阿纳莫瑞林对胃癌相关恶病质患者体重的影响:一项观察性研究

IF 5.1 1区 医学 Q1 GASTROENTEROLOGY & HEPATOLOGY
Gastric Cancer Pub Date : 2025-09-01 Epub Date: 2025-07-08 DOI:10.1007/s10120-025-01637-3
Yoshitomo Yanagimoto, Kotaro Yamashita, Ryohei Kawabata, Takeshi Omori, Masaaki Motoori, Yujiro Nakahara, Yutaka Kimura, Haruna Furukawa, Takuro Saito, Kazuyoshi Yamamoto, Tsuyoshi Takahashi, Yukinori Kurokawa, Hidetoshi Eguchi, Yuichiro Doki
{"title":"阿纳莫瑞林对胃癌相关恶病质患者体重的影响:一项观察性研究","authors":"Yoshitomo Yanagimoto, Kotaro Yamashita, Ryohei Kawabata, Takeshi Omori, Masaaki Motoori, Yujiro Nakahara, Yutaka Kimura, Haruna Furukawa, Takuro Saito, Kazuyoshi Yamamoto, Tsuyoshi Takahashi, Yukinori Kurokawa, Hidetoshi Eguchi, Yuichiro Doki","doi":"10.1007/s10120-025-01637-3","DOIUrl":null,"url":null,"abstract":"<p><strong>Background: </strong>In 2021, anamorelin, a ghrelin receptor agonist, was approved in Japan for cancer cachexia in select cancers, including gastric cancer. However, evidence regarding its efficacy and predictive factors in patients with gastric cancer remains lacking.</p><p><strong>Methods: </strong>This prospective observational study encompassed 229 patients with unresectable, advanced, or recurrent gastric cancer and cancer cachexia who received anamorelin from 2021 to 2023 at 25 institutions affiliated with Osaka University. Body weight change at 12 weeks was the primary endpoint. Appetite, food intake, treatment compliance, and adverse events comprised the secondary endpoints. Multivariable logistic regression analyses were employed for identifying weight gain predictors.</p><p><strong>Results: </strong>Of the 229 patients (median age, 73 years), 126 completed the 12-week follow-up. The median anamorelin administration duration was 62 days. The mean weight significantly increased from baseline to 4, 8, and 12 weeks (up to + 0.88 kg, p < 0.001). Moreover, appetite and food intake improved. Multivariable analysis identified baseline body mass index (BMI) < 20 kg/m<sup>2</sup> and neutrophil-to-lymphocyte ratio (NLR) < 4.0 as independent predictors of significant weight gain at 12 weeks. Treatment was generally well tolerated, with a 41% completion rate; 59% of the participants discontinued mainly owing to disease progression.</p><p><strong>Conclusion: </strong>In patients with gastric cancer-related cachexia, anamorelin was associated with significant increases in body weight and improvements in appetite. Lower BMI and lower systemic inflammation (NLR < 4.0) were predictive of better response.</p>","PeriodicalId":12684,"journal":{"name":"Gastric Cancer","volume":" ","pages":"945-954"},"PeriodicalIF":5.1000,"publicationDate":"2025-09-01","publicationTypes":"Journal Article","fieldsOfStudy":null,"isOpenAccess":false,"openAccessPdf":"https://www.ncbi.nlm.nih.gov/pmc/articles/PMC12378834/pdf/","citationCount":"0","resultStr":"{\"title\":\"Effect of anamorelin on body weight in patients with gastric cancer-associated cachexia: an observational study.\",\"authors\":\"Yoshitomo Yanagimoto, Kotaro Yamashita, Ryohei Kawabata, Takeshi Omori, Masaaki Motoori, Yujiro Nakahara, Yutaka Kimura, Haruna Furukawa, Takuro Saito, Kazuyoshi Yamamoto, Tsuyoshi Takahashi, Yukinori Kurokawa, Hidetoshi Eguchi, Yuichiro Doki\",\"doi\":\"10.1007/s10120-025-01637-3\",\"DOIUrl\":null,\"url\":null,\"abstract\":\"<p><strong>Background: </strong>In 2021, anamorelin, a ghrelin receptor agonist, was approved in Japan for cancer cachexia in select cancers, including gastric cancer. However, evidence regarding its efficacy and predictive factors in patients with gastric cancer remains lacking.</p><p><strong>Methods: </strong>This prospective observational study encompassed 229 patients with unresectable, advanced, or recurrent gastric cancer and cancer cachexia who received anamorelin from 2021 to 2023 at 25 institutions affiliated with Osaka University. Body weight change at 12 weeks was the primary endpoint. Appetite, food intake, treatment compliance, and adverse events comprised the secondary endpoints. Multivariable logistic regression analyses were employed for identifying weight gain predictors.</p><p><strong>Results: </strong>Of the 229 patients (median age, 73 years), 126 completed the 12-week follow-up. The median anamorelin administration duration was 62 days. The mean weight significantly increased from baseline to 4, 8, and 12 weeks (up to + 0.88 kg, p < 0.001). Moreover, appetite and food intake improved. Multivariable analysis identified baseline body mass index (BMI) < 20 kg/m<sup>2</sup> and neutrophil-to-lymphocyte ratio (NLR) < 4.0 as independent predictors of significant weight gain at 12 weeks. Treatment was generally well tolerated, with a 41% completion rate; 59% of the participants discontinued mainly owing to disease progression.</p><p><strong>Conclusion: </strong>In patients with gastric cancer-related cachexia, anamorelin was associated with significant increases in body weight and improvements in appetite. Lower BMI and lower systemic inflammation (NLR < 4.0) were predictive of better response.</p>\",\"PeriodicalId\":12684,\"journal\":{\"name\":\"Gastric Cancer\",\"volume\":\" \",\"pages\":\"945-954\"},\"PeriodicalIF\":5.1000,\"publicationDate\":\"2025-09-01\",\"publicationTypes\":\"Journal Article\",\"fieldsOfStudy\":null,\"isOpenAccess\":false,\"openAccessPdf\":\"https://www.ncbi.nlm.nih.gov/pmc/articles/PMC12378834/pdf/\",\"citationCount\":\"0\",\"resultStr\":null,\"platform\":\"Semanticscholar\",\"paperid\":null,\"PeriodicalName\":\"Gastric Cancer\",\"FirstCategoryId\":\"3\",\"ListUrlMain\":\"https://doi.org/10.1007/s10120-025-01637-3\",\"RegionNum\":1,\"RegionCategory\":\"医学\",\"ArticlePicture\":[],\"TitleCN\":null,\"AbstractTextCN\":null,\"PMCID\":null,\"EPubDate\":\"2025/7/8 0:00:00\",\"PubModel\":\"Epub\",\"JCR\":\"Q1\",\"JCRName\":\"GASTROENTEROLOGY & HEPATOLOGY\",\"Score\":null,\"Total\":0}","platform":"Semanticscholar","paperid":null,"PeriodicalName":"Gastric Cancer","FirstCategoryId":"3","ListUrlMain":"https://doi.org/10.1007/s10120-025-01637-3","RegionNum":1,"RegionCategory":"医学","ArticlePicture":[],"TitleCN":null,"AbstractTextCN":null,"PMCID":null,"EPubDate":"2025/7/8 0:00:00","PubModel":"Epub","JCR":"Q1","JCRName":"GASTROENTEROLOGY & HEPATOLOGY","Score":null,"Total":0}
引用次数: 0

摘要

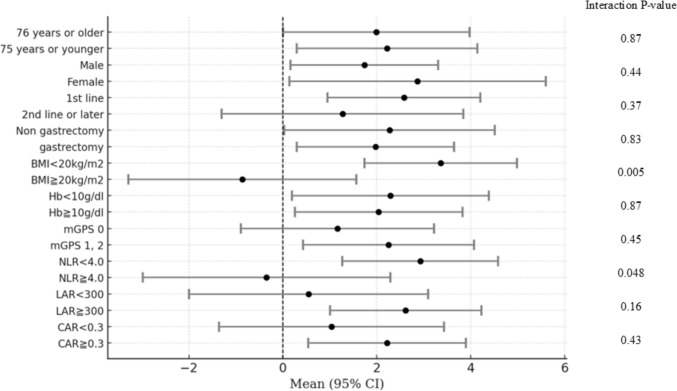
背景:2021年,胃饥饿素受体激动剂anamorelin在日本被批准用于治疗包括胃癌在内的特定癌症的恶病质。然而,关于其在胃癌患者中的疗效和预测因素的证据仍然缺乏。方法:这项前瞻性观察性研究纳入了大阪大学附属25个机构的229例不可切除、晚期或复发的胃癌和癌症恶病质患者,这些患者于2021年至2023年接受了anamorelin治疗。12周体重变化是主要终点。次要终点包括食欲、食物摄入、治疗依从性和不良事件。采用多变量logistic回归分析来确定体重增加的预测因子。结果:229例患者(中位年龄73岁)中,126例完成了12周的随访。阿纳莫瑞林给药时间中位数为62天。从基线到4,8和12周,平均体重显著增加(高达+ 0.88 kg, p 2和中性粒细胞与淋巴细胞比率(NLR))结论:在胃癌相关恶病质患者中,anamorelin与体重显著增加和食欲改善相关。较低的BMI和较低的全身性炎症(NLR)
本文章由计算机程序翻译,如有差异,请以英文原文为准。

Effect of anamorelin on body weight in patients with gastric cancer-associated cachexia: an observational study.

Effect of anamorelin on body weight in patients with gastric cancer-associated cachexia: an observational study.

Effect of anamorelin on body weight in patients with gastric cancer-associated cachexia: an observational study.

Effect of anamorelin on body weight in patients with gastric cancer-associated cachexia: an observational study.

Background: In 2021, anamorelin, a ghrelin receptor agonist, was approved in Japan for cancer cachexia in select cancers, including gastric cancer. However, evidence regarding its efficacy and predictive factors in patients with gastric cancer remains lacking.

Methods: This prospective observational study encompassed 229 patients with unresectable, advanced, or recurrent gastric cancer and cancer cachexia who received anamorelin from 2021 to 2023 at 25 institutions affiliated with Osaka University. Body weight change at 12 weeks was the primary endpoint. Appetite, food intake, treatment compliance, and adverse events comprised the secondary endpoints. Multivariable logistic regression analyses were employed for identifying weight gain predictors.

Results: Of the 229 patients (median age, 73 years), 126 completed the 12-week follow-up. The median anamorelin administration duration was 62 days. The mean weight significantly increased from baseline to 4, 8, and 12 weeks (up to + 0.88 kg, p < 0.001). Moreover, appetite and food intake improved. Multivariable analysis identified baseline body mass index (BMI) < 20 kg/m2 and neutrophil-to-lymphocyte ratio (NLR) < 4.0 as independent predictors of significant weight gain at 12 weeks. Treatment was generally well tolerated, with a 41% completion rate; 59% of the participants discontinued mainly owing to disease progression.

Conclusion: In patients with gastric cancer-related cachexia, anamorelin was associated with significant increases in body weight and improvements in appetite. Lower BMI and lower systemic inflammation (NLR < 4.0) were predictive of better response.

求助全文
通过发布文献求助,成功后即可免费获取论文全文。 去求助
来源期刊
Gastric Cancer
Gastric Cancer 医学-胃肠肝病学
CiteScore
14.70
自引率
2.70%
发文量
80
审稿时长
6-12 weeks
期刊介绍: Gastric Cancer is an esteemed global forum that focuses on various aspects of gastric cancer research, treatment, and biology worldwide. The journal promotes a diverse range of content, including original articles, case reports, short communications, and technical notes. It also welcomes Letters to the Editor discussing published articles or sharing viewpoints on gastric cancer topics. Review articles are predominantly sought after by the Editor, ensuring comprehensive coverage of the field. With a dedicated and knowledgeable editorial team, the journal is committed to providing exceptional support and ensuring high levels of author satisfaction. In fact, over 90% of published authors have expressed their intent to publish again in our esteemed journal.
×
引用
GB/T 7714-2015
复制
MLA
复制
APA
复制
导出至
BibTeX EndNote RefMan NoteFirst NoteExpress
×
提示
您的信息不完整,为了账户安全,请先补充。
现在去补充
×
提示
您因"违规操作"
具体请查看互助需知
我知道了
×
提示
确定
请完成安全验证×
copy
已复制链接
快去分享给好友吧!
我知道了
右上角分享
点击右上角分享
0
联系我们:info@booksci.cn Book学术提供免费学术资源搜索服务,方便国内外学者检索中英文文献。致力于提供最便捷和优质的服务体验。 Copyright © 2023 布克学术 All rights reserved.
京ICP备2023020795号-1
ghs 京公网安备 11010802042870号
Book学术文献互助
Book学术文献互助群
群 号:604180095
Book学术官方微信