<sub>4</sub> treatment alone, and 3.1 and 14.9% higher compared with KCl treatment alone. Moreover, application of KCl promoted potassium and chlorine absorption by both the leaves and fruit. However, no significant differences in the content of sulphate or chloride ions in the surface soil (0-40 cm) were observed between potassium sources. In contrast, in deeper soil, the content of chloride ions was highest after KCl treatment, while that of sulphate ions was highest after K<sub>2</sub>SO<sub>4</sub> topdressing. Overall, these findings suggest that the most appropriate potassium source for kiwifruit production is basal application of K<sub>2</sub>SO<sub>4</sub> followed by KCl as topdressing in the study region.</p>\",\"PeriodicalId\":19605,\"journal\":{\"name\":\"Open Life Sciences\",\"volume\":\"20 1\",\"pages\":\"20251114\"},\"PeriodicalIF\":1.7000,\"publicationDate\":\"2025-07-07\",\"publicationTypes\":\"Journal Article\",\"fieldsOfStudy\":null,\"isOpenAccess\":false,\"openAccessPdf\":\"https://www.ncbi.nlm.nih.gov/pmc/articles/PMC12260344/pdf/\",\"citationCount\":\"0\",\"resultStr\":null,\"platform\":\"Semanticscholar\",\"paperid\":null,\"PeriodicalName\":\"Open Life Sciences\",\"FirstCategoryId\":\"99\",\"ListUrlMain\":\"https://doi.org/10.1515/biol-2025-1114\",\"RegionNum\":4,\"RegionCategory\":\"生物学\",\"ArticlePicture\":[],\"TitleCN\":null,\"AbstractTextCN\":null,\"PMCID\":null,\"EPubDate\":\"2025/1/1 0:00:00\",\"PubModel\":\"eCollection\",\"JCR\":\"Q3\",\"JCRName\":\"BIOLOGY\",\"Score\":null,\"Total\":0}","platform":"Semanticscholar","paperid":null,"PeriodicalName":"Open Life Sciences","FirstCategoryId":"99","ListUrlMain":"https://doi.org/10.1515/biol-2025-1114","RegionNum":4,"RegionCategory":"生物学","ArticlePicture":[],"TitleCN":null,"AbstractTextCN":null,"PMCID":null,"EPubDate":"2025/1/1 0:00:00","PubModel":"eCollection","JCR":"Q3","JCRName":"BIOLOGY","Score":null,"Total":0}
引用次数: 0

摘要

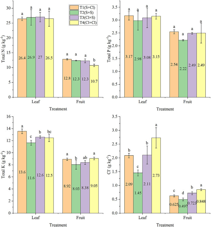
钾在促进作物生长、产量和品质方面起着重要作用;然而,选择合适的钾肥仍然是一个挑战。为确定猕猴桃最适钾肥,在陕西某果园研究了不同钾源对猕猴桃产量、采后品质及植株和土壤养分含量的影响。试验了两种钾肥(K2SO4和KCl;在K2SO4 + KCl追肥、K2SO4 + K2SO4追肥、KCl + K2SO4追肥和KCl + KCl追肥4种处理下,2个不同施用阶段(基肥和追肥)的总K2O = 584 kg hm -1。不同钾源对猕猴桃产量影响不显著;然而,与单一肥料处理相比,K2SO4和KCl联合处理的产量和经济收益略有增加。同时,K2SO4 + KCl基础追肥处理的单果重和果实维生素C含量分别比K2SO4单独处理高7.0和4.6%,比KCl单独处理高3.1和14.9%。此外,施用KCl促进了叶片和果实对钾和氯的吸收。不同钾源土壤表层(0 ~ 40 cm)的硫酸盐和氯离子含量差异不显著。深层土壤氯离子含量以KCl处理最高,硫酸盐离子含量以K2SO4追肥最高。综上所述,本研究区猕猴桃生产最适宜的钾源为K2SO4基施后KCl追肥。
本文章由计算机程序翻译,如有差异,请以英文原文为准。

Effects of different sources of potassium fertiliser on yield, fruit quality and nutrient absorption in "<i>Harward</i>" kiwifruit (<i>Actinidia deliciosa</i>).

Effects of different sources of potassium fertiliser on yield, fruit quality and nutrient absorption in "<i>Harward</i>" kiwifruit (<i>Actinidia deliciosa</i>).

Effects of different sources of potassium fertiliser on yield, fruit quality and nutrient absorption in "Harward" kiwifruit (Actinidia deliciosa).

Potassium plays an important role in improving crop growth, yield, and quality; however, choosing the right potassium fertiliser remains challenging. To determine the optimal potassium fertiliser for kiwifruit, this study investigated the effects of different potassium sources on kiwifruit yield and postharvest quality as well as plant and soil nutrient contents in an orchard in Shaanxi Province, Northwest China. Two types of potassium fertiliser were examined (K2SO4 and KCl; total K2O = 584 kg ha-1) at two different application stages (basal and topdressing) under the following four treatments: basal K2SO4 + KCl topdressing, basal K2SO4 + K2SO4 topdressing, basal KCl + K2SO4 topdressing, and basal KCl + KCl topdressing. The different potassium sources had no significant effect on kiwifruit yield; however, a slight increase in yield and economic gain was observed under combined treatment with K2SO4 and KCl compared to single fertiliser treatment. Meanwhile, the single fruit weight and vitamin C content of the fruit were 7.0 and 4.6% higher under treatment with basal K2SO4 + KCl topdressing compared with K2SO4 treatment alone, and 3.1 and 14.9% higher compared with KCl treatment alone. Moreover, application of KCl promoted potassium and chlorine absorption by both the leaves and fruit. However, no significant differences in the content of sulphate or chloride ions in the surface soil (0-40 cm) were observed between potassium sources. In contrast, in deeper soil, the content of chloride ions was highest after KCl treatment, while that of sulphate ions was highest after K2SO4 topdressing. Overall, these findings suggest that the most appropriate potassium source for kiwifruit production is basal application of K2SO4 followed by KCl as topdressing in the study region.

求助全文
通过发布文献求助,成功后即可免费获取论文全文。 去求助
来源期刊
CiteScore
2.50
自引率
4.50%
发文量
131
审稿时长
43 weeks
期刊介绍: Open Life Sciences (previously Central European Journal of Biology) is a fast growing peer-reviewed journal, devoted to scholarly research in all areas of life sciences, such as molecular biology, plant science, biotechnology, cell biology, biochemistry, biophysics, microbiology and virology, ecology, differentiation and development, genetics and many others. Open Life Sciences assures top quality of published data through critical peer review and editorial involvement throughout the whole publication process. Thanks to the Open Access model of publishing, it also offers unrestricted access to published articles for all users.
×
引用
GB/T 7714-2015
复制
MLA
复制
APA
复制
导出至
BibTeX EndNote RefMan NoteFirst NoteExpress
×
提示
您的信息不完整,为了账户安全,请先补充。
现在去补充
×
提示
您因"违规操作"
具体请查看互助需知
我知道了
×
提示
确定
请完成安全验证×
copy
已复制链接
快去分享给好友吧!
我知道了
右上角分享
点击右上角分享
0
联系我们:info@booksci.cn Book学术提供免费学术资源搜索服务,方便国内外学者检索中英文文献。致力于提供最便捷和优质的服务体验。 Copyright © 2023 布克学术 All rights reserved.
京ICP备2023020795号-1
ghs 京公网安备 11010802042870号
Book学术文献互助
Book学术文献互助群
群 号:604180095
Book学术官方微信