60岁以上社区居住的印度人守寡状态/持续时间、抑郁和认知功能之间的关系:性别和居住因素的探索。

IF 3.5 2区 医学 Q1 PSYCHIATRY
T Muhammad, Christina X Mu, Shobhit Srivastava, Vinod Joseph Kannankeril Joseph, Drishti Drishti, Waad Ali, Preeti Pushpalata Zanwar
{"title":"60岁以上社区居住的印度人守寡状态/持续时间、抑郁和认知功能之间的关系:性别和居住因素的探索。","authors":"T Muhammad, Christina X Mu, Shobhit Srivastava, Vinod Joseph Kannankeril Joseph, Drishti Drishti, Waad Ali, Preeti Pushpalata Zanwar","doi":"10.1007/s00127-025-02950-z","DOIUrl":null,"url":null,"abstract":"<p><strong>Background: </strong>The death of a spouse is considered one of the most life challenging stressors. Widowhood has a profound influence on health and may increase the risk of depression and poorer cognitive function. Discriminatory practices in India, such as taboos against remarrying, a lack of occupational opportunities, and social support, may lead to differential widowhood experiences, especially among women. This study examined the associations between widowhood status/duration, depression and cognitive function among community-dwelling men and women in India. Considering the unique cultural and societal context in India, this study also sought to examine differences by sex, rural/urban residence, and multigenerational living status.</p><p><strong>Methods: </strong>We used baseline data from the Longitudinal Aging Study in India. Data were collected between 2017 and 2019. The study sample consisted of 14,691 men and 15,948 women age ≥ 60 years. Depression was measured using the Short Form Composite International Diagnostic Interview and global cognitive functioning was measured using an assessment adapted from the Mini-Mental State Examination and the cognitive module of the United States Health and Retirement Study, and its sister studies. We employed adjusted multivariable logistic and linear regression models to examine the association of widowhood status/duration with the risk of depression, and cognitive function.</p><p><strong>Results: </strong>Compared to currently married, those widowed within 0-9 years had a higher risk of depression (Men: aOR = 1.65, 95% CI: 1.20, 2.27; Women: aOR = 1.57, 95% CI = 1.25, 1.98) and worse cognitive functioning (Men: B = 0.80, 95% CI: 0.30, 1.30; Women: B = 0.55, 95% CI = 0.20, 0.91). Among those widowed within 0-9 years, men had a slightly greater risk of worse cognitive functioning than women. As widowhood duration increased, the association between widowhood and worse cognitive functioning was no longer significant among men but remained significant among women. Analyses stratified by rural/urban residence and multigenerational living status and their interactions with widowhood status/duration revealed similar trends. However, the associations between widowhood status/duration and worse cognitive function were more pronounced among women in non-multigenerational households (interaction p <.05).</p><p><strong>Conclusions: </strong>Older adults who were widowed within 0-9 years had a higher risk of depression and worse cognitive functioning. The adverse effects of widowhood on cognition were no longer significant among men but persisted for women with longer widowhood duration. Non-multigenerational households exacerbated the influence of widowhood on the higher risk of depression and worse cognitive functioning, but findings by urban/rural residence were mixed. Future research should explore what other factors moderate widowhood and health relations and examine changes in widowhood duration over time.</p>","PeriodicalId":49510,"journal":{"name":"Social Psychiatry and Psychiatric Epidemiology","volume":" ","pages":"2401-2417"},"PeriodicalIF":3.5000,"publicationDate":"2025-10-01","publicationTypes":"Journal Article","fieldsOfStudy":null,"isOpenAccess":false,"openAccessPdf":"https://www.ncbi.nlm.nih.gov/pmc/articles/PMC12449418/pdf/","citationCount":"0","resultStr":"{\"title\":\"Associations between widowhood status/duration, depression, and cognitive function among community-dwelling Indians age 60 years or older: Exploration of sex and residential factors.\",\"authors\":\"T Muhammad, Christina X Mu, Shobhit Srivastava, Vinod Joseph Kannankeril Joseph, Drishti Drishti, Waad Ali, Preeti Pushpalata Zanwar\",\"doi\":\"10.1007/s00127-025-02950-z\",\"DOIUrl\":null,\"url\":null,\"abstract\":\"<p><strong>Background: </strong>The death of a spouse is considered one of the most life challenging stressors. Widowhood has a profound influence on health and may increase the risk of depression and poorer cognitive function. Discriminatory practices in India, such as taboos against remarrying, a lack of occupational opportunities, and social support, may lead to differential widowhood experiences, especially among women. This study examined the associations between widowhood status/duration, depression and cognitive function among community-dwelling men and women in India. Considering the unique cultural and societal context in India, this study also sought to examine differences by sex, rural/urban residence, and multigenerational living status.</p><p><strong>Methods: </strong>We used baseline data from the Longitudinal Aging Study in India. Data were collected between 2017 and 2019. The study sample consisted of 14,691 men and 15,948 women age ≥ 60 years. Depression was measured using the Short Form Composite International Diagnostic Interview and global cognitive functioning was measured using an assessment adapted from the Mini-Mental State Examination and the cognitive module of the United States Health and Retirement Study, and its sister studies. We employed adjusted multivariable logistic and linear regression models to examine the association of widowhood status/duration with the risk of depression, and cognitive function.</p><p><strong>Results: </strong>Compared to currently married, those widowed within 0-9 years had a higher risk of depression (Men: aOR = 1.65, 95% CI: 1.20, 2.27; Women: aOR = 1.57, 95% CI = 1.25, 1.98) and worse cognitive functioning (Men: B = 0.80, 95% CI: 0.30, 1.30; Women: B = 0.55, 95% CI = 0.20, 0.91). Among those widowed within 0-9 years, men had a slightly greater risk of worse cognitive functioning than women. As widowhood duration increased, the association between widowhood and worse cognitive functioning was no longer significant among men but remained significant among women. Analyses stratified by rural/urban residence and multigenerational living status and their interactions with widowhood status/duration revealed similar trends. However, the associations between widowhood status/duration and worse cognitive function were more pronounced among women in non-multigenerational households (interaction p <.05).</p><p><strong>Conclusions: </strong>Older adults who were widowed within 0-9 years had a higher risk of depression and worse cognitive functioning. The adverse effects of widowhood on cognition were no longer significant among men but persisted for women with longer widowhood duration. Non-multigenerational households exacerbated the influence of widowhood on the higher risk of depression and worse cognitive functioning, but findings by urban/rural residence were mixed. Future research should explore what other factors moderate widowhood and health relations and examine changes in widowhood duration over time.</p>\",\"PeriodicalId\":49510,\"journal\":{\"name\":\"Social Psychiatry and Psychiatric Epidemiology\",\"volume\":\" \",\"pages\":\"2401-2417\"},\"PeriodicalIF\":3.5000,\"publicationDate\":\"2025-10-01\",\"publicationTypes\":\"Journal Article\",\"fieldsOfStudy\":null,\"isOpenAccess\":false,\"openAccessPdf\":\"https://www.ncbi.nlm.nih.gov/pmc/articles/PMC12449418/pdf/\",\"citationCount\":\"0\",\"resultStr\":null,\"platform\":\"Semanticscholar\",\"paperid\":null,\"PeriodicalName\":\"Social Psychiatry and Psychiatric Epidemiology\",\"FirstCategoryId\":\"3\",\"ListUrlMain\":\"https://doi.org/10.1007/s00127-025-02950-z\",\"RegionNum\":2,\"RegionCategory\":\"医学\",\"ArticlePicture\":[],\"TitleCN\":null,\"AbstractTextCN\":null,\"PMCID\":null,\"EPubDate\":\"2025/6/27 0:00:00\",\"PubModel\":\"Epub\",\"JCR\":\"Q1\",\"JCRName\":\"PSYCHIATRY\",\"Score\":null,\"Total\":0}","platform":"Semanticscholar","paperid":null,"PeriodicalName":"Social Psychiatry and Psychiatric Epidemiology","FirstCategoryId":"3","ListUrlMain":"https://doi.org/10.1007/s00127-025-02950-z","RegionNum":2,"RegionCategory":"医学","ArticlePicture":[],"TitleCN":null,"AbstractTextCN":null,"PMCID":null,"EPubDate":"2025/6/27 0:00:00","PubModel":"Epub","JCR":"Q1","JCRName":"PSYCHIATRY","Score":null,"Total":0}
引用次数: 0

摘要

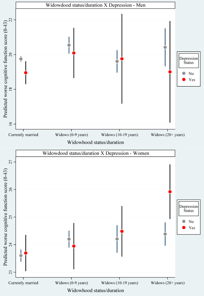
背景:配偶的死亡被认为是生活中最具挑战性的压力源之一。守寡对健康有深远的影响,可能会增加患抑郁症和认知功能下降的风险。印度的歧视性做法,如禁止再婚、缺乏职业机会和社会支持,可能导致不同的守寡经历,特别是在妇女中。本研究调查了印度社区男性和女性守寡状态/持续时间、抑郁和认知功能之间的关系。考虑到印度独特的文化和社会背景,本研究还试图考察性别、城乡居住和多代生活状况的差异。方法:我们使用来自印度纵向老龄化研究的基线数据。数据收集于2017年至2019年。研究样本包括年龄≥60岁的14691名男性和15948名女性。抑郁症采用短格式复合国际诊断访谈法进行测量,全球认知功能采用一种根据迷你精神状态检查和美国健康与退休研究及其姊妹研究的认知模块改编的评估方法进行测量。我们采用调整后的多变量logistic和线性回归模型来检验守寡状态/持续时间与抑郁风险和认知功能的关系。结果:与已婚妇女相比,丧偶0-9年内丧偶者患抑郁症的风险更高(男性:aOR = 1.65, 95% CI: 1.20, 2.27;女性:aOR = 1.57, 95% CI = 1.25, 1.98)和更差的认知功能(男性:B = 0.80, 95% CI: 0.30, 1.30;女性:B = 0.55, 95% CI = 0.20, 0.91)。在0-9年内丧偶的女性中,男性认知功能恶化的风险略高于女性。随着守寡时间的延长,守寡与认知功能恶化之间的关系在男性中不再显著,但在女性中仍然显著。按城乡居住和多代生活状况及其与守寡状态/持续时间的相互作用分层的分析显示了类似的趋势。然而,寡居状态/持续时间与认知功能恶化之间的关联在非多代家庭中的女性中更为明显(相互作用p)。结论:0-9年内丧偶的老年人患抑郁症的风险更高,认知功能更差。守寡对认知的不利影响在男性中不再显著,但在守寡时间较长的女性中仍然存在。非几代同堂家庭加剧了守寡对抑郁症高风险和认知功能恶化的影响,但城市/农村居民的调查结果好坏参半。未来的研究应该探索哪些其他因素会缓和守寡与健康的关系,并检查守寡持续时间的变化。
本文章由计算机程序翻译,如有差异,请以英文原文为准。

Associations between widowhood status/duration, depression, and cognitive function among community-dwelling Indians age 60 years or older: Exploration of sex and residential factors.

Associations between widowhood status/duration, depression, and cognitive function among community-dwelling Indians age 60 years or older: Exploration of sex and residential factors.

Associations between widowhood status/duration, depression, and cognitive function among community-dwelling Indians age 60 years or older: Exploration of sex and residential factors.

Background: The death of a spouse is considered one of the most life challenging stressors. Widowhood has a profound influence on health and may increase the risk of depression and poorer cognitive function. Discriminatory practices in India, such as taboos against remarrying, a lack of occupational opportunities, and social support, may lead to differential widowhood experiences, especially among women. This study examined the associations between widowhood status/duration, depression and cognitive function among community-dwelling men and women in India. Considering the unique cultural and societal context in India, this study also sought to examine differences by sex, rural/urban residence, and multigenerational living status.

Methods: We used baseline data from the Longitudinal Aging Study in India. Data were collected between 2017 and 2019. The study sample consisted of 14,691 men and 15,948 women age ≥ 60 years. Depression was measured using the Short Form Composite International Diagnostic Interview and global cognitive functioning was measured using an assessment adapted from the Mini-Mental State Examination and the cognitive module of the United States Health and Retirement Study, and its sister studies. We employed adjusted multivariable logistic and linear regression models to examine the association of widowhood status/duration with the risk of depression, and cognitive function.

Results: Compared to currently married, those widowed within 0-9 years had a higher risk of depression (Men: aOR = 1.65, 95% CI: 1.20, 2.27; Women: aOR = 1.57, 95% CI = 1.25, 1.98) and worse cognitive functioning (Men: B = 0.80, 95% CI: 0.30, 1.30; Women: B = 0.55, 95% CI = 0.20, 0.91). Among those widowed within 0-9 years, men had a slightly greater risk of worse cognitive functioning than women. As widowhood duration increased, the association between widowhood and worse cognitive functioning was no longer significant among men but remained significant among women. Analyses stratified by rural/urban residence and multigenerational living status and their interactions with widowhood status/duration revealed similar trends. However, the associations between widowhood status/duration and worse cognitive function were more pronounced among women in non-multigenerational households (interaction p <.05).

Conclusions: Older adults who were widowed within 0-9 years had a higher risk of depression and worse cognitive functioning. The adverse effects of widowhood on cognition were no longer significant among men but persisted for women with longer widowhood duration. Non-multigenerational households exacerbated the influence of widowhood on the higher risk of depression and worse cognitive functioning, but findings by urban/rural residence were mixed. Future research should explore what other factors moderate widowhood and health relations and examine changes in widowhood duration over time.

求助全文
通过发布文献求助,成功后即可免费获取论文全文。 去求助
来源期刊
CiteScore
8.50
自引率
2.30%
发文量
184
审稿时长
3-6 weeks
期刊介绍: Social Psychiatry and Psychiatric Epidemiology is intended to provide a medium for the prompt publication of scientific contributions concerned with all aspects of the epidemiology of psychiatric disorders - social, biological and genetic. In addition, the journal has a particular focus on the effects of social conditions upon behaviour and the relationship between psychiatric disorders and the social environment. Contributions may be of a clinical nature provided they relate to social issues, or they may deal with specialised investigations in the fields of social psychology, sociology, anthropology, epidemiology, health service research, health economies or public mental health. We will publish papers on cross-cultural and trans-cultural themes. We do not publish case studies or small case series. While we will publish studies of reliability and validity of new instruments of interest to our readership, we will not publish articles reporting on the performance of established instruments in translation. Both original work and review articles may be submitted.
×
引用
GB/T 7714-2015
复制
MLA
复制
APA
复制
导出至
BibTeX EndNote RefMan NoteFirst NoteExpress
×
提示
您的信息不完整,为了账户安全,请先补充。
现在去补充
×
提示
您因"违规操作"
具体请查看互助需知
我知道了
×
提示
确定
请完成安全验证×
copy
已复制链接
快去分享给好友吧!
我知道了
右上角分享
点击右上角分享
0
联系我们:info@booksci.cn Book学术提供免费学术资源搜索服务,方便国内外学者检索中英文文献。致力于提供最便捷和优质的服务体验。 Copyright © 2023 布克学术 All rights reserved.
京ICP备2023020795号-1
ghs 京公网安备 11010802042870号
Book学术文献互助
Book学术文献互助群
群 号:604180095
Book学术官方微信