利用住院患者的真实世界数据验证基于人工智能的脓毒症预测性能和风险分层算法:一项前瞻性观察研究。

IF 4.4 Q1 HEALTH CARE SCIENCES & SERVICES
Ji-Hyun Kim, KyungHyun Lee, Kwang Joon Kim, Eun Yeong Ha, In-Cheol Kim, Sun Hyo Park, Chi-Heum Cho, Gyeong Im Yu, Byung Eun Ahn, Yeeun Jeong, Joo-Yun Won, Taeyong Sim, Hochan Cho, Ki-Byung Lee
{"title":"利用住院患者的真实世界数据验证基于人工智能的脓毒症预测性能和风险分层算法:一项前瞻性观察研究。","authors":"Ji-Hyun Kim, KyungHyun Lee, Kwang Joon Kim, Eun Yeong Ha, In-Cheol Kim, Sun Hyo Park, Chi-Heum Cho, Gyeong Im Yu, Byung Eun Ahn, Yeeun Jeong, Joo-Yun Won, Taeyong Sim, Hochan Cho, Ki-Byung Lee","doi":"10.1136/bmjhci-2024-101353","DOIUrl":null,"url":null,"abstract":"<p><strong>Objective: </strong>The heterogeneous nature of sepsis renders determining its underlying causes difficult, which may delay diagnosis and intervention. VitalCare-SEPsis Score (VC-SEPS) is a deep learning-based algorithm that predicts sepsis and monitors patient conditions based on electronic medical record data. However, few studies have prospectively compared medical artificial intelligence software algorithms and traditional scoring systems to predict sepsis. This prospective observational study attempted to validate the predictive performance and risk stratification of VC-SEPS for early prediction of sepsis.</p><p><strong>Methods: </strong>In this prospective observational study, we collected electronic medical record data from 6,797 patients hospitalised at Keimyung University Dongsan Hospital, Daegu, South Korea. The final version of the analysed set included 6,455 patients, 325 of whom were diagnosed with sepsis.</p><p><strong>Results: </strong>The area under the receiver operating characteristic curve of VC-SEPS was 0.880, indicating its superiority over traditional scoring systems. The algorithm performance showed a consistent trend within 24 hours. On patients' initial admission, the VC-SEPS was associated with the risk of developing sepsis, and the score accurately predicted sepsis by an average of 68.05 min compared with diagnosis time by an operational definition of sepsis.</p><p><strong>Discussion: </strong>VC-SEPS could assist medical staff with early diagnosis and intervention in clinical practice by providing a sepsis risk score. Prompt recognition assisting recognition can significantly help shorten the time between recognition and intervention in clinical decision-making processes.</p><p><strong>Conclusion: </strong>This study suggests that using a clinical decision support system can help improve hospital workflows as well as the quality of medical care.</p>","PeriodicalId":9050,"journal":{"name":"BMJ Health & Care Informatics","volume":"32 1","pages":""},"PeriodicalIF":4.4000,"publicationDate":"2025-06-20","publicationTypes":"Journal Article","fieldsOfStudy":null,"isOpenAccess":false,"openAccessPdf":"https://www.ncbi.nlm.nih.gov/pmc/articles/PMC12182025/pdf/","citationCount":"0","resultStr":"{\"title\":\"Validation of an artificial intelligence-based algorithm for predictive performance and risk stratification of sepsis using real-world data from hospitalised patients: a prospective observational study.\",\"authors\":\"Ji-Hyun Kim, KyungHyun Lee, Kwang Joon Kim, Eun Yeong Ha, In-Cheol Kim, Sun Hyo Park, Chi-Heum Cho, Gyeong Im Yu, Byung Eun Ahn, Yeeun Jeong, Joo-Yun Won, Taeyong Sim, Hochan Cho, Ki-Byung Lee\",\"doi\":\"10.1136/bmjhci-2024-101353\",\"DOIUrl\":null,\"url\":null,\"abstract\":\"<p><strong>Objective: </strong>The heterogeneous nature of sepsis renders determining its underlying causes difficult, which may delay diagnosis and intervention. VitalCare-SEPsis Score (VC-SEPS) is a deep learning-based algorithm that predicts sepsis and monitors patient conditions based on electronic medical record data. However, few studies have prospectively compared medical artificial intelligence software algorithms and traditional scoring systems to predict sepsis. This prospective observational study attempted to validate the predictive performance and risk stratification of VC-SEPS for early prediction of sepsis.</p><p><strong>Methods: </strong>In this prospective observational study, we collected electronic medical record data from 6,797 patients hospitalised at Keimyung University Dongsan Hospital, Daegu, South Korea. The final version of the analysed set included 6,455 patients, 325 of whom were diagnosed with sepsis.</p><p><strong>Results: </strong>The area under the receiver operating characteristic curve of VC-SEPS was 0.880, indicating its superiority over traditional scoring systems. The algorithm performance showed a consistent trend within 24 hours. On patients' initial admission, the VC-SEPS was associated with the risk of developing sepsis, and the score accurately predicted sepsis by an average of 68.05 min compared with diagnosis time by an operational definition of sepsis.</p><p><strong>Discussion: </strong>VC-SEPS could assist medical staff with early diagnosis and intervention in clinical practice by providing a sepsis risk score. Prompt recognition assisting recognition can significantly help shorten the time between recognition and intervention in clinical decision-making processes.</p><p><strong>Conclusion: </strong>This study suggests that using a clinical decision support system can help improve hospital workflows as well as the quality of medical care.</p>\",\"PeriodicalId\":9050,\"journal\":{\"name\":\"BMJ Health & Care Informatics\",\"volume\":\"32 1\",\"pages\":\"\"},\"PeriodicalIF\":4.4000,\"publicationDate\":\"2025-06-20\",\"publicationTypes\":\"Journal Article\",\"fieldsOfStudy\":null,\"isOpenAccess\":false,\"openAccessPdf\":\"https://www.ncbi.nlm.nih.gov/pmc/articles/PMC12182025/pdf/\",\"citationCount\":\"0\",\"resultStr\":null,\"platform\":\"Semanticscholar\",\"paperid\":null,\"PeriodicalName\":\"BMJ Health & Care Informatics\",\"FirstCategoryId\":\"1085\",\"ListUrlMain\":\"https://doi.org/10.1136/bmjhci-2024-101353\",\"RegionNum\":0,\"RegionCategory\":null,\"ArticlePicture\":[],\"TitleCN\":null,\"AbstractTextCN\":null,\"PMCID\":null,\"EPubDate\":\"\",\"PubModel\":\"\",\"JCR\":\"Q1\",\"JCRName\":\"HEALTH CARE SCIENCES & SERVICES\",\"Score\":null,\"Total\":0}","platform":"Semanticscholar","paperid":null,"PeriodicalName":"BMJ Health & Care Informatics","FirstCategoryId":"1085","ListUrlMain":"https://doi.org/10.1136/bmjhci-2024-101353","RegionNum":0,"RegionCategory":null,"ArticlePicture":[],"TitleCN":null,"AbstractTextCN":null,"PMCID":null,"EPubDate":"","PubModel":"","JCR":"Q1","JCRName":"HEALTH CARE SCIENCES & SERVICES","Score":null,"Total":0}
引用次数: 0

摘要

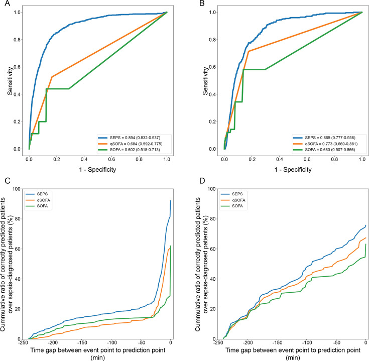
目的:脓毒症的异质性使得确定其潜在原因变得困难,这可能会延误诊断和干预。vitalcare -败血症评分(VC-SEPS)是一种基于深度学习的算法,可以根据电子病历数据预测败血症并监测患者病情。然而,很少有研究前瞻性地比较医疗人工智能软件算法和传统评分系统来预测败血症。这项前瞻性观察性研究试图验证VC-SEPS在脓毒症早期预测中的预测性能和风险分层。方法:在这项前瞻性观察研究中,我们收集了韩国大邱启明大学东山医院6797名住院患者的电子病历数据。最终版本的分析集包括6,455名患者,其中325人被诊断为败血症。结果:VC-SEPS的受试者工作特征曲线下面积为0.880,优于传统评分系统。算法性能在24小时内呈现一致趋势。在患者首次入院时,VC-SEPS与脓毒症发生的风险相关,与脓毒症的手术定义诊断时间相比,该评分准确预测脓毒症的平均时间为68.05 min。讨论:VC-SEPS通过提供脓毒症风险评分,可以帮助医务人员在临床实践中进行早期诊断和干预。在临床决策过程中,及时识别辅助识别可以显著缩短识别到干预之间的时间。结论:临床决策支持系统的应用有助于改善医院的工作流程,提高医疗服务质量。
本文章由计算机程序翻译,如有差异,请以英文原文为准。

Validation of an artificial intelligence-based algorithm for predictive performance and risk stratification of sepsis using real-world data from hospitalised patients: a prospective observational study.

Validation of an artificial intelligence-based algorithm for predictive performance and risk stratification of sepsis using real-world data from hospitalised patients: a prospective observational study.

Validation of an artificial intelligence-based algorithm for predictive performance and risk stratification of sepsis using real-world data from hospitalised patients: a prospective observational study.

Validation of an artificial intelligence-based algorithm for predictive performance and risk stratification of sepsis using real-world data from hospitalised patients: a prospective observational study.

Objective: The heterogeneous nature of sepsis renders determining its underlying causes difficult, which may delay diagnosis and intervention. VitalCare-SEPsis Score (VC-SEPS) is a deep learning-based algorithm that predicts sepsis and monitors patient conditions based on electronic medical record data. However, few studies have prospectively compared medical artificial intelligence software algorithms and traditional scoring systems to predict sepsis. This prospective observational study attempted to validate the predictive performance and risk stratification of VC-SEPS for early prediction of sepsis.

Methods: In this prospective observational study, we collected electronic medical record data from 6,797 patients hospitalised at Keimyung University Dongsan Hospital, Daegu, South Korea. The final version of the analysed set included 6,455 patients, 325 of whom were diagnosed with sepsis.

Results: The area under the receiver operating characteristic curve of VC-SEPS was 0.880, indicating its superiority over traditional scoring systems. The algorithm performance showed a consistent trend within 24 hours. On patients' initial admission, the VC-SEPS was associated with the risk of developing sepsis, and the score accurately predicted sepsis by an average of 68.05 min compared with diagnosis time by an operational definition of sepsis.

Discussion: VC-SEPS could assist medical staff with early diagnosis and intervention in clinical practice by providing a sepsis risk score. Prompt recognition assisting recognition can significantly help shorten the time between recognition and intervention in clinical decision-making processes.

Conclusion: This study suggests that using a clinical decision support system can help improve hospital workflows as well as the quality of medical care.

求助全文
通过发布文献求助,成功后即可免费获取论文全文。 去求助
来源期刊
CiteScore
6.10
自引率
4.90%
发文量
40
审稿时长
18 weeks
×
引用
GB/T 7714-2015
复制
MLA
复制
APA
复制
导出至
BibTeX EndNote RefMan NoteFirst NoteExpress
×
提示
您的信息不完整,为了账户安全,请先补充。
现在去补充
×
提示
您因"违规操作"
具体请查看互助需知
我知道了
×
提示
确定
请完成安全验证×
copy
已复制链接
快去分享给好友吧!
我知道了
右上角分享
点击右上角分享
0
联系我们:info@booksci.cn Book学术提供免费学术资源搜索服务,方便国内外学者检索中英文文献。致力于提供最便捷和优质的服务体验。 Copyright © 2023 布克学术 All rights reserved.
京ICP备2023020795号-1
ghs 京公网安备 11010802042870号
Book学术文献互助
Book学术文献互助群
群 号:604180095
Book学术官方微信