马兜铃中草药中马兜铃酸及其衍生物的核磁共振光谱数据及最新分析方法综述。

IF 4.9 3区 化学 Q1 CHEMISTRY, MEDICINAL
Phan Minh Giang, Nguyen Nghia Vu, Vu Thanh Loc, Dong Ngoc Phuc, Ngiem Duc Trong, To Phuong Linh, Tran Thi Thu Thuy
{"title":"马兜铃中草药中马兜铃酸及其衍生物的核磁共振光谱数据及最新分析方法综述。","authors":"Phan Minh Giang,&nbsp;Nguyen Nghia Vu,&nbsp;Vu Thanh Loc,&nbsp;Dong Ngoc Phuc,&nbsp;Ngiem Duc Trong,&nbsp;To Phuong Linh,&nbsp;Tran Thi Thu Thuy","doi":"10.1007/s13659-025-00506-x","DOIUrl":null,"url":null,"abstract":"<div><p>Aristolochic acids (AAs) are an important group of secondary metabolites in the genus <i>Aristolochia.</i> The presence of aristolochic acids infers the potency of many <i>Aristolochia</i> herbs used for ages in traditional medicine of China, Europe, Central America, India, and some other countries. Although being moderately cytotoxic, intake of AAs is associated with serious health problems, such as nephrotoxicity and carcinogenicity. Analyzing AAs in <i>Aristolochia</i> herbs is crucial for regulating their efficacy and toxicity because phytochemistry works have shown the occurrence of AAs in almost all <i>Aristolochia</i> herbs studied. Using two-dimensional parameters, chemical shifts and coupling constants, NMR spectroscopy is a modern, accurate, and reliable method in the analysis of secondary metabolites. Comparing experimental spectroscopic data with those of known and related compounds helps simplify the structural identification of secondary metabolites. The compilation of an NMR database of AAs from scattered sources would also be useful in NMR-based metabolomics. The present review provides updated information on sources and NMR spectroscopic data of 54 aristolochic acid derivatives, including AAs and their methyl esters, denitroaristolochic acids and their derivatives, and sesqui- and diterpene esters of AAs. The report also covers the newest development of analytical and preparative methods used in separation, identification, and quantification of AAs in <i>Aristolochia</i> herbal samples.</p><h3>Graphical Abstract</h3><div><figure><div><div><picture><source><img></source></picture></div></div></figure></div></div>","PeriodicalId":718,"journal":{"name":"Natural Products and Bioprospecting","volume":"15 1","pages":""},"PeriodicalIF":4.9000,"publicationDate":"2025-06-24","publicationTypes":"Journal Article","fieldsOfStudy":null,"isOpenAccess":false,"openAccessPdf":"https://www.ncbi.nlm.nih.gov/pmc/articles/PMC12187629/pdf/","citationCount":"0","resultStr":"{\"title\":\"Review on NMR spectroscopic data and recent analytical methods of aristolochic acids and derivatives in Aristolochia herbs\",\"authors\":\"Phan Minh Giang,&nbsp;Nguyen Nghia Vu,&nbsp;Vu Thanh Loc,&nbsp;Dong Ngoc Phuc,&nbsp;Ngiem Duc Trong,&nbsp;To Phuong Linh,&nbsp;Tran Thi Thu Thuy\",\"doi\":\"10.1007/s13659-025-00506-x\",\"DOIUrl\":null,\"url\":null,\"abstract\":\"<div><p>Aristolochic acids (AAs) are an important group of secondary metabolites in the genus <i>Aristolochia.</i> The presence of aristolochic acids infers the potency of many <i>Aristolochia</i> herbs used for ages in traditional medicine of China, Europe, Central America, India, and some other countries. Although being moderately cytotoxic, intake of AAs is associated with serious health problems, such as nephrotoxicity and carcinogenicity. Analyzing AAs in <i>Aristolochia</i> herbs is crucial for regulating their efficacy and toxicity because phytochemistry works have shown the occurrence of AAs in almost all <i>Aristolochia</i> herbs studied. Using two-dimensional parameters, chemical shifts and coupling constants, NMR spectroscopy is a modern, accurate, and reliable method in the analysis of secondary metabolites. Comparing experimental spectroscopic data with those of known and related compounds helps simplify the structural identification of secondary metabolites. The compilation of an NMR database of AAs from scattered sources would also be useful in NMR-based metabolomics. The present review provides updated information on sources and NMR spectroscopic data of 54 aristolochic acid derivatives, including AAs and their methyl esters, denitroaristolochic acids and their derivatives, and sesqui- and diterpene esters of AAs. The report also covers the newest development of analytical and preparative methods used in separation, identification, and quantification of AAs in <i>Aristolochia</i> herbal samples.</p><h3>Graphical Abstract</h3><div><figure><div><div><picture><source><img></source></picture></div></div></figure></div></div>\",\"PeriodicalId\":718,\"journal\":{\"name\":\"Natural Products and Bioprospecting\",\"volume\":\"15 1\",\"pages\":\"\"},\"PeriodicalIF\":4.9000,\"publicationDate\":\"2025-06-24\",\"publicationTypes\":\"Journal Article\",\"fieldsOfStudy\":null,\"isOpenAccess\":false,\"openAccessPdf\":\"https://www.ncbi.nlm.nih.gov/pmc/articles/PMC12187629/pdf/\",\"citationCount\":\"0\",\"resultStr\":null,\"platform\":\"Semanticscholar\",\"paperid\":null,\"PeriodicalName\":\"Natural Products and Bioprospecting\",\"FirstCategoryId\":\"92\",\"ListUrlMain\":\"https://link.springer.com/article/10.1007/s13659-025-00506-x\",\"RegionNum\":3,\"RegionCategory\":\"化学\",\"ArticlePicture\":[],\"TitleCN\":null,\"AbstractTextCN\":null,\"PMCID\":null,\"EPubDate\":\"\",\"PubModel\":\"\",\"JCR\":\"Q1\",\"JCRName\":\"CHEMISTRY, MEDICINAL\",\"Score\":null,\"Total\":0}","platform":"Semanticscholar","paperid":null,"PeriodicalName":"Natural Products and Bioprospecting","FirstCategoryId":"92","ListUrlMain":"https://link.springer.com/article/10.1007/s13659-025-00506-x","RegionNum":3,"RegionCategory":"化学","ArticlePicture":[],"TitleCN":null,"AbstractTextCN":null,"PMCID":null,"EPubDate":"","PubModel":"","JCR":"Q1","JCRName":"CHEMISTRY, MEDICINAL","Score":null,"Total":0}
引用次数: 0

摘要

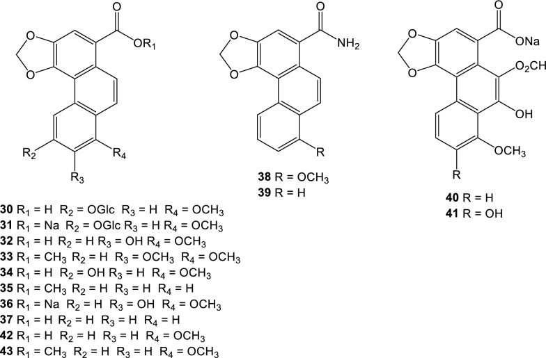
马兜铃酸(AAs)是马兜铃属植物重要的次生代谢产物。马兜铃酸的存在推断出许多马兜铃草本植物在中国、欧洲、中美洲、印度和其他一些国家的传统医学中长期使用的效力。虽然AAs具有中等的细胞毒性,但摄入AAs与严重的健康问题有关,如肾毒性和致癌性。植物化学研究表明,几乎所有马兜铃属植物都含有吸收光谱,因此分析马兜铃属植物中的吸收光谱对调节马兜铃属植物的药效和毒性具有重要意义。利用二维参数、化学位移和耦合常数,核磁共振光谱是分析次生代谢物的一种现代、准确、可靠的方法。将实验光谱数据与已知和相关化合物的光谱数据进行比较,有助于简化次生代谢物的结构鉴定。从分散来源的核磁共振数据库的编制也将有助于基于核磁共振代谢组学。本文综述了54种马兜铃酸衍生物的来源和核磁共振光谱数据,包括马兜铃酸及其甲酯、去硝基马兜铃酸及其衍生物、马兜铃酸的倍半酯和二萜酯。本报告还介绍了马兜铃中草药样品中原子吸收光谱的分离、鉴定和定量分析和制备方法的最新进展。
本文章由计算机程序翻译,如有差异,请以英文原文为准。

Review on NMR spectroscopic data and recent analytical methods of aristolochic acids and derivatives in Aristolochia herbs

Review on NMR spectroscopic data and recent analytical methods of aristolochic acids and derivatives in Aristolochia herbs

Review on NMR spectroscopic data and recent analytical methods of aristolochic acids and derivatives in Aristolochia herbs

Review on NMR spectroscopic data and recent analytical methods of aristolochic acids and derivatives in Aristolochia herbs

Aristolochic acids (AAs) are an important group of secondary metabolites in the genus Aristolochia. The presence of aristolochic acids infers the potency of many Aristolochia herbs used for ages in traditional medicine of China, Europe, Central America, India, and some other countries. Although being moderately cytotoxic, intake of AAs is associated with serious health problems, such as nephrotoxicity and carcinogenicity. Analyzing AAs in Aristolochia herbs is crucial for regulating their efficacy and toxicity because phytochemistry works have shown the occurrence of AAs in almost all Aristolochia herbs studied. Using two-dimensional parameters, chemical shifts and coupling constants, NMR spectroscopy is a modern, accurate, and reliable method in the analysis of secondary metabolites. Comparing experimental spectroscopic data with those of known and related compounds helps simplify the structural identification of secondary metabolites. The compilation of an NMR database of AAs from scattered sources would also be useful in NMR-based metabolomics. The present review provides updated information on sources and NMR spectroscopic data of 54 aristolochic acid derivatives, including AAs and their methyl esters, denitroaristolochic acids and their derivatives, and sesqui- and diterpene esters of AAs. The report also covers the newest development of analytical and preparative methods used in separation, identification, and quantification of AAs in Aristolochia herbal samples.

Graphical Abstract

求助全文
通过发布文献求助,成功后即可免费获取论文全文。 去求助
来源期刊
Natural Products and Bioprospecting
Natural Products and Bioprospecting CHEMISTRY, MEDICINAL-
CiteScore
8.30
自引率
2.10%
发文量
39
审稿时长
13 weeks
期刊介绍: Natural Products and Bioprospecting serves as an international forum for essential research on natural products and focuses on, but is not limited to, the following aspects: Natural products: isolation and structure elucidation Natural products: synthesis Biological evaluation of biologically active natural products Bioorganic and medicinal chemistry Biosynthesis and microbiological transformation Fermentation and plant tissue cultures Bioprospecting of natural products from natural resources All research articles published in this journal have undergone rigorous peer review. In addition to original research articles, Natural Products and Bioprospecting publishes reviews and short communications, aiming to rapidly disseminate the research results of timely interest, and comprehensive reviews of emerging topics in all the areas of natural products. It is also an open access journal, which provides free access to its articles to anyone, anywhere.
×
引用
GB/T 7714-2015
复制
MLA
复制
APA
复制
导出至
BibTeX EndNote RefMan NoteFirst NoteExpress
×
提示
您的信息不完整,为了账户安全,请先补充。
现在去补充
×
提示
您因"违规操作"
具体请查看互助需知
我知道了
×
提示
确定
请完成安全验证×
copy
已复制链接
快去分享给好友吧!
我知道了
右上角分享
点击右上角分享
0
联系我们:info@booksci.cn Book学术提供免费学术资源搜索服务,方便国内外学者检索中英文文献。致力于提供最便捷和优质的服务体验。 Copyright © 2023 布克学术 All rights reserved.
京ICP备2023020795号-1
ghs 京公网安备 11010802042870号
Book学术文献互助
Book学术文献互助群
群 号:604180095
Book学术官方微信