哮喘与强直性脊柱炎的因果关系:一项双向双样本单变量和多变量孟德尔随机化研究。

IF 1.6 4区 医学 Q2 MEDICINE, GENERAL & INTERNAL
Open Medicine Pub Date : 2025-07-08 eCollection Date: 2025-01-01 DOI:10.1515/med-2025-1177
Yiming Yao, Shiqiang Zhou, Yumin Fang, Wenxing Zeng, Shaofeng Zhan
{"title":"哮喘与强直性脊柱炎的因果关系:一项双向双样本单变量和多变量孟德尔随机化研究。","authors":"Yiming Yao, Shiqiang Zhou, Yumin Fang, Wenxing Zeng, Shaofeng Zhan","doi":"10.1515/med-2025-1177","DOIUrl":null,"url":null,"abstract":"<p><strong>Background: </strong>Previous research has indicated a possible association between asthma and ankylosing spondylitis (AS).</p><p><strong>Methods: </strong>We pinpointed single nucleotide polymorphisms linked to various forms of asthma and AS, employing them as instrumental variables for a bidirectional two-sample Mendelian randomization (TSMR) analysis. Our TSMR analysis focused on European populations to minimize racial confounding. Multivariate adjustments for body mass index (BMI), smoking, and alcohol use were performed to control for confounders. Colocalization analysis was used to validate MR findings and explore genetic links between asthma and AS.</p><p><strong>Results: </strong>Individuals with asthma and eosinophilic asthma exhibited a relatively higher risk of AS (asthma: OR 1.31, 95% CI 1.07-1.62, <i>P</i> = 0.008; eosinophilic asthma: OR 1.24, 95% CI 1.005-1.544, <i>P</i> = 0.044). Allergic asthma, childhood-onset asthma, and obesity-related asthma showed no causal relationship with AS (allergic asthma: IVW <i>P</i> = 0.27; childhood-onset asthma: IVW <i>P</i> = 0.66; obesity-related asthma: IVW <i>P</i> = 0.53). After adjusting for cigarette smoking, alcohol consumption, and BMI, the results supported a direct causal effect of asthma on the increased risk of AS onset (IVW <i>P</i> = 0.001).</p><p><strong>Conclusion: </strong>This study revealed that a positive causal connection between asthma, specifically eosinophilic asthma, and AS.</p>","PeriodicalId":19715,"journal":{"name":"Open Medicine","volume":"20 1","pages":"20251177"},"PeriodicalIF":1.6000,"publicationDate":"2025-07-08","publicationTypes":"Journal Article","fieldsOfStudy":null,"isOpenAccess":false,"openAccessPdf":"https://www.ncbi.nlm.nih.gov/pmc/articles/PMC12258423/pdf/","citationCount":"0","resultStr":"{\"title\":\"Causal relationship between asthma and ankylosing spondylitis: A bidirectional two-sample univariable and multivariable Mendelian randomization study.\",\"authors\":\"Yiming Yao, Shiqiang Zhou, Yumin Fang, Wenxing Zeng, Shaofeng Zhan\",\"doi\":\"10.1515/med-2025-1177\",\"DOIUrl\":null,\"url\":null,\"abstract\":\"<p><strong>Background: </strong>Previous research has indicated a possible association between asthma and ankylosing spondylitis (AS).</p><p><strong>Methods: </strong>We pinpointed single nucleotide polymorphisms linked to various forms of asthma and AS, employing them as instrumental variables for a bidirectional two-sample Mendelian randomization (TSMR) analysis. Our TSMR analysis focused on European populations to minimize racial confounding. Multivariate adjustments for body mass index (BMI), smoking, and alcohol use were performed to control for confounders. Colocalization analysis was used to validate MR findings and explore genetic links between asthma and AS.</p><p><strong>Results: </strong>Individuals with asthma and eosinophilic asthma exhibited a relatively higher risk of AS (asthma: OR 1.31, 95% CI 1.07-1.62, <i>P</i> = 0.008; eosinophilic asthma: OR 1.24, 95% CI 1.005-1.544, <i>P</i> = 0.044). Allergic asthma, childhood-onset asthma, and obesity-related asthma showed no causal relationship with AS (allergic asthma: IVW <i>P</i> = 0.27; childhood-onset asthma: IVW <i>P</i> = 0.66; obesity-related asthma: IVW <i>P</i> = 0.53). After adjusting for cigarette smoking, alcohol consumption, and BMI, the results supported a direct causal effect of asthma on the increased risk of AS onset (IVW <i>P</i> = 0.001).</p><p><strong>Conclusion: </strong>This study revealed that a positive causal connection between asthma, specifically eosinophilic asthma, and AS.</p>\",\"PeriodicalId\":19715,\"journal\":{\"name\":\"Open Medicine\",\"volume\":\"20 1\",\"pages\":\"20251177\"},\"PeriodicalIF\":1.6000,\"publicationDate\":\"2025-07-08\",\"publicationTypes\":\"Journal Article\",\"fieldsOfStudy\":null,\"isOpenAccess\":false,\"openAccessPdf\":\"https://www.ncbi.nlm.nih.gov/pmc/articles/PMC12258423/pdf/\",\"citationCount\":\"0\",\"resultStr\":null,\"platform\":\"Semanticscholar\",\"paperid\":null,\"PeriodicalName\":\"Open Medicine\",\"FirstCategoryId\":\"3\",\"ListUrlMain\":\"https://doi.org/10.1515/med-2025-1177\",\"RegionNum\":4,\"RegionCategory\":\"医学\",\"ArticlePicture\":[],\"TitleCN\":null,\"AbstractTextCN\":null,\"PMCID\":null,\"EPubDate\":\"2025/1/1 0:00:00\",\"PubModel\":\"eCollection\",\"JCR\":\"Q2\",\"JCRName\":\"MEDICINE, GENERAL & INTERNAL\",\"Score\":null,\"Total\":0}","platform":"Semanticscholar","paperid":null,"PeriodicalName":"Open Medicine","FirstCategoryId":"3","ListUrlMain":"https://doi.org/10.1515/med-2025-1177","RegionNum":4,"RegionCategory":"医学","ArticlePicture":[],"TitleCN":null,"AbstractTextCN":null,"PMCID":null,"EPubDate":"2025/1/1 0:00:00","PubModel":"eCollection","JCR":"Q2","JCRName":"MEDICINE, GENERAL & INTERNAL","Score":null,"Total":0}
引用次数: 0

摘要

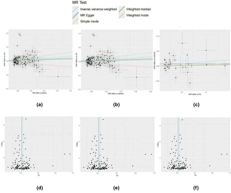
背景:以往的研究表明哮喘与强直性脊柱炎(AS)之间可能存在关联。方法:我们确定了与各种形式的哮喘和AS相关的单核苷酸多态性,并将其作为双向双样本孟德尔随机化(TSMR)分析的工具变量。我们的TSMR分析侧重于欧洲人群,以尽量减少种族混淆。对体重指数(BMI)、吸烟和饮酒进行多变量调整以控制混杂因素。共定位分析用于验证MR结果并探索哮喘和AS之间的遗传联系。结果:哮喘和嗜酸性粒细胞哮喘患者发生AS的风险相对较高(哮喘:OR 1.31, 95% CI 1.07-1.62, P = 0.008;嗜酸性粒细胞哮喘:OR 1.24, 95% CI 1.005-1.544, P = 0.044)。过敏性哮喘、儿童期哮喘和肥胖相关哮喘与AS无因果关系(过敏性哮喘:IVW P = 0.27;儿童期发作哮喘:IVW P = 0.66;肥胖相关哮喘:IVW P = 0.53)。在调整吸烟、饮酒和BMI后,结果支持哮喘对AS发病风险增加的直接因果影响(IVW P = 0.001)。结论:本研究揭示哮喘,特别是嗜酸性哮喘与AS之间存在正相关的因果关系。
本文章由计算机程序翻译,如有差异,请以英文原文为准。

Causal relationship between asthma and ankylosing spondylitis: A bidirectional two-sample univariable and multivariable Mendelian randomization study.

Causal relationship between asthma and ankylosing spondylitis: A bidirectional two-sample univariable and multivariable Mendelian randomization study.

Causal relationship between asthma and ankylosing spondylitis: A bidirectional two-sample univariable and multivariable Mendelian randomization study.

Causal relationship between asthma and ankylosing spondylitis: A bidirectional two-sample univariable and multivariable Mendelian randomization study.

Background: Previous research has indicated a possible association between asthma and ankylosing spondylitis (AS).

Methods: We pinpointed single nucleotide polymorphisms linked to various forms of asthma and AS, employing them as instrumental variables for a bidirectional two-sample Mendelian randomization (TSMR) analysis. Our TSMR analysis focused on European populations to minimize racial confounding. Multivariate adjustments for body mass index (BMI), smoking, and alcohol use were performed to control for confounders. Colocalization analysis was used to validate MR findings and explore genetic links between asthma and AS.

Results: Individuals with asthma and eosinophilic asthma exhibited a relatively higher risk of AS (asthma: OR 1.31, 95% CI 1.07-1.62, P = 0.008; eosinophilic asthma: OR 1.24, 95% CI 1.005-1.544, P = 0.044). Allergic asthma, childhood-onset asthma, and obesity-related asthma showed no causal relationship with AS (allergic asthma: IVW P = 0.27; childhood-onset asthma: IVW P = 0.66; obesity-related asthma: IVW P = 0.53). After adjusting for cigarette smoking, alcohol consumption, and BMI, the results supported a direct causal effect of asthma on the increased risk of AS onset (IVW P = 0.001).

Conclusion: This study revealed that a positive causal connection between asthma, specifically eosinophilic asthma, and AS.

求助全文
通过发布文献求助,成功后即可免费获取论文全文。 去求助
来源期刊
Open Medicine
Open Medicine Medicine-General Medicine
CiteScore
3.00
自引率
0.00%
发文量
153
审稿时长
20 weeks
期刊介绍: Open Medicine is an open access journal that provides users with free, instant, and continued access to all content worldwide. The primary goal of the journal has always been a focus on maintaining the high quality of its published content. Its mission is to facilitate the exchange of ideas between medical science researchers from different countries. Papers connected to all fields of medicine and public health are welcomed. Open Medicine accepts submissions of research articles, reviews, case reports, letters to editor and book reviews.
×
引用
GB/T 7714-2015
复制
MLA
复制
APA
复制
导出至
BibTeX EndNote RefMan NoteFirst NoteExpress
×
提示
您的信息不完整,为了账户安全,请先补充。
现在去补充
×
提示
您因"违规操作"
具体请查看互助需知
我知道了
×
提示
确定
请完成安全验证×
copy
已复制链接
快去分享给好友吧!
我知道了
右上角分享
点击右上角分享
0
联系我们:info@booksci.cn Book学术提供免费学术资源搜索服务,方便国内外学者检索中英文文献。致力于提供最便捷和优质的服务体验。 Copyright © 2023 布克学术 All rights reserved.
京ICP备2023020795号-1
ghs 京公网安备 11010802042870号
Book学术文献互助
Book学术文献互助群
群 号:604180095
Book学术官方微信