局部应用Theragun™的生理效应:一项健康女性参与者的观察性研究

IF 2.1 Q3 SPORT SCIENCES
International Journal of Sports Physical Therapy Pub Date : 2025-07-02 eCollection Date: 2025-01-01 DOI:10.26603/001c.141342
Ron Clijsen, Livia Freitag, Erich Hohenauer, Giannina Bianchi
{"title":"局部应用Theragun™的生理效应:一项健康女性参与者的观察性研究","authors":"Ron Clijsen, Livia Freitag, Erich Hohenauer, Giannina Bianchi","doi":"10.26603/001c.141342","DOIUrl":null,"url":null,"abstract":"<p><strong>Background: </strong>While the clinical effects of localized percussive therapy (PT) are well-documented, studies investigating the underlying physiological mechanisms remain scarce. # Purpose The aim of this study was to investigate the changes and time course of local skin temperature (Tskin), deep tissue perfusion (erythrocyte flow velocity [speed] and deep tissue blood flow [flux]), and muscle oxygenation (SmO2) after a standardized 4-minute treatment with a TheragunTM of the vastus medialis muscle of healthy women. # Study design Descriptive Laboratory Study. # Methods Tskin, speed, flux and SmO2 were measured in the treated area in 26 healthy female participants at baseline and following a 4-minute TheragunTM application, with recordings taken at 5-minute intervals for up to 50 minutes post-application. Additionally, Tskin was also measured on the control leg. A repeated measures ANOVA was performed to assess temporal changes and differences between the treated and control conditions. # Results Following the Theragun™ treatment, significant increases were observed in the treated area at all time points for Tskin (p < 0.001), speed (p < 0.001), flux (p < 0.001), and SmO2 (p < 0.05) compared to baseline. Tskin (mean change of 3.76 °C) and SmO2 (mean change of 5.78%) reached their highest values at five minutes post-treatment (t5), whereas speed (mean change of 23.79 arbitrary units [AU]) and flux (mean change of 115.66 AU) peaked immediately (t0) after the application. Tskin on the control leg also differed significantly across all time intervals compared to baseline (p < 0.05), peaking at t30 (mean change 0.64°C). # Conclusion A 4-minute localized Theragun™ application enhances physiological responses in cutaneous, subcutaneous, and muscle tissues. It increases skin temperature and improves deep tissue blood flow, red blood cell movement, and muscle oxygenation. These findings highlight the impact of TheragunTM on deep tissue layers, offering valuable insights into the physiological mechanisms of PT. The results support the potential for its use in optimising athletic performance and recovery through enhanced blood flow and muscle oxygenation.</p><p><strong>Level of evidence: </strong>2b.</p>","PeriodicalId":47892,"journal":{"name":"International Journal of Sports Physical Therapy","volume":"20 7","pages":"1018-1028"},"PeriodicalIF":2.1000,"publicationDate":"2025-07-02","publicationTypes":"Journal Article","fieldsOfStudy":null,"isOpenAccess":false,"openAccessPdf":"https://www.ncbi.nlm.nih.gov/pmc/articles/PMC12222033/pdf/","citationCount":"0","resultStr":"{\"title\":\"Physiological Effects of Local Theragun™ Application: An Observational Study in Healthy Female Participants.\",\"authors\":\"Ron Clijsen, Livia Freitag, Erich Hohenauer, Giannina Bianchi\",\"doi\":\"10.26603/001c.141342\",\"DOIUrl\":null,\"url\":null,\"abstract\":\"<p><strong>Background: </strong>While the clinical effects of localized percussive therapy (PT) are well-documented, studies investigating the underlying physiological mechanisms remain scarce. # Purpose The aim of this study was to investigate the changes and time course of local skin temperature (Tskin), deep tissue perfusion (erythrocyte flow velocity [speed] and deep tissue blood flow [flux]), and muscle oxygenation (SmO2) after a standardized 4-minute treatment with a TheragunTM of the vastus medialis muscle of healthy women. # Study design Descriptive Laboratory Study. # Methods Tskin, speed, flux and SmO2 were measured in the treated area in 26 healthy female participants at baseline and following a 4-minute TheragunTM application, with recordings taken at 5-minute intervals for up to 50 minutes post-application. Additionally, Tskin was also measured on the control leg. A repeated measures ANOVA was performed to assess temporal changes and differences between the treated and control conditions. # Results Following the Theragun™ treatment, significant increases were observed in the treated area at all time points for Tskin (p < 0.001), speed (p < 0.001), flux (p < 0.001), and SmO2 (p < 0.05) compared to baseline. Tskin (mean change of 3.76 °C) and SmO2 (mean change of 5.78%) reached their highest values at five minutes post-treatment (t5), whereas speed (mean change of 23.79 arbitrary units [AU]) and flux (mean change of 115.66 AU) peaked immediately (t0) after the application. Tskin on the control leg also differed significantly across all time intervals compared to baseline (p < 0.05), peaking at t30 (mean change 0.64°C). # Conclusion A 4-minute localized Theragun™ application enhances physiological responses in cutaneous, subcutaneous, and muscle tissues. It increases skin temperature and improves deep tissue blood flow, red blood cell movement, and muscle oxygenation. These findings highlight the impact of TheragunTM on deep tissue layers, offering valuable insights into the physiological mechanisms of PT. The results support the potential for its use in optimising athletic performance and recovery through enhanced blood flow and muscle oxygenation.</p><p><strong>Level of evidence: </strong>2b.</p>\",\"PeriodicalId\":47892,\"journal\":{\"name\":\"International Journal of Sports Physical Therapy\",\"volume\":\"20 7\",\"pages\":\"1018-1028\"},\"PeriodicalIF\":2.1000,\"publicationDate\":\"2025-07-02\",\"publicationTypes\":\"Journal Article\",\"fieldsOfStudy\":null,\"isOpenAccess\":false,\"openAccessPdf\":\"https://www.ncbi.nlm.nih.gov/pmc/articles/PMC12222033/pdf/\",\"citationCount\":\"0\",\"resultStr\":null,\"platform\":\"Semanticscholar\",\"paperid\":null,\"PeriodicalName\":\"International Journal of Sports Physical Therapy\",\"FirstCategoryId\":\"1085\",\"ListUrlMain\":\"https://doi.org/10.26603/001c.141342\",\"RegionNum\":0,\"RegionCategory\":null,\"ArticlePicture\":[],\"TitleCN\":null,\"AbstractTextCN\":null,\"PMCID\":null,\"EPubDate\":\"2025/1/1 0:00:00\",\"PubModel\":\"eCollection\",\"JCR\":\"Q3\",\"JCRName\":\"SPORT SCIENCES\",\"Score\":null,\"Total\":0}","platform":"Semanticscholar","paperid":null,"PeriodicalName":"International Journal of Sports Physical Therapy","FirstCategoryId":"1085","ListUrlMain":"https://doi.org/10.26603/001c.141342","RegionNum":0,"RegionCategory":null,"ArticlePicture":[],"TitleCN":null,"AbstractTextCN":null,"PMCID":null,"EPubDate":"2025/1/1 0:00:00","PubModel":"eCollection","JCR":"Q3","JCRName":"SPORT SCIENCES","Score":null,"Total":0}
引用次数: 0

摘要

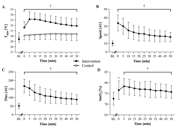
背景:虽然局部打击疗法(PT)的临床效果有充分的文献记载,但调查其潜在生理机制的研究仍然很少。目的:探讨健康女性股内侧肌经TheragunTM标准治疗4分钟后,局部皮肤温度(Tskin)、深层组织灌注(红细胞流速[speed]和深层组织血流量[flux])和肌肉氧合(SmO2)的变化及其时间过程。描述性实验室研究。方法对26名健康女性受试者在基线和应用4分钟TheragunTM后治疗区域的Tskin、速度、通量和SmO2进行测量,并在应用后50分钟内每隔5分钟进行记录。此外,在对照腿上也测量了Tskin。采用重复测量方差分析来评估治疗组和对照组之间的时间变化和差异。Theragun™治疗后,与基线相比,治疗区域在所有时间点的Tskin (p < 0.001)、速度(p < 0.001)、通量(p < 0.001)和SmO2 (p < 0.05)均显著增加。Tskin(平均变化3.76°C)和SmO2(平均变化5.78%)在处理后5分钟达到最大值(t5),而速度(平均变化23.79任意单位[AU])和通量(平均变化115.66 AU)在处理后立即达到峰值(t0)。与基线相比,对照组腿上的Tskin在所有时间间隔内也存在显著差异(p < 0.05),在t30时达到峰值(平均变化0.64°C)。4分钟局部应用Theragun™可增强皮肤、皮下和肌肉组织的生理反应。它能提高皮肤温度,改善深层组织血液流动、红细胞运动和肌肉氧合。这些发现强调了TheragunTM对深层组织层的影响,为PT的生理机制提供了有价值的见解。结果支持其通过增强血流量和肌肉氧合来优化运动表现和恢复的潜力。证据等级:2b。
本文章由计算机程序翻译,如有差异,请以英文原文为准。

Physiological Effects of Local Theragun™ Application: An Observational Study in Healthy Female Participants.

Physiological Effects of Local Theragun™ Application: An Observational Study in Healthy Female Participants.

Physiological Effects of Local Theragun™ Application: An Observational Study in Healthy Female Participants.

Physiological Effects of Local Theragun™ Application: An Observational Study in Healthy Female Participants.

Background: While the clinical effects of localized percussive therapy (PT) are well-documented, studies investigating the underlying physiological mechanisms remain scarce. # Purpose The aim of this study was to investigate the changes and time course of local skin temperature (Tskin), deep tissue perfusion (erythrocyte flow velocity [speed] and deep tissue blood flow [flux]), and muscle oxygenation (SmO2) after a standardized 4-minute treatment with a TheragunTM of the vastus medialis muscle of healthy women. # Study design Descriptive Laboratory Study. # Methods Tskin, speed, flux and SmO2 were measured in the treated area in 26 healthy female participants at baseline and following a 4-minute TheragunTM application, with recordings taken at 5-minute intervals for up to 50 minutes post-application. Additionally, Tskin was also measured on the control leg. A repeated measures ANOVA was performed to assess temporal changes and differences between the treated and control conditions. # Results Following the Theragun™ treatment, significant increases were observed in the treated area at all time points for Tskin (p < 0.001), speed (p < 0.001), flux (p < 0.001), and SmO2 (p < 0.05) compared to baseline. Tskin (mean change of 3.76 °C) and SmO2 (mean change of 5.78%) reached their highest values at five minutes post-treatment (t5), whereas speed (mean change of 23.79 arbitrary units [AU]) and flux (mean change of 115.66 AU) peaked immediately (t0) after the application. Tskin on the control leg also differed significantly across all time intervals compared to baseline (p < 0.05), peaking at t30 (mean change 0.64°C). # Conclusion A 4-minute localized Theragun™ application enhances physiological responses in cutaneous, subcutaneous, and muscle tissues. It increases skin temperature and improves deep tissue blood flow, red blood cell movement, and muscle oxygenation. These findings highlight the impact of TheragunTM on deep tissue layers, offering valuable insights into the physiological mechanisms of PT. The results support the potential for its use in optimising athletic performance and recovery through enhanced blood flow and muscle oxygenation.

Level of evidence: 2b.

求助全文
通过发布文献求助,成功后即可免费获取论文全文。 去求助
来源期刊
CiteScore
2.50
自引率
5.90%
发文量
124
审稿时长
16 weeks
×
引用
GB/T 7714-2015
复制
MLA
复制
APA
复制
导出至
BibTeX EndNote RefMan NoteFirst NoteExpress
×
提示
您的信息不完整,为了账户安全,请先补充。
现在去补充
×
提示
您因"违规操作"
具体请查看互助需知
我知道了
×
提示
确定
请完成安全验证×
copy
已复制链接
快去分享给好友吧!
我知道了
右上角分享
点击右上角分享
0
联系我们:info@booksci.cn Book学术提供免费学术资源搜索服务,方便国内外学者检索中英文文献。致力于提供最便捷和优质的服务体验。 Copyright © 2023 布克学术 All rights reserved.
京ICP备2023020795号-1
ghs 京公网安备 11010802042870号
Book学术文献互助
Book学术文献互助群
群 号:604180095
Book学术官方微信